Dernière mise à jour :
27/04/2026
Antibiotique   Colistin mesilate sodium  
injectable
Aérosol
Stabilité des solutions Stabilité en mélange Facteur influençant la stabilité Compatibilités Voie d’administration Bibliographie pdf
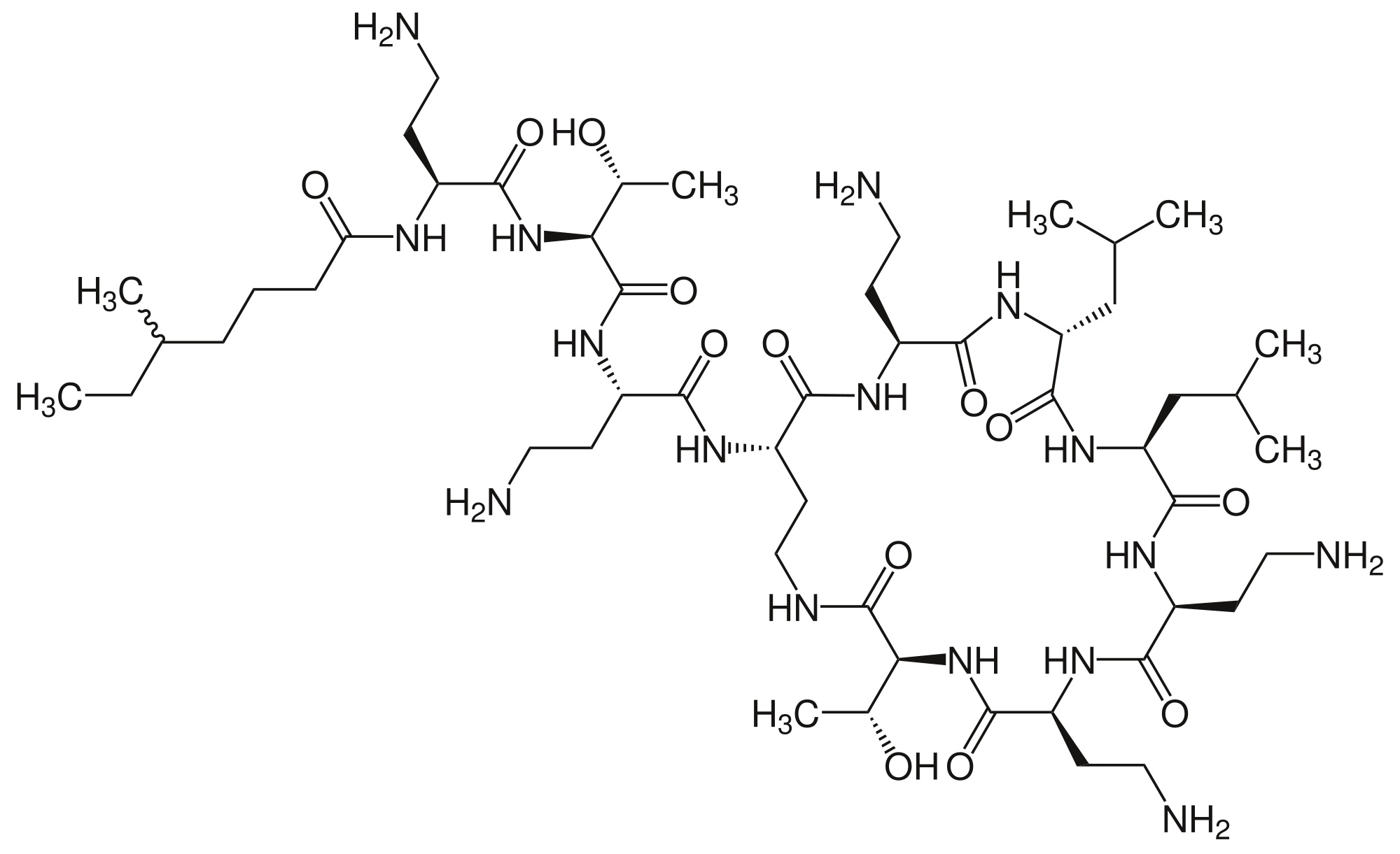
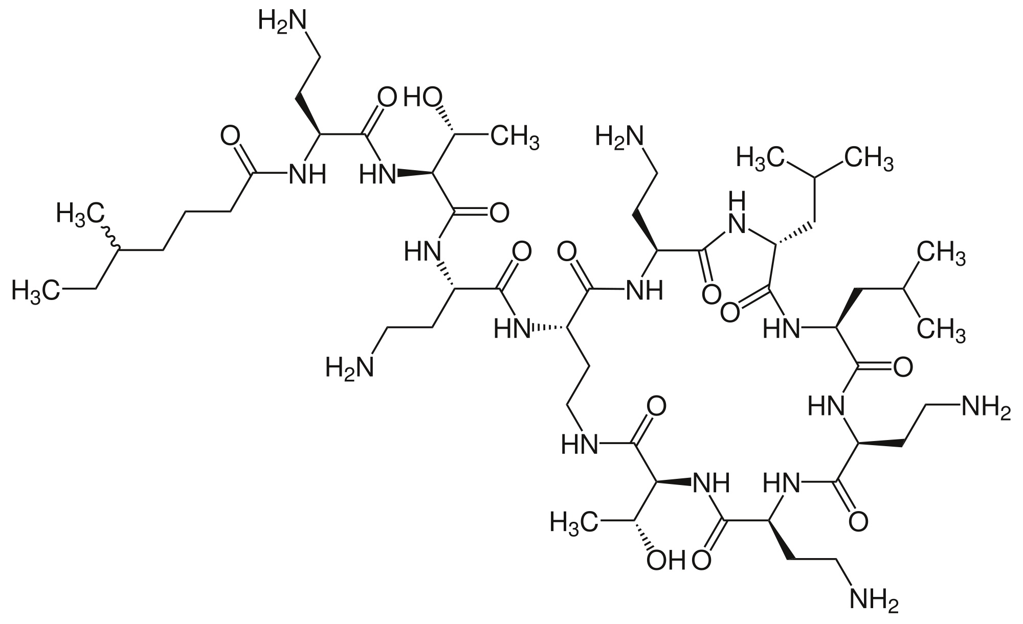
