آخر تحديث :
27/04/2026
مضاد حيوي   Colistin mesilate sodium  
حقن
الأيروصولات
الاستقرار في حلول استقرار مخاليط العوامل التي تؤثر على الاستقرار التوافق طريقة التعاطي مراجع pdf
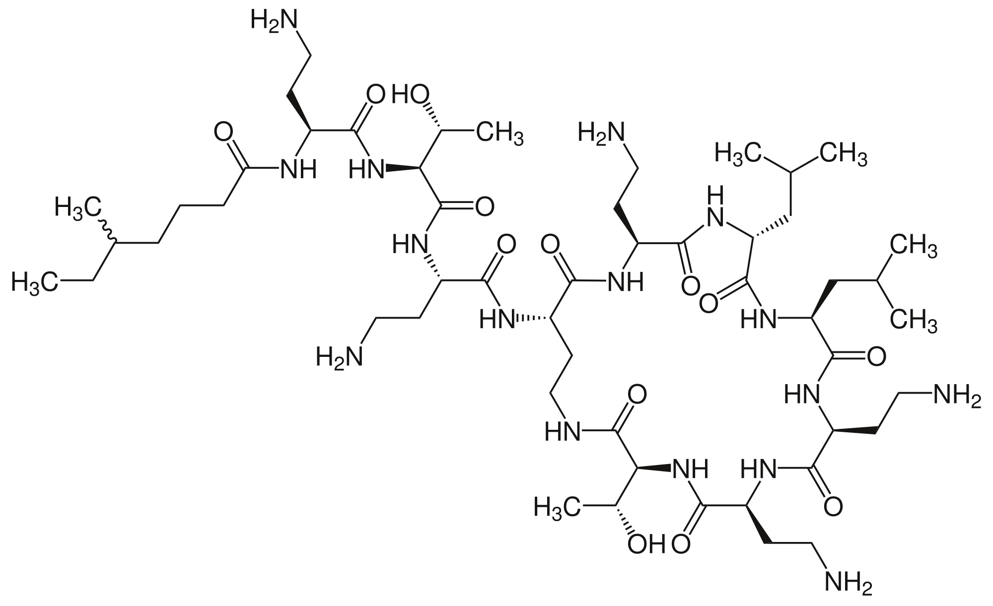
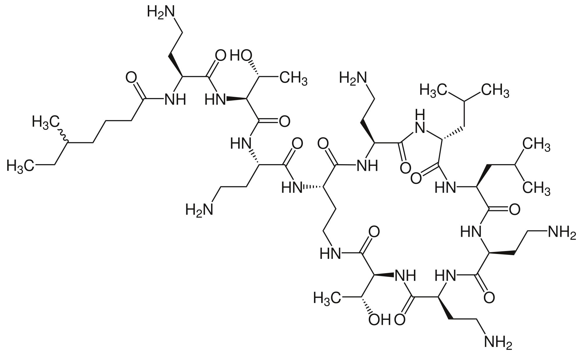
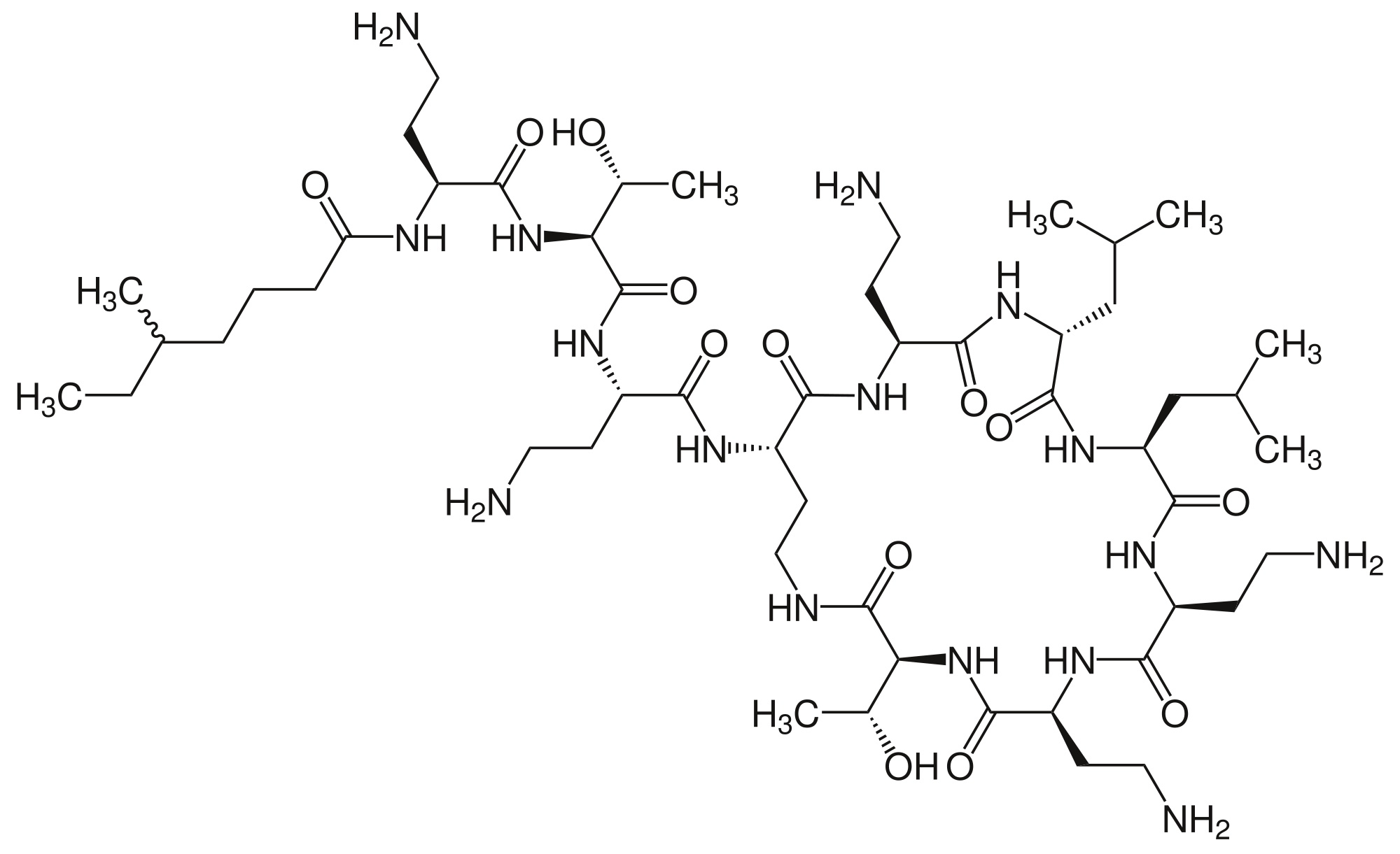
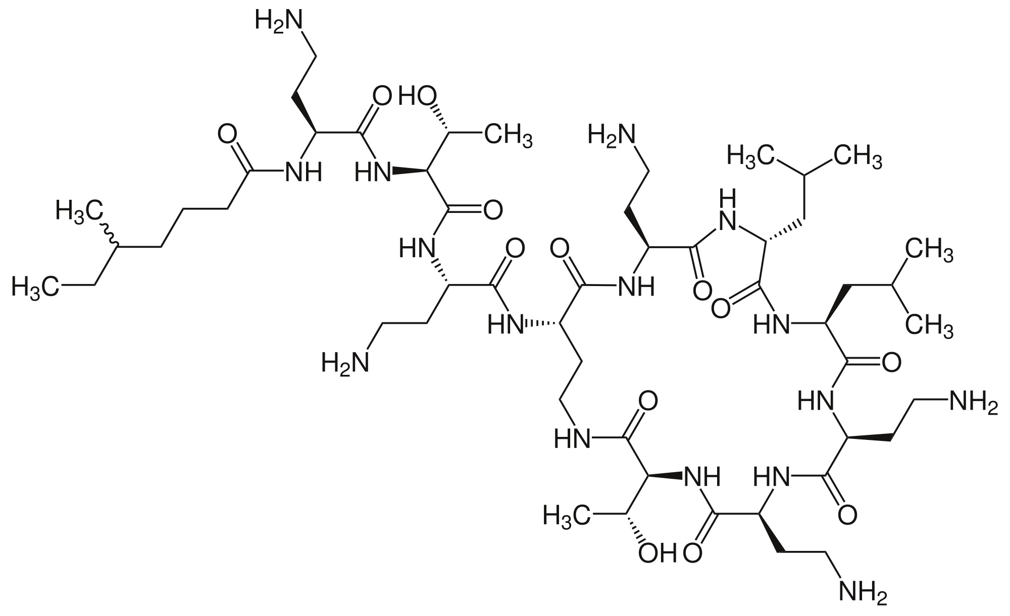
   التركيب الكيميائي  

