Last update :
27/04/2026
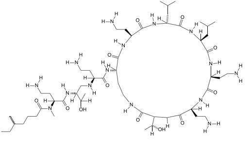
Antibiotic   Colistin mesilate sodium  
aerosol
injection
Stability of pharmaceutical preparations Stability of mixtures Factors which affect stability Compatibility References pdf
   Chemical structure  

aerosol
Stability of mixtures   aerosol   Stability of mixtures : Colistin mesilate sodium     
Container excipient Compound Temperature Storage Duration of stability References
Polypropylene
aerosol   Colistin mesilate sodium Medicine bottle for injection80mg/3mL  Colistin CF®
aerosol   Tobramycin sulfate Medicine bottle for injection30mg/4 mL  Bramitob® (Asche Chiesi)
25°C
24 Hour
Light 3440
Polypropylene
aerosol   Colistin mesilate sodium Medicine bottle for injection80mg/3mL  Colistin CF®
aerosol   Tobramycin sulfate Medicine bottle for injection300mg/5mL  Tobi® (Novartis)
25°C
24 Hour
Light 3440
Polypropylene
aerosol   Colistin mesilate sodium Medicine bottle for injection80mg/3mL  Colistin CF®
aerosol   Tobramycin sulfate Medicine bottle for injection300mg/4mL  Bramitob® (Asche Chiesi)
25°C
24 Hour
Light 3440

  Mentions Légales