Ultimo aggiornamento :
27/04/2026
Antibiotico   Colistin mesilate sodium  
Iniezione
Aerosol
Stabilità in soluzione Stabilità in miscela Fattori che influenzano la stabilità Compatibilità metodo di iniezione Bibliografia pdf
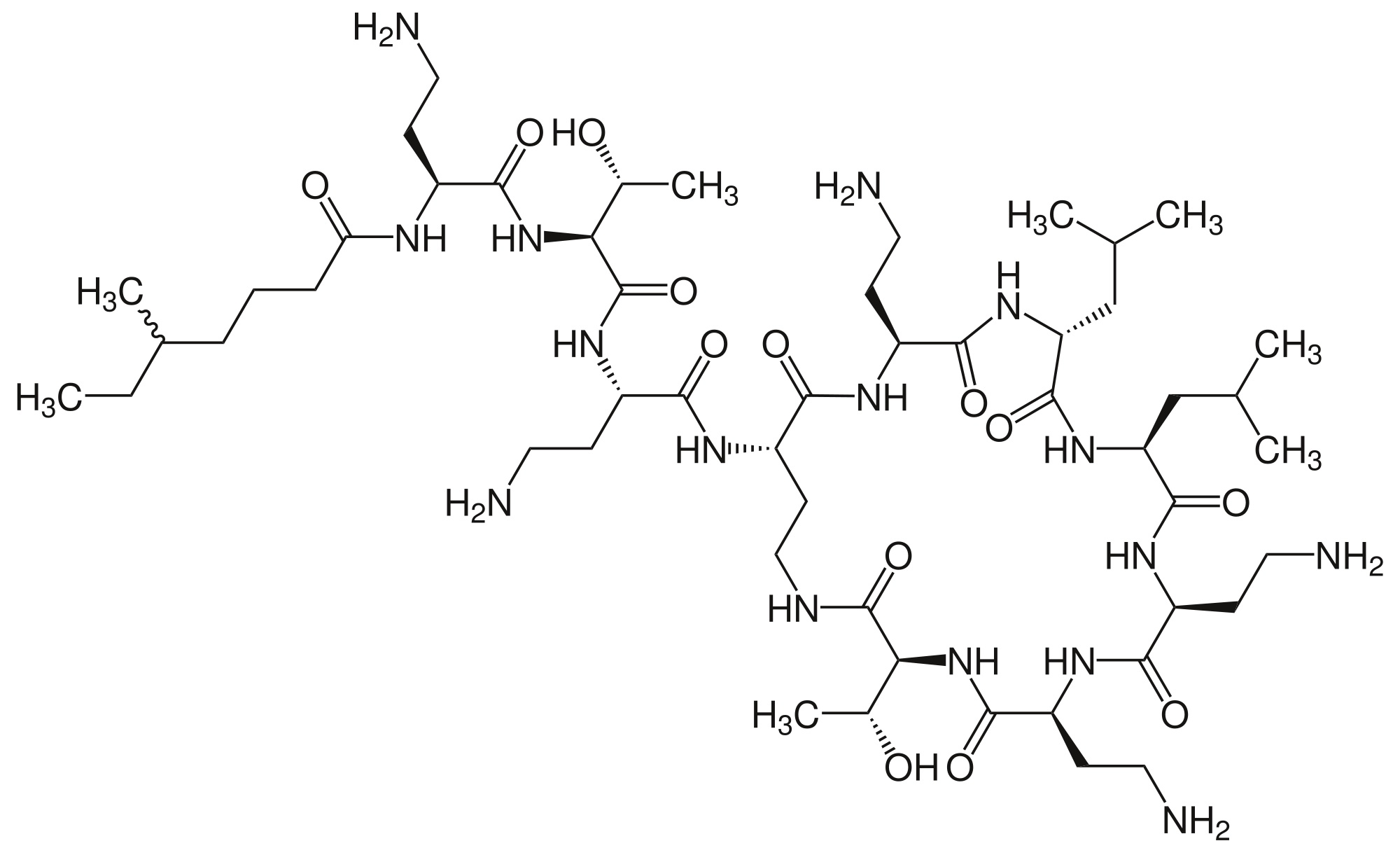
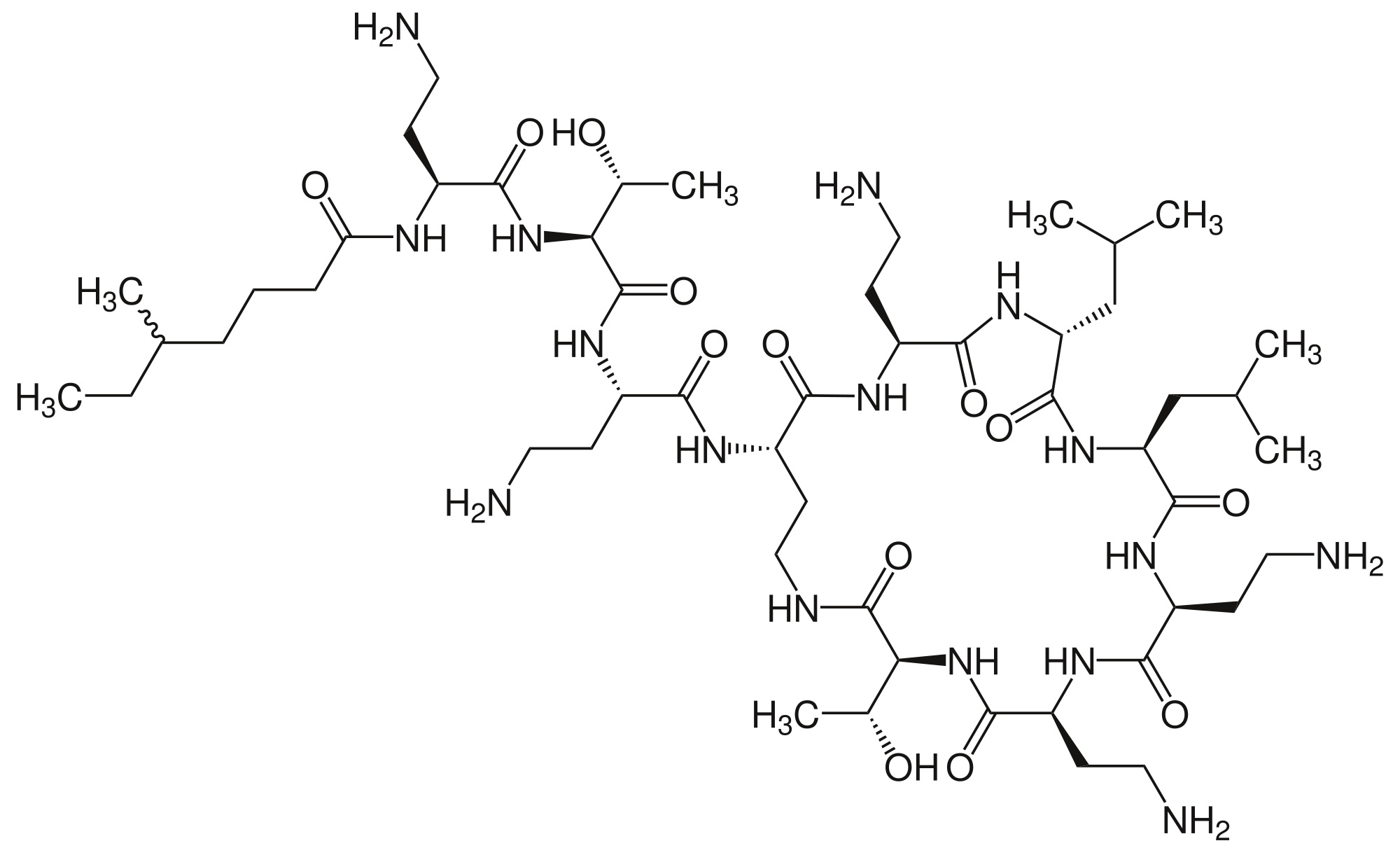
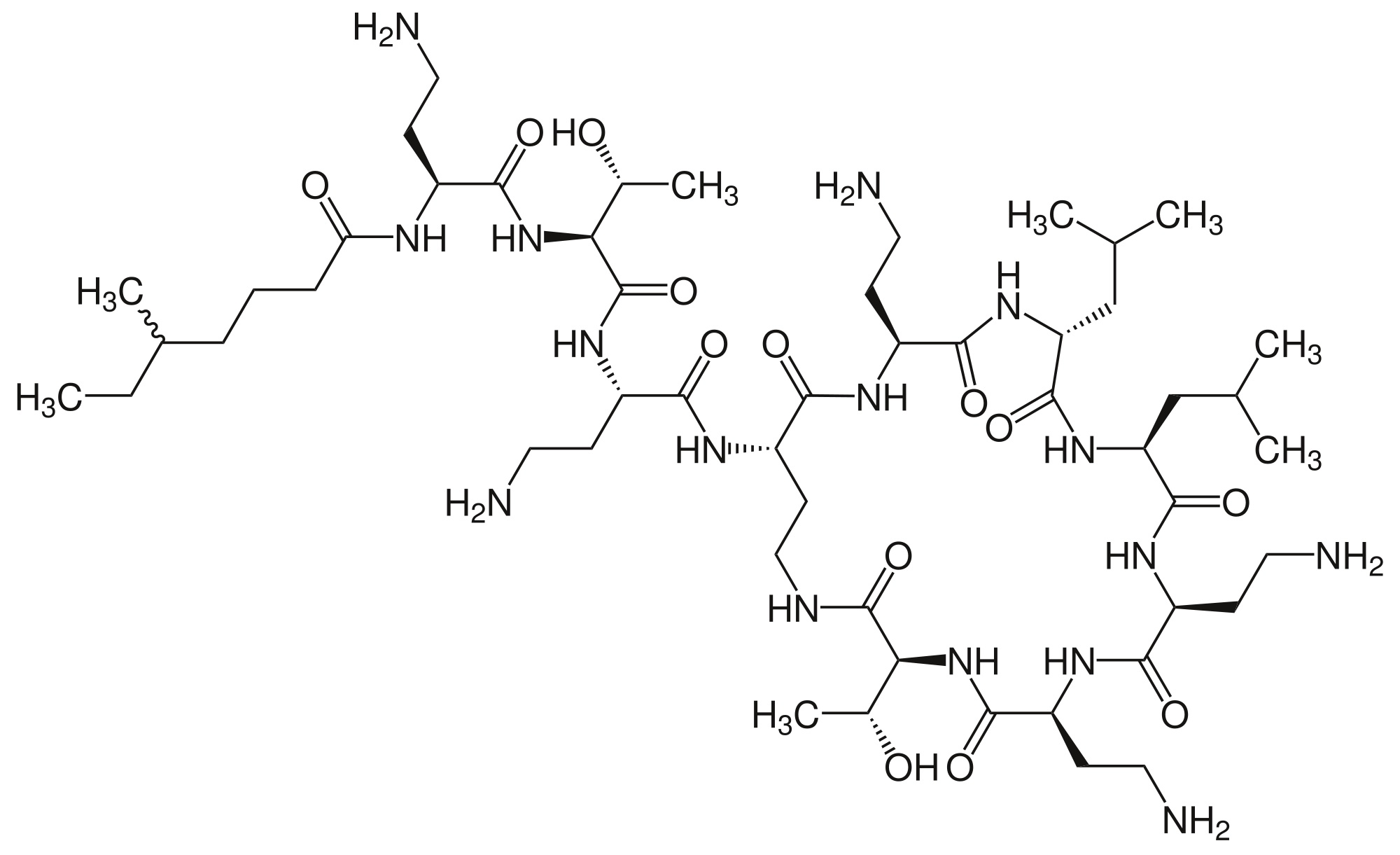