حجز الاسم التجاري   حجز الاسم التجاري     

تحذير الأسماء التجاريه المختلفه قد تحتوي علي محتوي إضافات مختلفة حسب الدوله و المعمل

Alficetin الأرجنتين
Colimicina إيطاليا
Colimycin الدنمارك, النرويج, تركيا
Colimycine المغرب, تونس, فرنسا, لوكسمبورغ, هولندا
Colismet بيرو
Colistimethate الولايات المتحدة, بريطانيا العظمي, فرنسا, كندا
Colistin ألمانيا, النمسا, بولندا, زيلاندا الجديدة, يونان
Colistina الأرجنتين, البرتغال, تشيلي
Colistineb بلجيكا
Colistyn الأرجنتين
Colixin سلوفينيا
Colomycin الولايات المتحدة, ايرلندا, بريطانيا العظمي, كندا, ماليزيا
Dicupal تشيلي
Elistin بيرو
Kolisod تركيا
Nolisin
Promixin ألمانيا, النرويج, ايرلندا, بريطانيا العظمي
Toliscrin الأرجنتين
الاستقرار في حلول   حقن   الاستقرار في حلول : Colistin mesilate sodium     
حاوية مذيب تركيز درجة الحرارة تخزين مدة الاستقرار مراجع
زجاج حقن المياه لل 200 mg/ml 25°C بعيدا عن الضوء
7 يوم
2285
D مستوى الأدلة

زجاج حقن المياه لل 200 mg/ml 4°C بعيدا عن الضوء
7 يوم
2285
D مستوى الأدلة

زجاج حقن المياه لل 75 mg/ml -20°C بعيدا عن الضوء
24 ساعة
3360
B مستوى الأدلة

زجاج حقن المياه لل 75 mg/ml 21°C لم يتم تحديد
24 ساعة
3360
B مستوى الأدلة

زجاج حقن المياه لل 75 mg/ml 4°C لم يتم تحديد
24 ساعة
3360
B مستوى الأدلة

البولي فينيل كلوريد كلوريد الصوديوم 0.9% 4 mg/ml 4°C بعيدا عن الضوء
48 ساعة
2285
D مستوى الأدلة

البولي فينيل كلوريد الجلوكوز %5 4 mg/ml 4°C بعيدا عن الضوء
48 ساعة
2285
D مستوى الأدلة

البولي فين كلوريد الصوديوم 0.9% 1,6 mg/ml 2-8°C بعيدا عن الضوء
7 يوم
4178
B مستوى الأدلة

البولي فين كلوريد الصوديوم 0.9% 1,6 mg/ml 20-24°C مع أو بدون ضوء
1 يوم
4178
B مستوى الأدلة

ولي إيزوبرين إلاستومر كلوريد الصوديوم 0.9% 0,8 & 2,4 mg/ml 2-8°C بعيدا عن الضوء
7 يوم
4178
B مستوى الأدلة

ولي إيزوبرين إلاستومر كلوريد الصوديوم 0.9% 0,8 & 2,4 mg/ml 20-24°C مع أو بدون ضوء
1 يوم
4178
B مستوى الأدلة

مطاط السيليكون كلوريد الصوديوم 0.9% 0,8 mg/ml 4°C لم يتم تحديد
3 يوم
2783
A مستوى الأدلة


  Mentions Légales