最新更新 :
18/03/2026
抗菌薬   Colistin mesilate sodium  
注射薬
エアロゾル
溶媒内の安定性 混合時の安定性 安定性に影響する因子 互換性 投与経路 引用文献 PDF
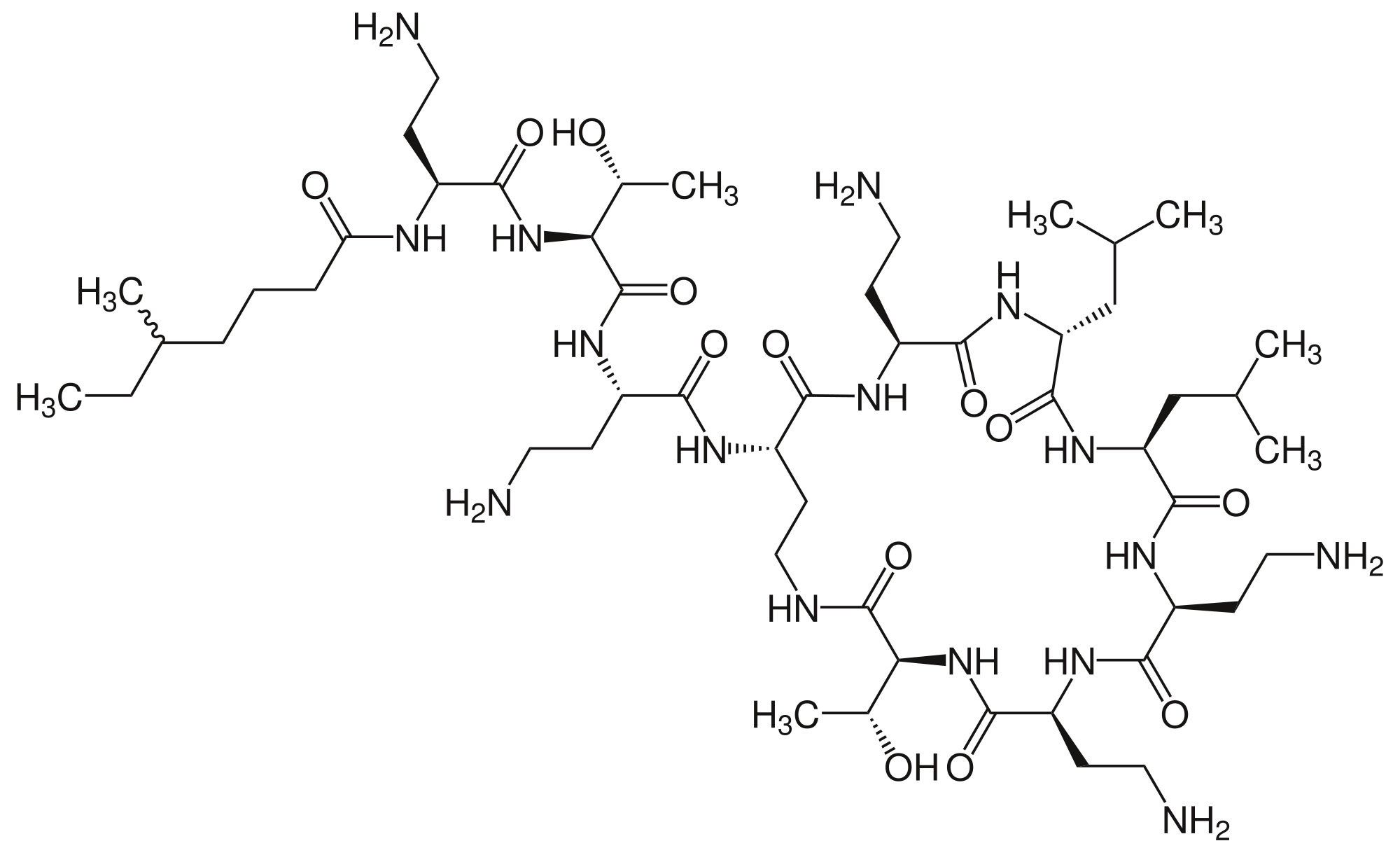
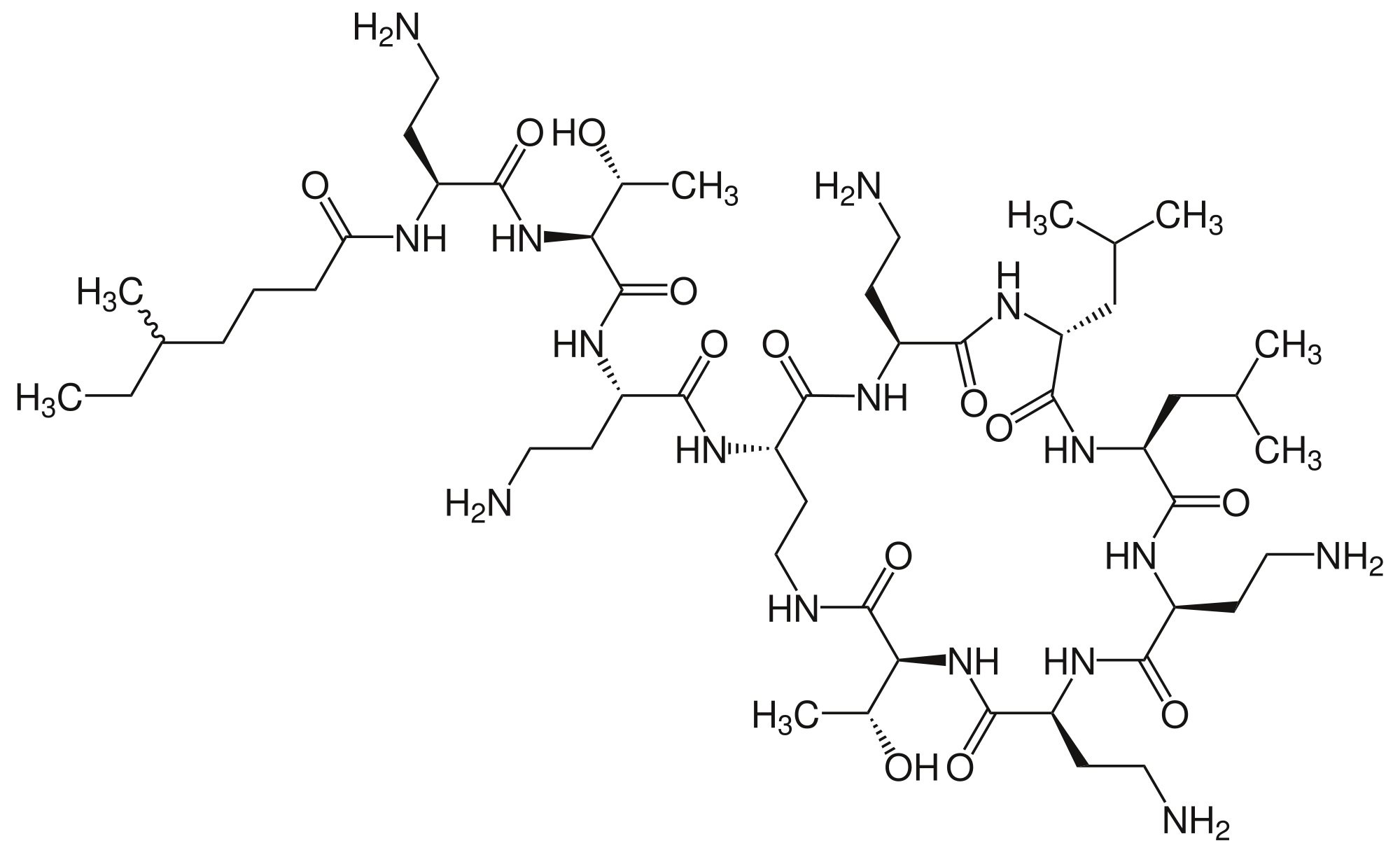
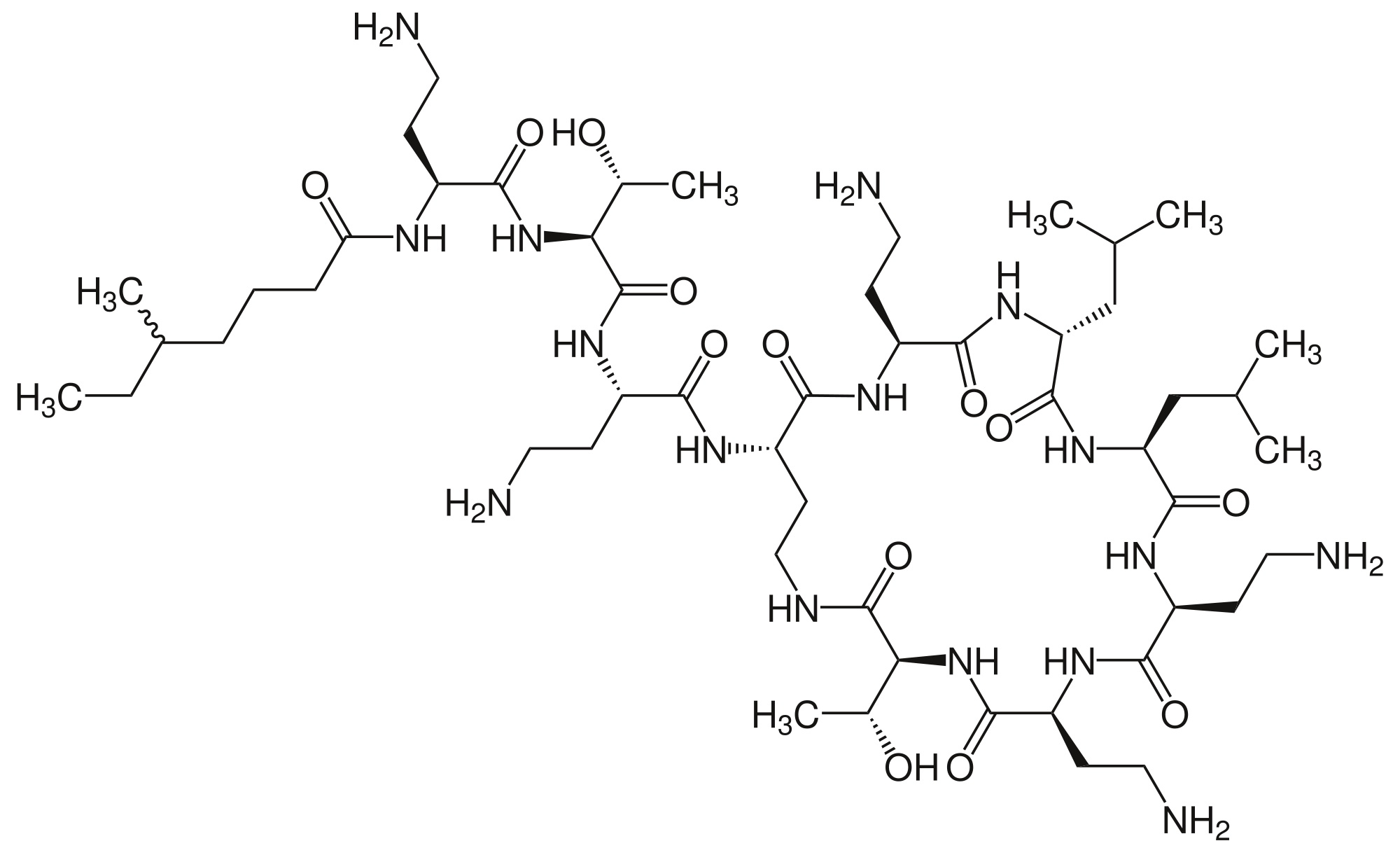
