Son güncelleme :
27/01/2026
Antibiyotik   Colistin mesilate sodium  
Enjeksiyon
Aerosol
Çözeltilerin stabilitesi Karışımlardaki stabilitesi Stabiliteyi etkileyen faktörler Uyumluluk Uygulama yöntemi Kaynaklar pdf
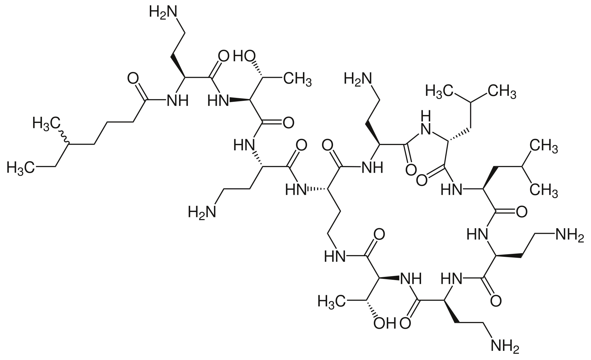
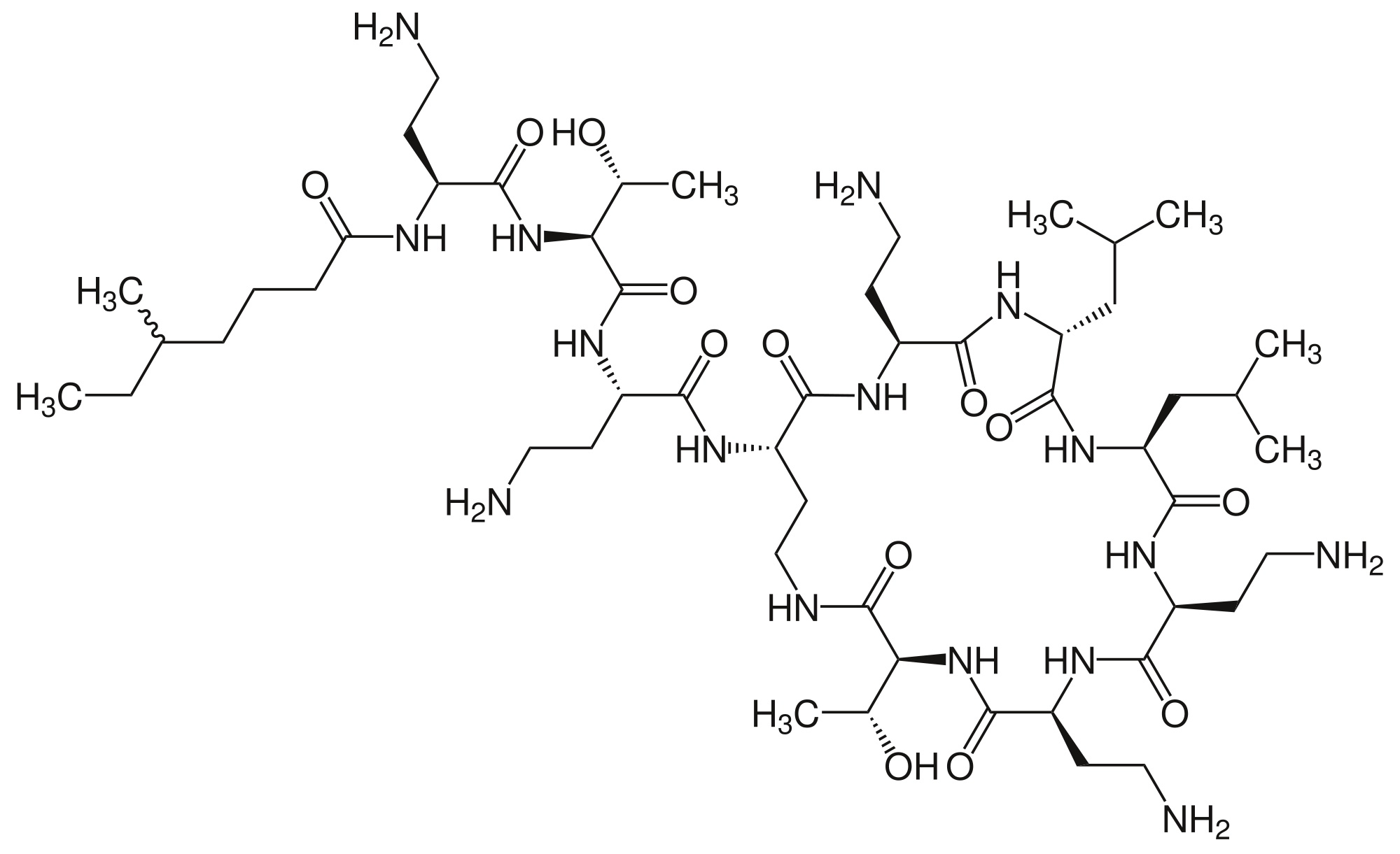
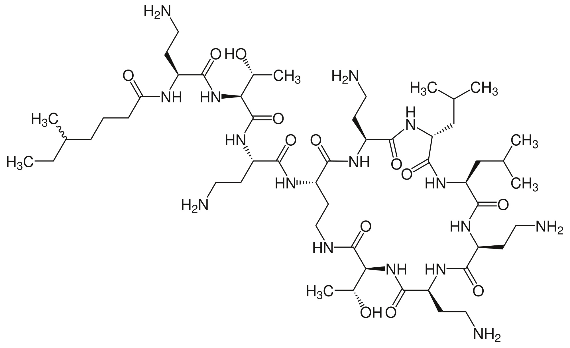
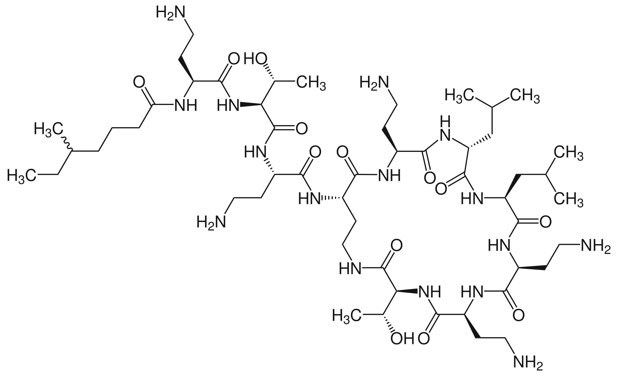
   Kimyasal yapı   

