Cập nhật lần cuối :
18/03/2026
Kháng sinh   Colistin mesilate sodium  
Dạng tiêm
Khí dung
Tính ổn định của các dung dịch Độ ổn định khi trộn lẫn Những yếu tố ảnh hưởng đến độ ổn định Khả năng tương thích Đường dùng Tài liệu tham khảo Pdf
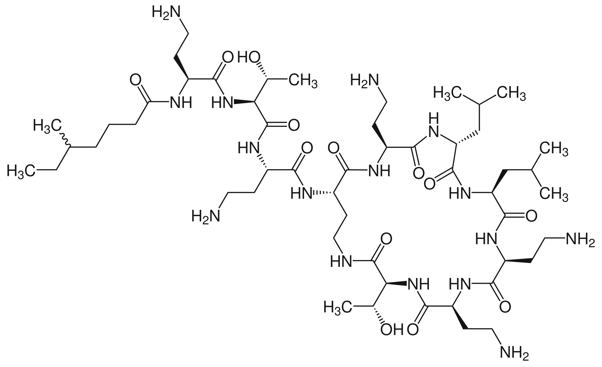
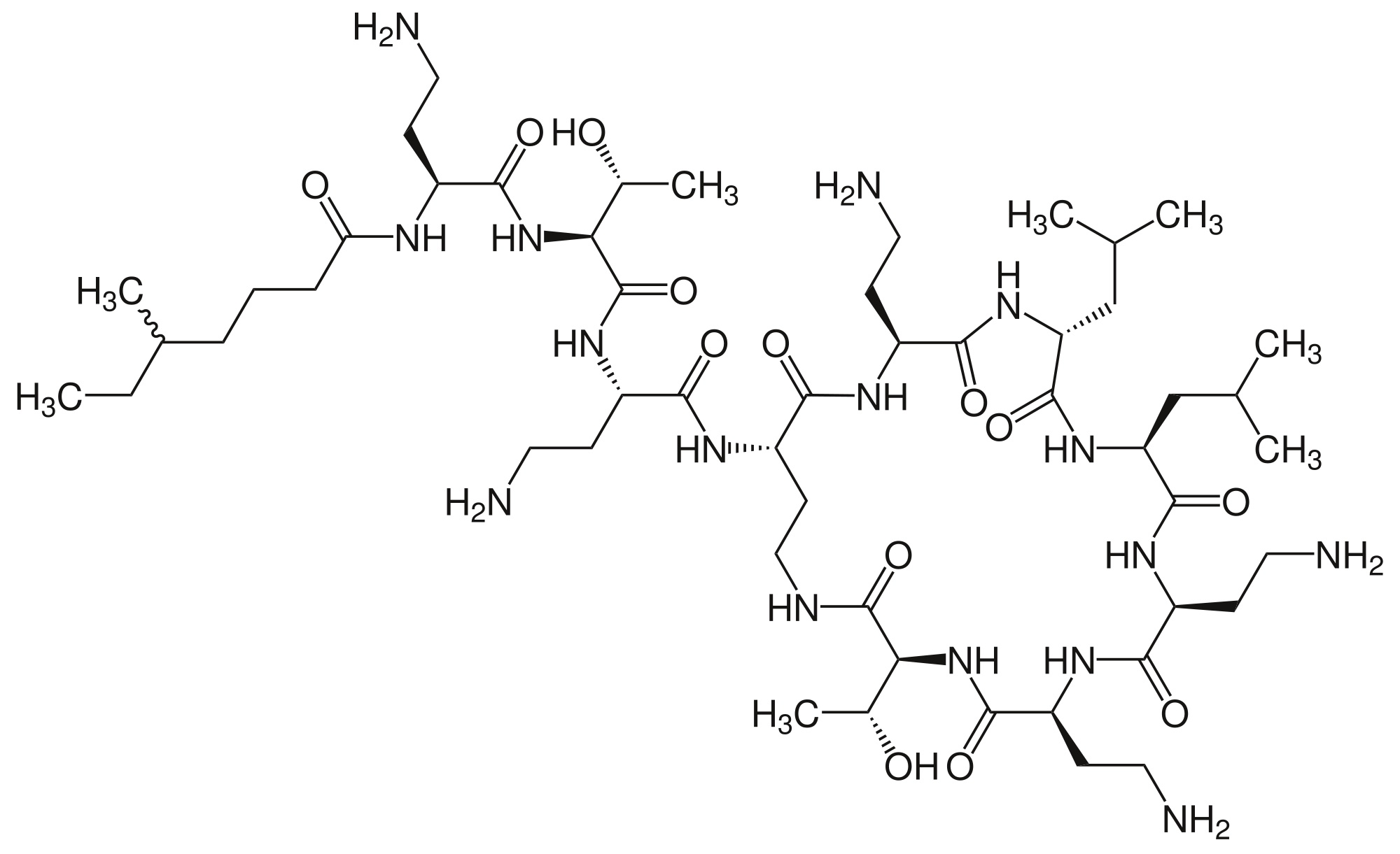
