Poslední aktualizace :
27/04/2026
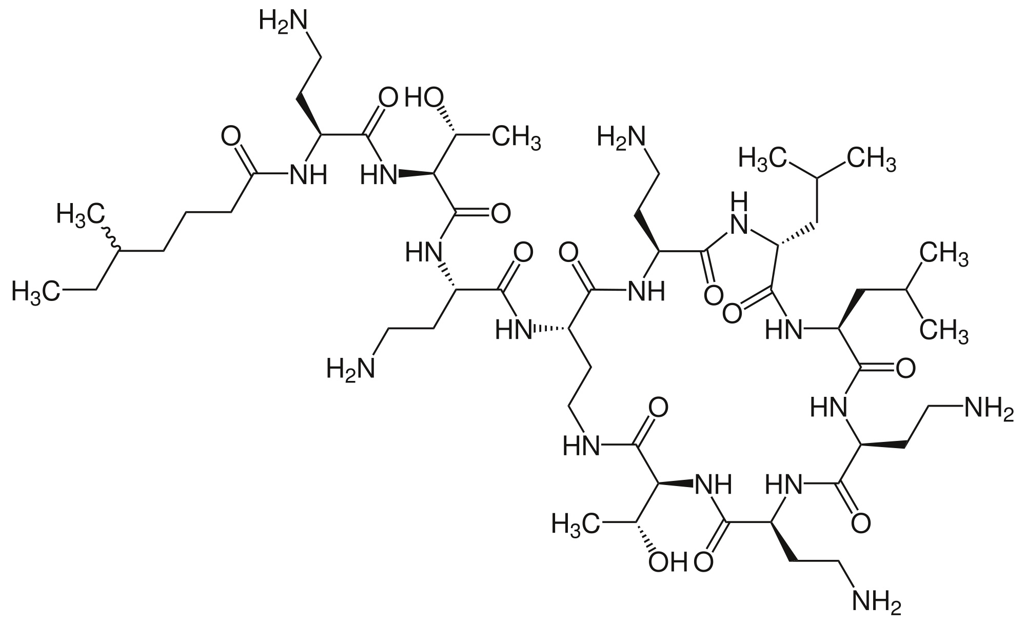
Antibiotikum   Colistin mesilate sodium  
injekce
Aerosol
Stabilita roztoků Stabilita směsí Faktory ovlivňující stabilitu Kompatibilita Způsoby aplikace Odkazy pdf
   Chemický vzorec  

Obchodní název   Obchodní název     

Trade names are indicative and excipients composition can be different depending on the country and manufacturers

Alficetin Argentina
Colimicina Itálie
Colimycin Dánsko, Norsko, Turecko
Colimycine Francie, Lucembursko, Maroko, Nizozemsko, Tunisko
Colismet Peru
Colistimethate Francie, Kanada, USA, Velká Británie
Colistin NÏmecko, nový Zéland, Polsko, Rakousko, ÿecko
Colistina Argentina, Chile, Portugalsko
Colistineb Belgie
Colistyn Argentina
Colixin Slovinsko
Colomycin Irsko, Kanada, Malajsie, USA, Velká Británie
Dicupal Chile
Elistin Peru
Kolisod Turecko
Nolisin
Promixin Irsko, NÏmecko, Norsko, Velká Británie
Toliscrin Argentina
Stabilita roztoků   injekce   Stabilita roztoků : Colistin mesilate sodium     
Obal RozpouötÏdlo Koncentrace Teplota Uchovávání Trvání stability Odkazy
Sklo Voda pro injekci 200 mg/ml 25°C Chráněno před světlem
7 Den
2285
Úroveň zkoušky D

Sklo Voda pro injekci 200 mg/ml 4°C Chráněno před světlem
7 Den
2285
Úroveň zkoušky D

Sklo Voda pro injekci 75 mg/ml -20°C Chráněno před světlem
24 Hodina
3360
Úroveň zkoušky B

Sklo Voda pro injekci 75 mg/ml 21°C Nespecifikováno
24 Hodina
3360
Úroveň zkoušky B

Sklo Voda pro injekci 75 mg/ml 4°C Nespecifikováno
24 Hodina
3360
Úroveň zkoušky B

Polyvinyl chlorid Chlorid sodný 0,9% 4 mg/ml 4°C Chráněno před světlem
48 Hodina
2285
Úroveň zkoušky D

Polyvinyl chlorid GlukÛza 5% 4 mg/ml 4°C Chráněno před světlem
48 Hodina
2285
Úroveň zkoušky D

Polyoleofin Chlorid sodný 0,9% 1,6 mg/ml 2-8°C Chráněno před světlem
7 Den
4178
Úroveň zkoušky B

Polyoleofin Chlorid sodný 0,9% 1,6 mg/ml 20-24°C S nebo bez svÏtla
1 Den
4178
Úroveň zkoušky B

Polyisoprenový elastomer Chlorid sodný 0,9% 0,8 & 2,4 mg/ml 2-8°C Chráněno před světlem
7 Den
4178
Úroveň zkoušky B

Polyisoprenový elastomer Chlorid sodný 0,9% 0,8 & 2,4 mg/ml 20-24°C S nebo bez svÏtla
1 Den
4178
Úroveň zkoušky B

Silikonový elastomer Chlorid sodný 0,9% 0,8 mg/ml 4°C Nespecifikováno
3 Den
2783
Úroveň zkoušky A


  Mentions Légales