Ticari isim   Ticari isim     

Trade names are indicative and excipients composition can be different depending on the country and manufacturers

Alficetin Arjantin
Colimicina İtalya
Colimycin Danimarka, Norveç, Türkiye
Colimycine Fas, Fransa, Hollanda, Lüksemburg, Tunus
Colismet Peru
Colistimethate Amerika Birleşik Devletleri, Büyük Britanya, Fransa, Kanada
Colistin Almanya, Avusturya, Polonya, yeni Zelanda, Yunanistan
Colistina Arjantin, Portekiz, Şili
Colistineb Belçika
Colistyn Arjantin
Colixin Slovenya
Colomycin Amerika Birleşik Devletleri, Büyük Britanya, İrlanda, Kanada, Malezya
Dicupal Şili
Elistin Peru
Kolisod Türkiye
Nolisin
Promixin Almanya, Büyük Britanya, İrlanda, Norveç
Toliscrin Arjantin
Çözeltilerin stabilitesi   Enjeksiyon    Çözeltilerin stabilitesi : Colistin mesilate sodium     
Saklama kabı Çözücü Konsantrasyon Isı Saklama    Stabilite süresi Kaynaklar
Cam Enjeksiyonluk su 200 mg/ml 25°C Işıktan koruyunuz
7 Gün
2285
Kanıt düzeyi D

Cam Enjeksiyonluk su 200 mg/ml 4°C Işıktan koruyunuz
7 Gün
2285
Kanıt düzeyi D

Cam Enjeksiyonluk su 75 mg/ml -20°C Işıktan koruyunuz
24 Zaman
3360
Kanıt düzeyi B

Cam Enjeksiyonluk su 75 mg/ml 21°C Belirtilmemiş
24 Zaman
3360
Kanıt düzeyi B

Cam Enjeksiyonluk su 75 mg/ml 4°C Belirtilmemiş
24 Zaman
3360
Kanıt düzeyi B

Polivinil klorür Sodyum klorür % 0,9 4 mg/ml 4°C Işıktan koruyunuz
48 Zaman
2285
Kanıt düzeyi D

Polivinil klorür Glukoz %5 4 mg/ml 4°C Işıktan koruyunuz
48 Zaman
2285
Kanıt düzeyi D

Poliolefin Sodyum klorür % 0,9 1,6 mg/ml 2-8°C Işıktan koruyunuz
7 Gün
4178
Kanıt düzeyi B

Poliolefin Sodyum klorür % 0,9 1,6 mg/ml 20-24°C Işıklı veya ışıksız
1 Gün
4178
Kanıt düzeyi B

poliizopren elastomer Sodyum klorür % 0,9 0,8 & 2,4 mg/ml 2-8°C Işıktan koruyunuz
7 Gün
4178
Kanıt düzeyi B

poliizopren elastomer Sodyum klorür % 0,9 0,8 & 2,4 mg/ml 20-24°C Işıklı veya ışıksız
1 Gün
4178
Kanıt düzeyi B

Silikon elastomer Sodyum klorür % 0,9 0,8 mg/ml 4°C Belirtilmemiş
3 Gün
2783
Kanıt düzeyi A


  Mentions Légales