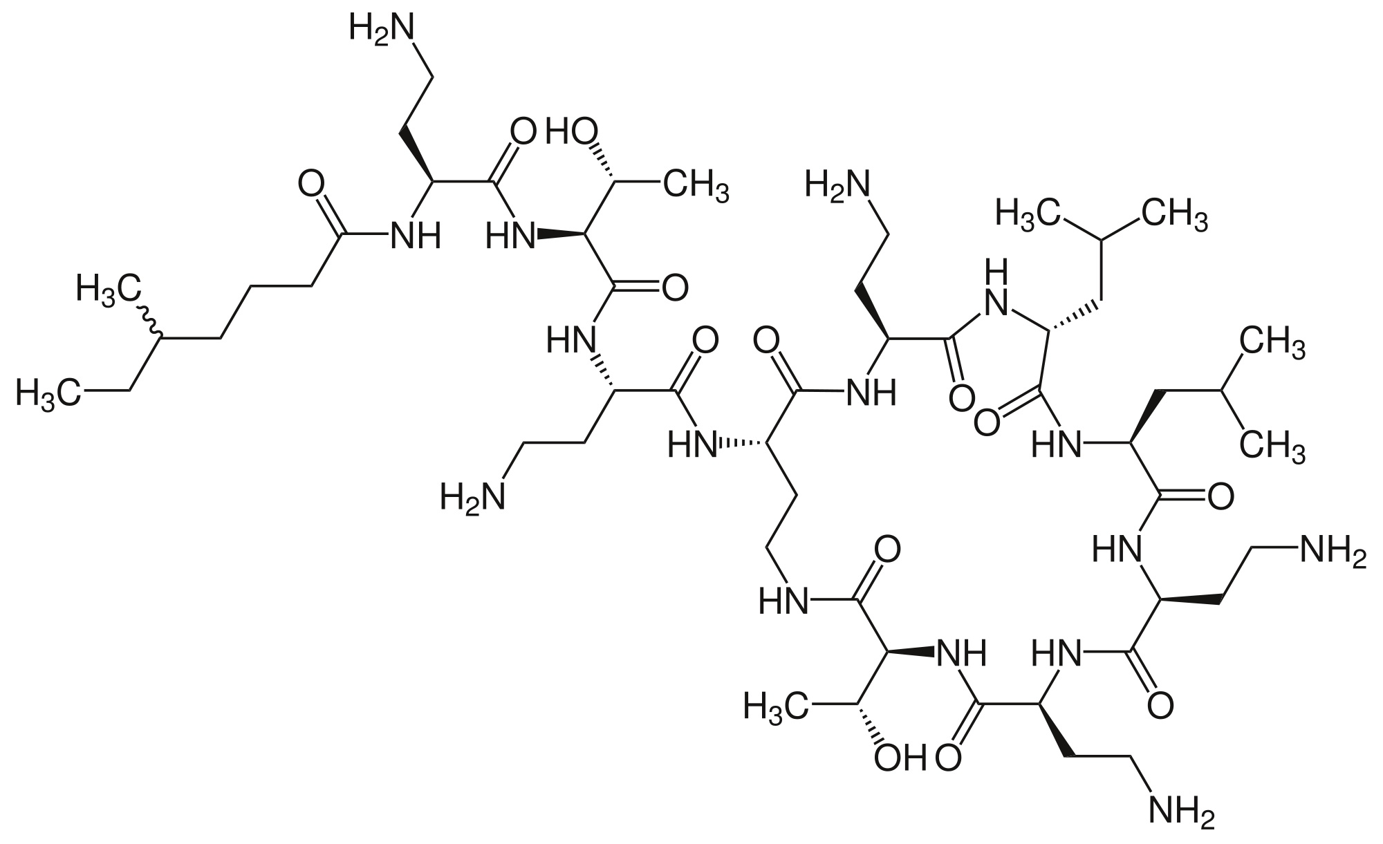
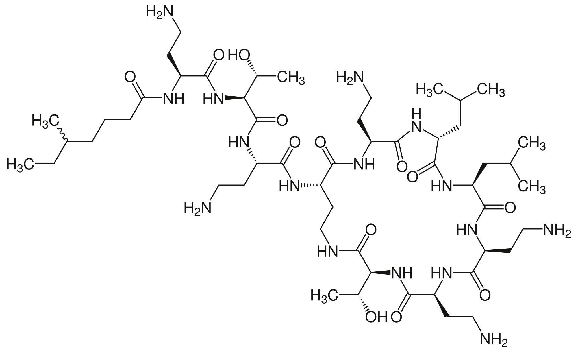
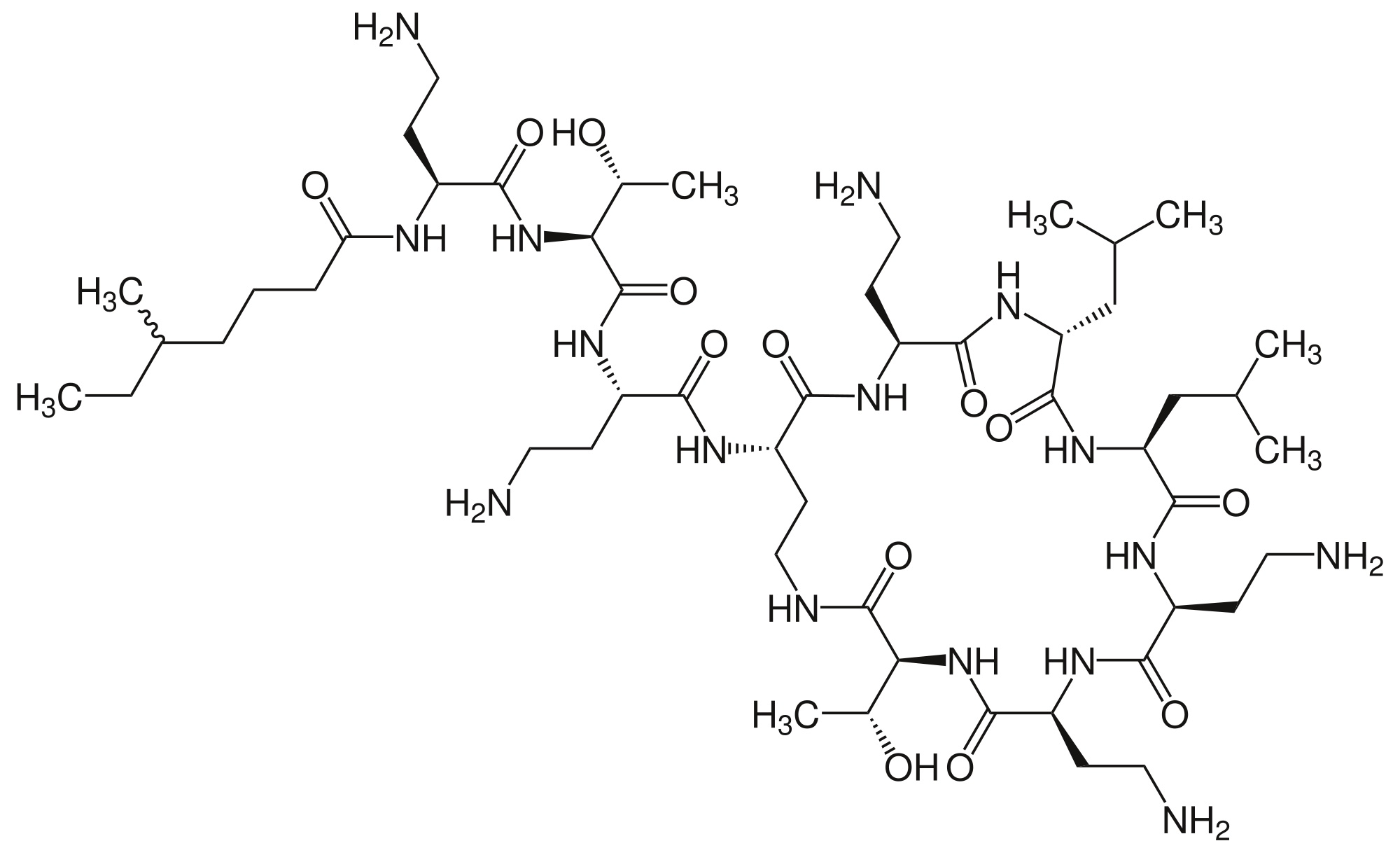
   Structure chimique  

