Senaste uppdateringen :
27/04/2026
Antibiotikum   Colistin mesilate sodium  
Aerosol
injektion
Stabilitet av läkemedel Stabilitet i blandningar Faktorer som påverkar stabiliteten Kompatibilitet Hänvisningar pdf
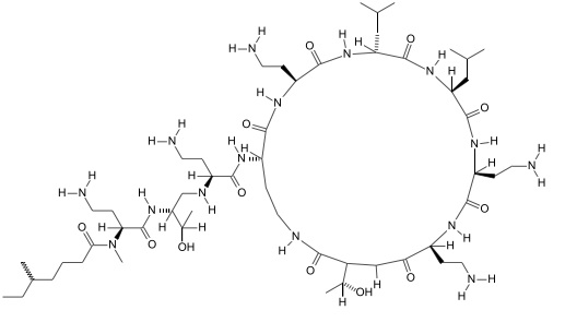
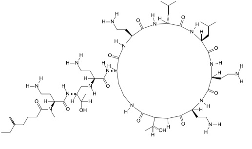
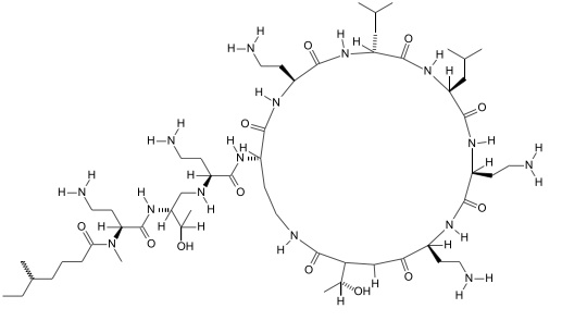
   Molekylstruktur  

Aerosol
Stabilitet i blandningar   Aerosol   Stabilitet i blandningar : Colistin mesilate sodium     
Behållare Hjälpämne Substans Temperatur Förvaring Stabilitets varaktighet Hänvisningar
Polypropylen
Aerosol   Colistin mesilate sodium injektionsflaska80mg/3mL  Colistin CF®
Aerosol   Tobramycin sulfate injektionsflaska30mg/4 mL  Bramitob® (Asche Chiesi)
25°C
24 Timma
Ljus 3440
Polypropylen
Aerosol   Colistin mesilate sodium injektionsflaska80mg/3mL  Colistin CF®
Aerosol   Tobramycin sulfate injektionsflaska300mg/5mL  Tobi® (Novartis)
25°C
24 Timma
Ljus 3440
Polypropylen
Aerosol   Colistin mesilate sodium injektionsflaska80mg/3mL  Colistin CF®
Aerosol   Tobramycin sulfate injektionsflaska300mg/4mL  Bramitob® (Asche Chiesi)
25°C
24 Timma
Ljus 3440

  Mentions Légales