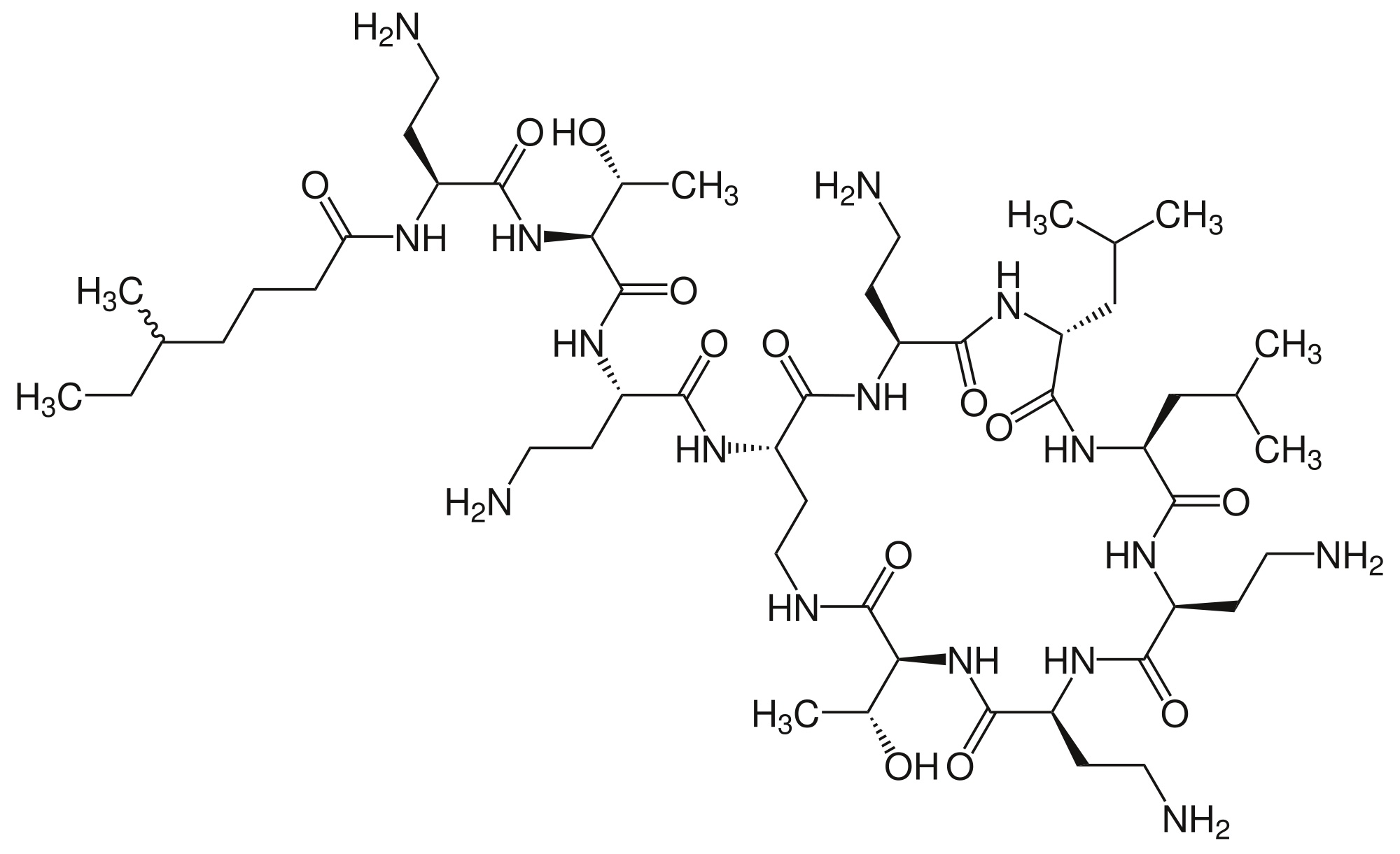
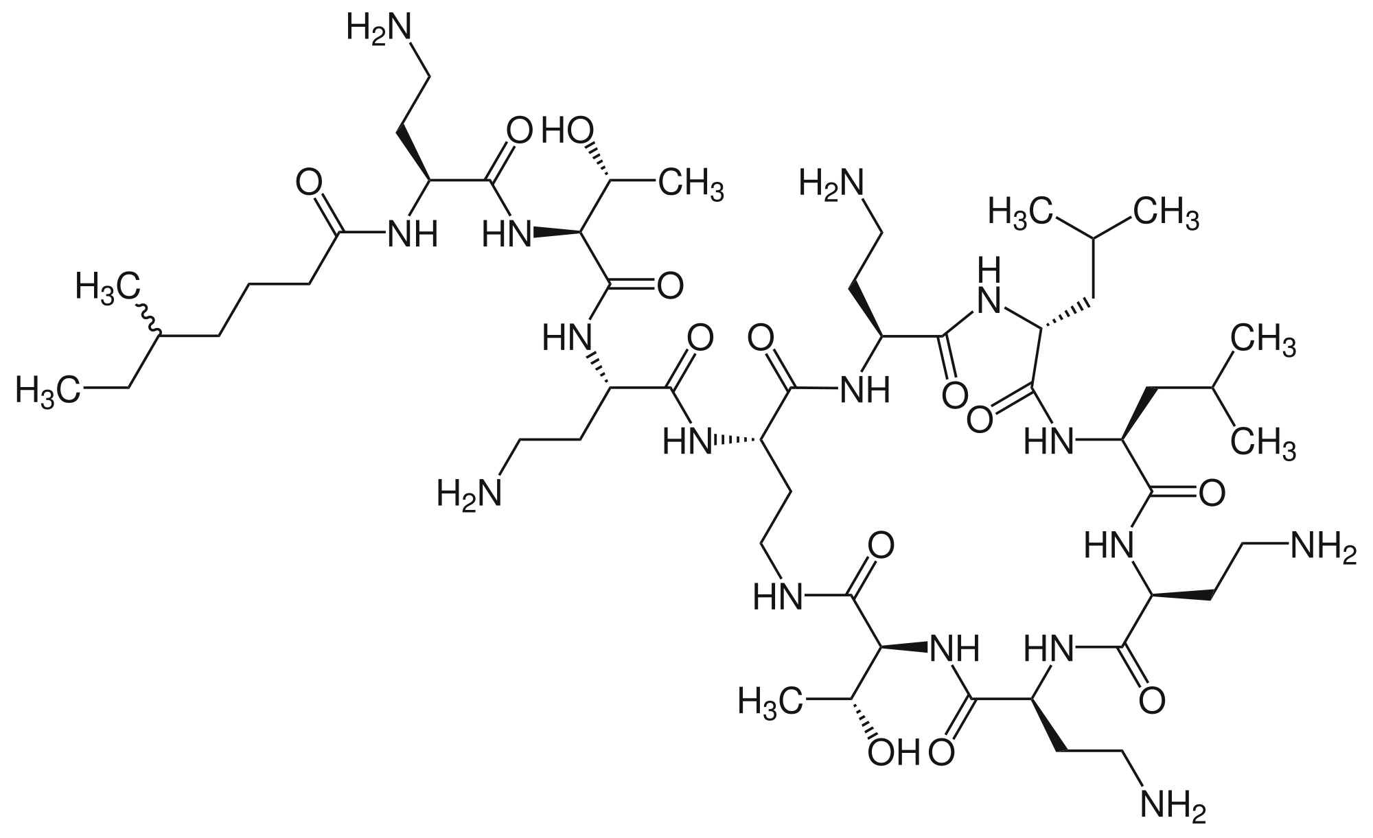
   Struttura chimica  

