Son güncelleme :
27/04/2026
Antibiyotik   Colistin mesilate sodium  
Aerosol
Enjeksiyon
Farmasötik preparatlar Kararlılığı Karışımlardaki stabilitesi Stabiliteyi etkileyen faktörler Uyumluluk Kaynaklar pdf
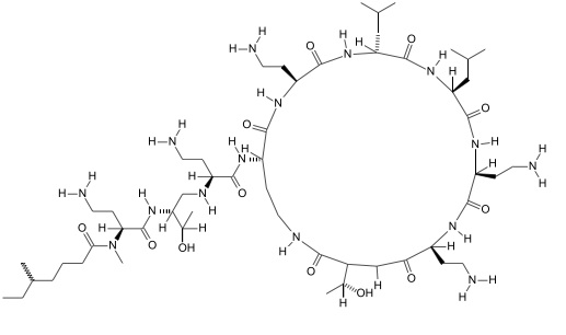
   Kimyasal yapı   

Aerosol
Karışımlardaki stabilitesi   Aerosol   Karışımlardaki stabilitesi : Colistin mesilate sodium     
Saklama kabı yardımcı madde Bileşik Isı Saklama    Stabilite süresi Kaynaklar
Polipropilen
Aerosol   Colistin mesilate sodium Enjeksiyon için ilaç şişesi80mg/3mL  Colistin CF®
Aerosol   Tobramycin sulfate Enjeksiyon için ilaç şişesi30mg/4 mL  Bramitob® (Asche Chiesi)
25°C
24 Zaman
I_ık 3440
Polipropilen
Aerosol   Colistin mesilate sodium Enjeksiyon için ilaç şişesi80mg/3mL  Colistin CF®
Aerosol   Tobramycin sulfate Enjeksiyon için ilaç şişesi300mg/5mL  Tobi® (Novartis)
25°C
24 Zaman
I_ık 3440
Polipropilen
Aerosol   Colistin mesilate sodium Enjeksiyon için ilaç şişesi80mg/3mL  Colistin CF®
Aerosol   Tobramycin sulfate Enjeksiyon için ilaç şişesi300mg/4mL  Bramitob® (Asche Chiesi)
25°C
24 Zaman
I_ık 3440

  Mentions Légales