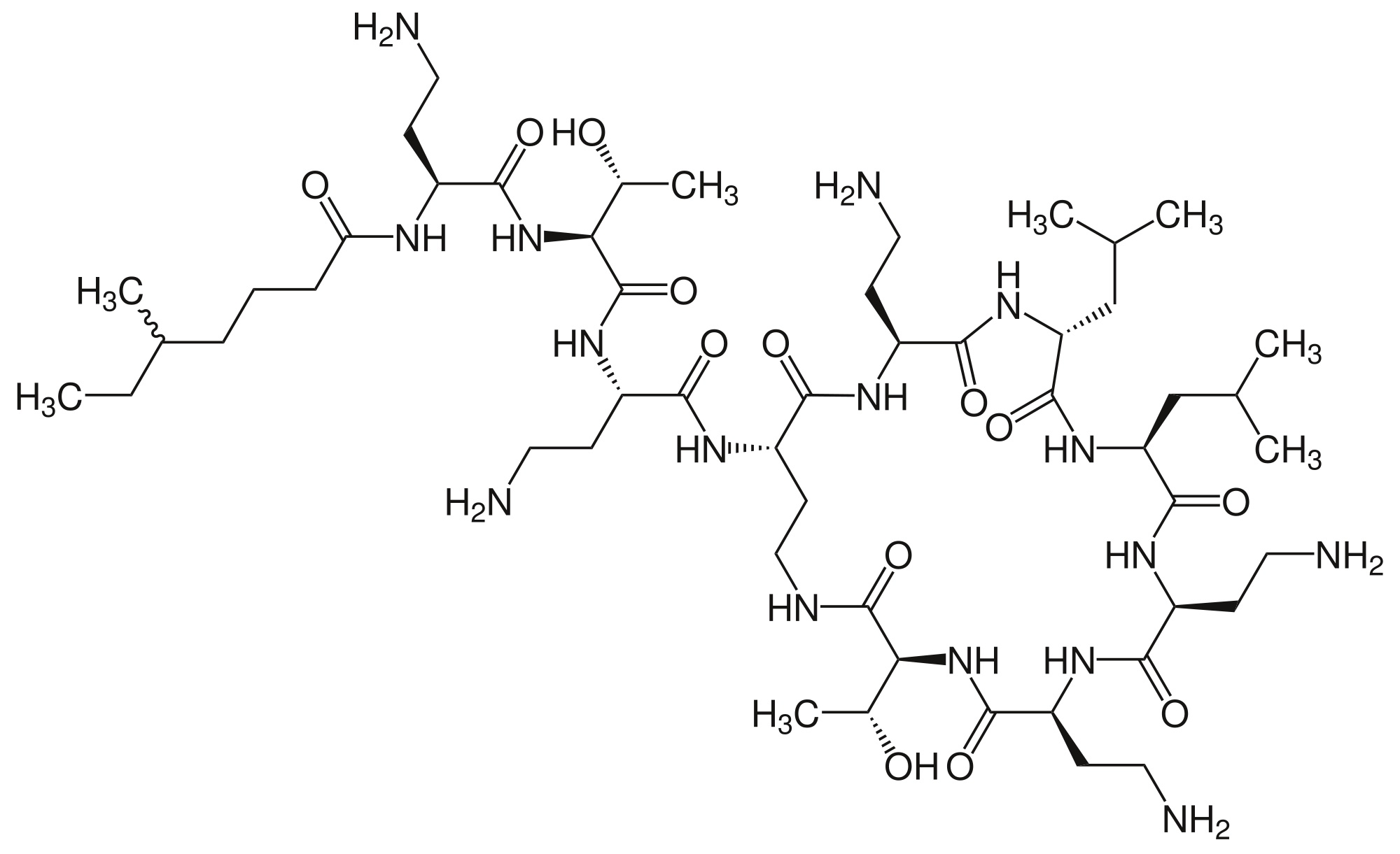
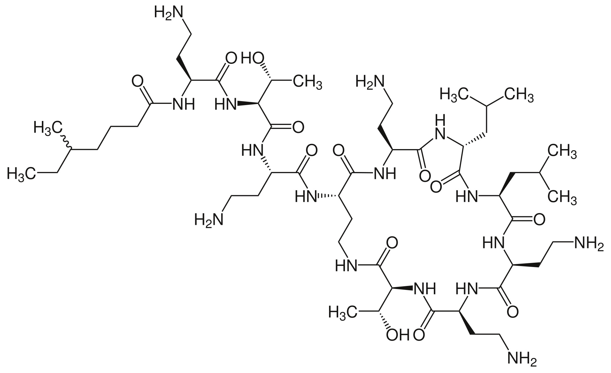
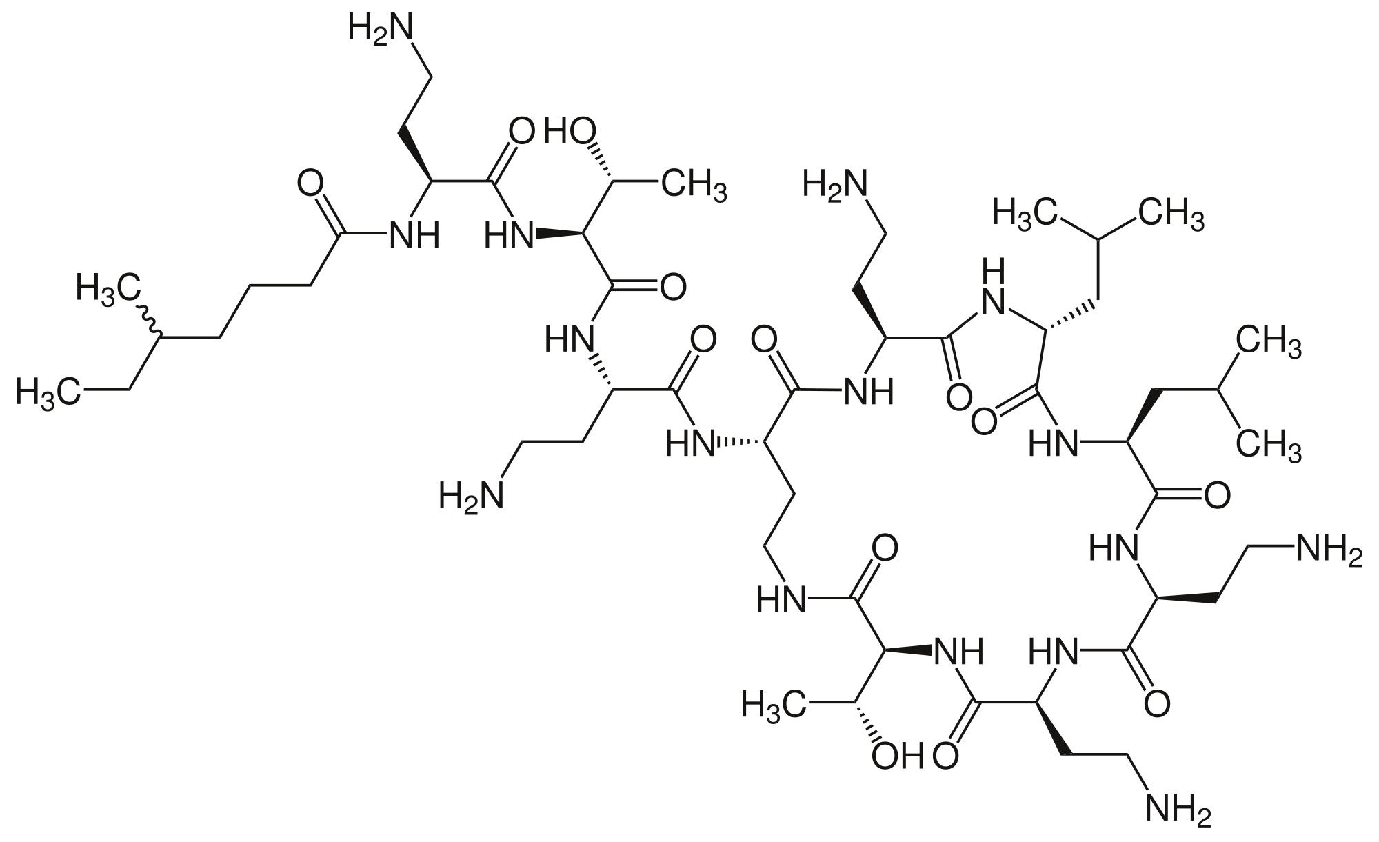
   Cấu trúc hóa học  