Nome commerciale   Nome commerciale     

Trade names are indicative and excipients composition can be different depending on the country and manufacturers

Alficetin Argentina
Colimicina Italia
Colimycin Danimarca, Norvegia, Turchia
Colimycine Francia, Lussemburgo, Marocco, Paesi Bassi, Tunisia
Colismet Perù
Colistimethate Canada, Francia, Gran Bretagna, Stati Uniti d’America
Colistin Austria, Germania, Grecia, nuova Zelanda, Polonia
Colistina Argentina, Chile, Portogallo
Colistineb Belgio
Colistyn Argentina
Colixin Slovenia
Colomycin Canada, Gran Bretagna, Irlanda, Malaysia, Stati Uniti d’America
Dicupal Chile
Elistin Perù
Kolisod Turchia
Nolisin
Promixin Germania, Gran Bretagna, Irlanda, Norvegia
Toliscrin Argentina
Stabilità in soluzione   Iniezione   Stabilità in soluzione : Colistin mesilate sodium     
contenitore Solvente Concentrazione Temperatura Conservazione Durata della stabilità Bibliografia
Vetro Acqua per preparato iniettabile 200 mg/ml 25°C Al riparo dalla luce
7 Giorno
2285
Livello di evidenza D

Vetro Acqua per preparato iniettabile 200 mg/ml 4°C Al riparo dalla luce
7 Giorno
2285
Livello di evidenza D

Vetro Acqua per preparato iniettabile 75 mg/ml -20°C Al riparo dalla luce
24 Ora
3360
Livello di evidenza B

Vetro Acqua per preparato iniettabile 75 mg/ml 21°C Non precisata
24 Ora
3360
Livello di evidenza B

Vetro Acqua per preparato iniettabile 75 mg/ml 4°C Non precisata
24 Ora
3360
Livello di evidenza B

Cloruro di polivinile Cloruro di sodio 0,9% 4 mg/ml 4°C Al riparo dalla luce
48 Ora
2285
Livello di evidenza D

Cloruro di polivinile Glucosio 5% 4 mg/ml 4°C Al riparo dalla luce
48 Ora
2285
Livello di evidenza D

Poliolefina Cloruro di sodio 0,9% 1,6 mg/ml 2-8°C Al riparo dalla luce
7 Giorno
4178
Livello di evidenza B

Poliolefina Cloruro di sodio 0,9% 1,6 mg/ml 20-24°C Con o senza luce
1 Giorno
4178
Livello di evidenza B

Elastomero poliisoprenico Cloruro di sodio 0,9% 0,8 & 2,4 mg/ml 2-8°C Al riparo dalla luce
7 Giorno
4178
Livello di evidenza B

Elastomero poliisoprenico Cloruro di sodio 0,9% 0,8 & 2,4 mg/ml 20-24°C Con o senza luce
1 Giorno
4178
Livello di evidenza B

Elastomero siliconico Cloruro di sodio 0,9% 0,8 mg/ml 4°C Non precisata
3 Giorno
2783
Livello di evidenza A


  Mentions Légales