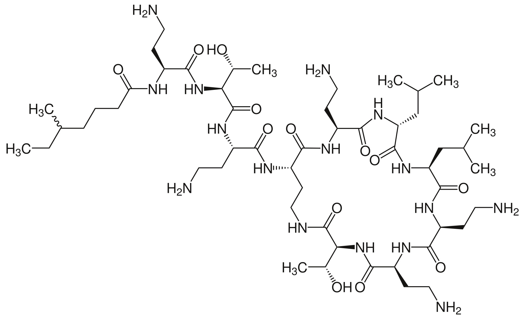
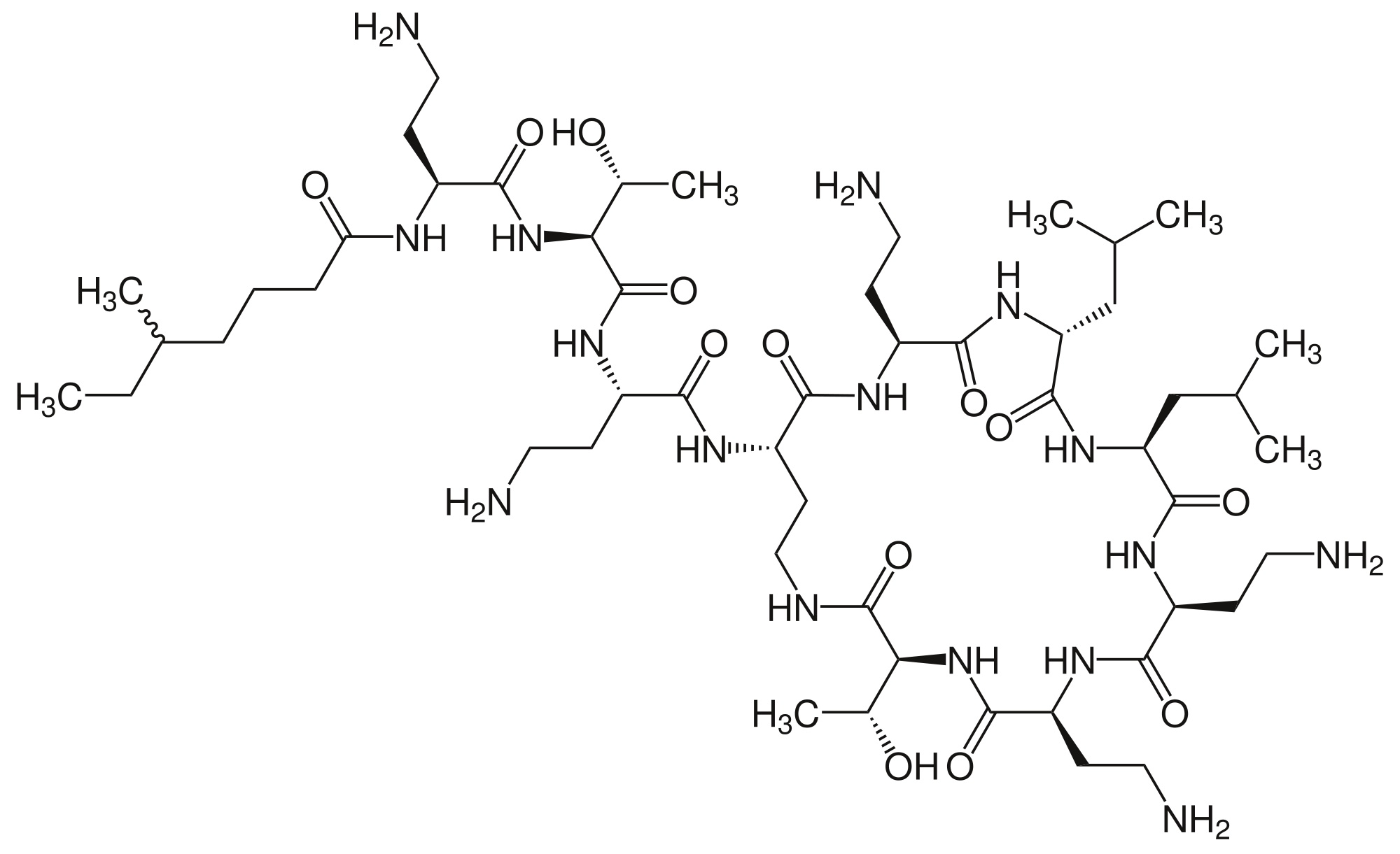
   化学構造  