Tên thương mại   Tên thương mại     

Các tên thương mại được cung cấp và thành phần tá dược có thể khác nhau giữa các quốc gia và các hãng dược

Alficetin Argentina
Colimicina Ý
Colimycin Na Uy, Thổ Nhĩ Kỳ, Đan Mạch
Colimycine Hà Lan, Luxembourg, Morocco, Pháp, Tunisia
Colismet Peru
Colistimethate Anh, Canada, Hoa Kỳ, Pháp
Colistin Áo, Ba Lan, Hy Lạp, new zealand, Đức
Colistina Argentina, Bồ Đào Nha, Chile
Colistineb Bỉ
Colistyn Argentina
Colixin Slovenia
Colomycin Anh, Canada, Hoa Kỳ, Ireland, Malaysia
Dicupal Chile
Elistin Peru
Kolisod Thổ Nhĩ Kỳ
Nolisin
Promixin Anh, Ireland, Na Uy, Đức
Toliscrin Argentina
Tính ổn định của các dung dịch   Dạng tiêm   Tính ổn định của các dung dịch : Colistin mesilate sodium     
Bao bì Dung môi Nồng độ Nhiệt độ Bảo quản Thời gian ổn định Mục lục
Thủy tinh Nước cất pha tiêm 200 mg/ml 25°C Tránh ánh sáng
7 Ngày
2285
Cấp độ bằng chứng D

Thủy tinh Nước cất pha tiêm 200 mg/ml 4°C Tránh ánh sáng
7 Ngày
2285
Cấp độ bằng chứng D

Thủy tinh Nước cất pha tiêm 75 mg/ml -20°C Tránh ánh sáng
24 Giờ
3360
Cấp độ bằng chứng B

Thủy tinh Nước cất pha tiêm 75 mg/ml 21°C Không rõ
24 Giờ
3360
Cấp độ bằng chứng B

Thủy tinh Nước cất pha tiêm 75 mg/ml 4°C Không rõ
24 Giờ
3360
Cấp độ bằng chứng B

Nhựa polyvinyl chloride NaCl 0,9% 4 mg/ml 4°C Tránh ánh sáng
48 Giờ
2285
Cấp độ bằng chứng D

Nhựa polyvinyl chloride Glucose 5% 4 mg/ml 4°C Tránh ánh sáng
48 Giờ
2285
Cấp độ bằng chứng D

Nhựa polyolefin NaCl 0,9% 1,6 mg/ml 2-8°C Tránh ánh sáng
7 Ngày
4178
Cấp độ bằng chứng B

Nhựa polyolefin NaCl 0,9% 1,6 mg/ml 20-24°C Có hoặc không có tiếp xúc với ánh sáng
1 Ngày
4178
Cấp độ bằng chứng B

Chất đàn hồi polyisoprene NaCl 0,9% 0,8 & 2,4 mg/ml 2-8°C Tránh ánh sáng
7 Ngày
4178
Cấp độ bằng chứng B

Chất đàn hồi polyisoprene NaCl 0,9% 0,8 & 2,4 mg/ml 20-24°C Có hoặc không có tiếp xúc với ánh sáng
1 Ngày
4178
Cấp độ bằng chứng B

Chất đàn hồi silicone NaCl 0,9% 0,8 mg/ml 4°C Không rõ
3 Ngày
2783
Cấp độ bằng chứng A


  Mentions Légales