Noms commerciaux   Noms commerciaux     

Les noms commerciaux sont donnés à titre indicatif et la composition en excipients peut être différente selon les pays et selon les laboratoires

Alficetin Argentine
Colimicina Italie
Colimycin Danemark, Norvège, Turquie
Colimycine France, Luxembourg, Maroc, Pays bas, Tunisie
Colismet Pérou
Colistimethate Canada, Etats Unis d’Amérique, France, Grande Bretagne
Colistin Allemagne, Autriche, Grèce, Nouvelle Zélande, Pologne
Colistina Argentine, Chili, Portugal
Colistineb Belgique
Colistyn Argentine
Colixin Slovénie
Colomycin Canada, Etats Unis d’Amérique, Grande Bretagne, Irlande, Malaisie
Dicupal Chili
Elistin Pérou
Kolisod Turquie
Nolisin
Promixin Allemagne, Grande Bretagne, Irlande, Norvège
Toliscrin Argentine
Stabilité des solutions   injectable   Stabilité des solutions : Colistin mesilate sodium     
Contenant Solvant Concentration Température Conservation Durée de stabilité Bibliographie
Verre Eau pour préparation injectable 200 mg/ml 25°C A l’abri de la lumière
7 Jour
2285
Niveau de preuve D

Verre Eau pour préparation injectable 200 mg/ml 4°C A l’abri de la lumière
7 Jour
2285
Niveau de preuve D

Verre Eau pour préparation injectable 75 mg/ml -20°C A l’abri de la lumière
24 Heure
3360
Niveau de preuve B

Verre Eau pour préparation injectable 75 mg/ml 21°C Non précisée
24 Heure
3360
Niveau de preuve B

Verre Eau pour préparation injectable 75 mg/ml 4°C Non précisée
24 Heure
3360
Niveau de preuve B

Polyvinyl chlorure Chlorure de sodium 0,9% 4 mg/ml 4°C A l’abri de la lumière
48 Heure
2285
Niveau de preuve D

Polyvinyl chlorure Glucose 5% 4 mg/ml 4°C A l’abri de la lumière
48 Heure
2285
Niveau de preuve D

Polyolefine Chlorure de sodium 0,9% 1,6 mg/ml 2-8°C A l’abri de la lumière
7 Jour
4178
Niveau de preuve B

Polyolefine Chlorure de sodium 0,9% 1,6 mg/ml 20-24°C Avec ou sans lumière
1 Jour
4178
Niveau de preuve B

Elastomère en polyisoprène Chlorure de sodium 0,9% 0,8 & 2,4 mg/ml 2-8°C A l’abri de la lumière
7 Jour
4178
Niveau de preuve B

Elastomère en polyisoprène Chlorure de sodium 0,9% 0,8 & 2,4 mg/ml 20-24°C Avec ou sans lumière
1 Jour
4178
Niveau de preuve B

Elastomère en silicone Chlorure de sodium 0,9% 0,8 mg/ml 4°C Non précisée
3 Jour
2783
Niveau de preuve A


  Mentions Légales