商品名   商品名     

商品名、賦形剤は国、製薬会社ごとに異なることがあります

Alficetin アルゼンチン
Colimicina イタリア
Colimycin デンマーク, トルコ, ノルウェー
Colimycine オランダ, チュニジア, フランス, モロッコ, ルクセンブルグ
Colismet ペルー
Colistimethate アメリカ, イギリス, カナダ, フランス
Colistin オーストリア, ギリシア, ドイツ, ニュージーランド, ポーランド
Colistina アルゼンチン, チリ, ポルトガル
Colistineb ベルギー
Colistyn アルゼンチン
Colixin スロベニア
Colomycin アイルランド, アメリカ, イギリス, カナダ, マレーシア
Dicupal チリ
Elistin ペルー
Kolisod トルコ
Nolisin
Promixin アイルランド, イギリス, ドイツ, ノルウェー
Toliscrin アルゼンチン
溶媒内の安定性   注射薬   溶媒内の安定性 : Colistin mesilate sodium     
容器 溶媒 濃度 温度 保管 安定期間 引用文献
ガラス 注射用水 200 mg/ml 25°C 遮光
7 日
2285
エビデンスレベル D

ガラス 注射用水 200 mg/ml 4°C 遮光
7 日
2285
エビデンスレベル D

ガラス 注射用水 75 mg/ml -20°C 遮光
24 時間
3360
エビデンスレベル B

ガラス 注射用水 75 mg/ml 21°C 特記なし
24 時間
3360
エビデンスレベル B

ガラス 注射用水 75 mg/ml 4°C 特記なし
24 時間
3360
エビデンスレベル B

ポリ塩化ビニル(PVC) NaCl 0,9% 4 mg/ml 4°C 遮光
48 時間
2285
エビデンスレベル D

ポリ塩化ビニル(PVC) グルコース5% 4 mg/ml 4°C 遮光
48 時間
2285
エビデンスレベル D

ポリオレフィン NaCl 0,9% 1,6 mg/ml 2-8°C 遮光
7 日
4178
エビデンスレベル B

ポリオレフィン NaCl 0,9% 1,6 mg/ml 20-24°C 光/遮光
1 日
4178
エビデンスレベル B

ポリイソプレンエラストマー NaCl 0,9% 0,8 & 2,4 mg/ml 2-8°C 遮光
7 日
4178
エビデンスレベル B

ポリイソプレンエラストマー NaCl 0,9% 0,8 & 2,4 mg/ml 20-24°C 光/遮光
1 日
4178
エビデンスレベル B

シリコーンエラストマー NaCl 0,9% 0,8 mg/ml 4°C 特記なし
3 日
2783
エビデンスレベル A


  Mentions Légales