Laatste update :
27/01/2026
Antibioticum   Colistin mesilate sodium  
injecteerbaar geneesmiddel
Aerosol
Stabiliteit in oplossing Stabiliteit in mengsels Factoren die de stabiliteit beïnvloeden Verenigbaarheden Toedieningswijze Literatuur pdf
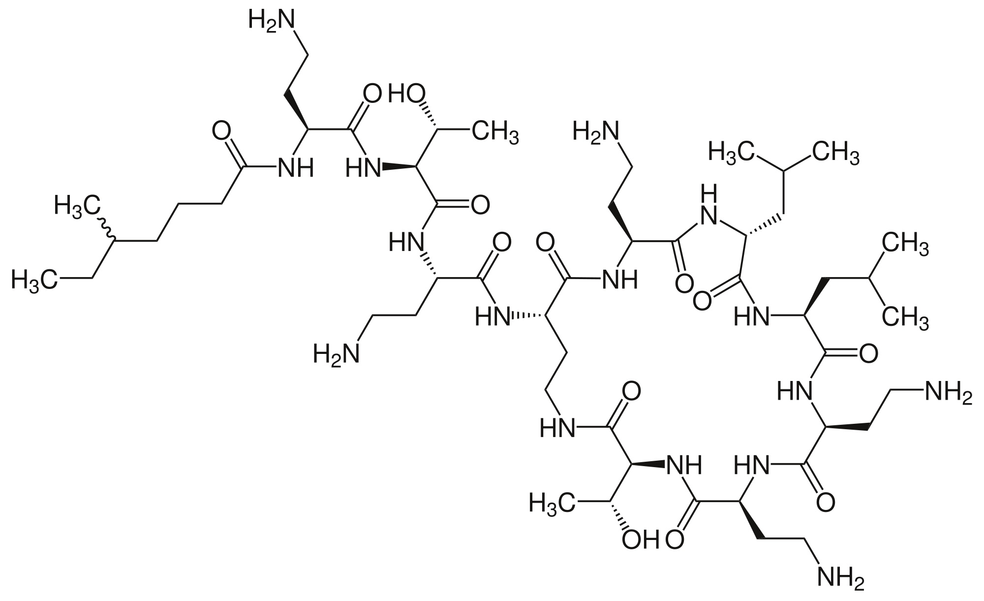
   Molecuulstructuur  

Merknamen in verschillende landen   Merknamen in verschillende landen     

Handelsnamen zijn slechts een indicatie; de samenstelling van hulpstoffen kan per land variëren afhankelijk van de fabrikant

Alficetin Argentinië
Colimicina Italië
Colimycin Denemarken, Noorwegen, Turkije
Colimycine Frankrijk, Luxemburg, Marokko, Nederland, Tunisie
Colismet Peru
Colistimethate Canada, Frankrijk, Groot Britannië, USA
Colistin Duitsland, Griekenland, nieuw Zeeland, Oostenrijk, Polen
Colistina Argentinië, Chili, Portugal
Colistineb België
Colistyn Argentinië
Colixin Slovenië
Colomycin Canada, Groot Britannië, Ierland, Maleisië, USA
Dicupal Chili
Elistin Peru
Kolisod Turkije
Nolisin
Promixin Duitsland, Groot Britannië, Ierland, Noorwegen
Toliscrin Argentinië
Stabiliteit in oplossing   injecteerbaar geneesmiddel   Stabiliteit in oplossing : Colistin mesilate sodium     
Verpakking Oplosmiddel Concentratie Temperatuur Bewaring Duur van de stabiliteit Literatuur
Glas Water voor injectie 200 mg/ml 25°C Buiten invloed van licht
7 Dag
2285
Bewijsniveau D

Glas Water voor injectie 200 mg/ml 4°C Buiten invloed van licht
7 Dag
2285
Bewijsniveau D

Glas Water voor injectie 75 mg/ml -20°C Buiten invloed van licht
24 Uur
3360
Bewijsniveau B

Glas Water voor injectie 75 mg/ml 21°C Niet gespecificeerd
24 Uur
3360
Bewijsniveau B

Glas Water voor injectie 75 mg/ml 4°C Niet gespecificeerd
24 Uur
3360
Bewijsniveau B

Polyvinylchloride (PVC) Natriumchloride 0,9% 4 mg/ml 4°C Buiten invloed van licht
48 Uur
2285
Bewijsniveau D

Polyvinylchloride (PVC) Glucose 5% 4 mg/ml 4°C Buiten invloed van licht
48 Uur
2285
Bewijsniveau D

Polyolefine Natriumchloride 0,9% 1,6 mg/ml 2-8°C Buiten invloed van licht
7 Dag
4178
Bewijsniveau B

Polyolefine Natriumchloride 0,9% 1,6 mg/ml 20-24°C Met of zonder licht
1 Dag
4178
Bewijsniveau B

Polyisopreen elastomeer Natriumchloride 0,9% 0,8 & 2,4 mg/ml 2-8°C Buiten invloed van licht
7 Dag
4178
Bewijsniveau B

Polyisopreen elastomeer Natriumchloride 0,9% 0,8 & 2,4 mg/ml 20-24°C Met of zonder licht
1 Dag
4178
Bewijsniveau B

Siliconenelastomeer Natriumchloride 0,9% 0,8 mg/ml 4°C Niet gespecificeerd
3 Dag
2783
Bewijsniveau A


  Mentions Légales