Siste oppdatering :
18/03/2026
Antibiotika   Colistin mesilate sodium  
Injeksjon
Aerosol
Oppløsningsstabilitet Stabilitet i blandinger Faktorer som påvirker stabiliteten Kompatibilitet Administrasjonsmåte Referanser pdf
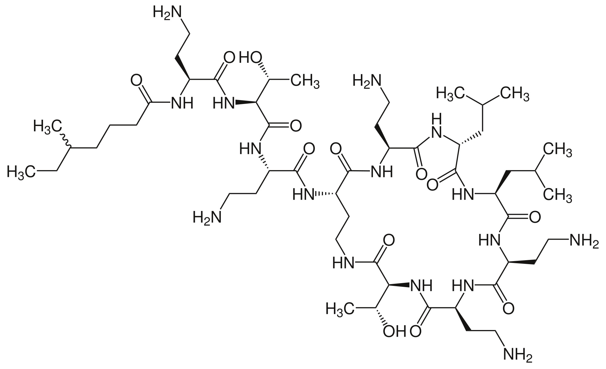
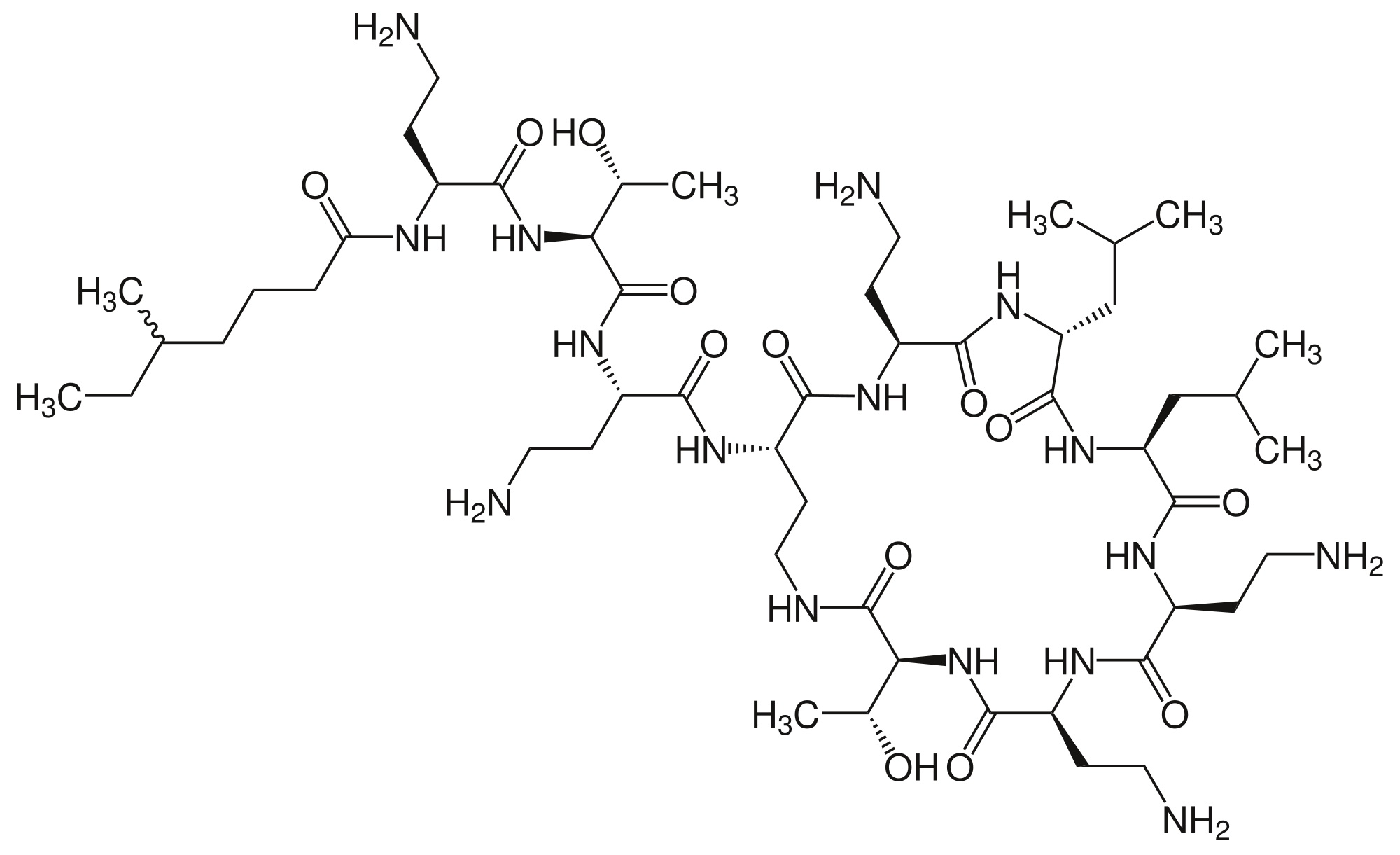
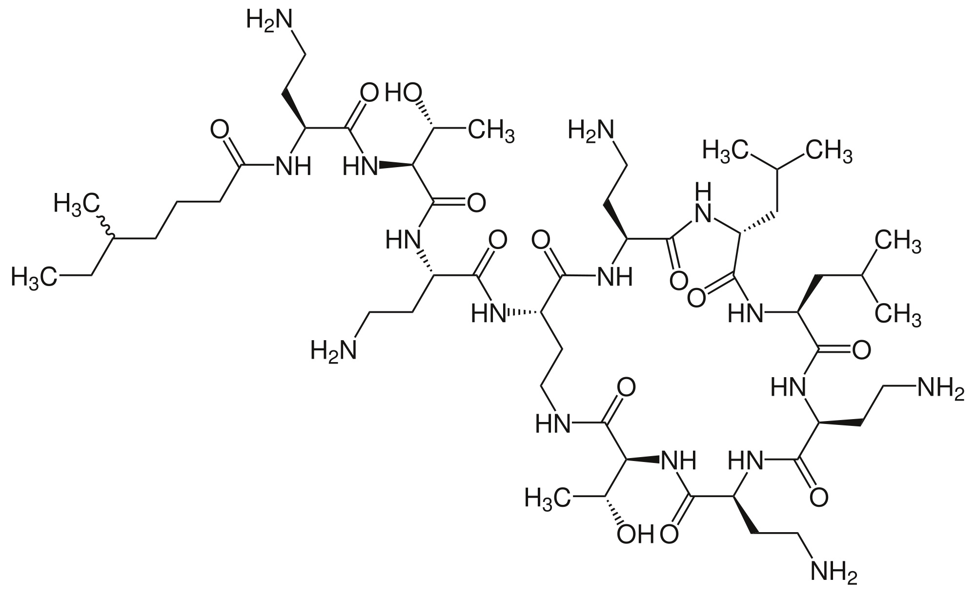
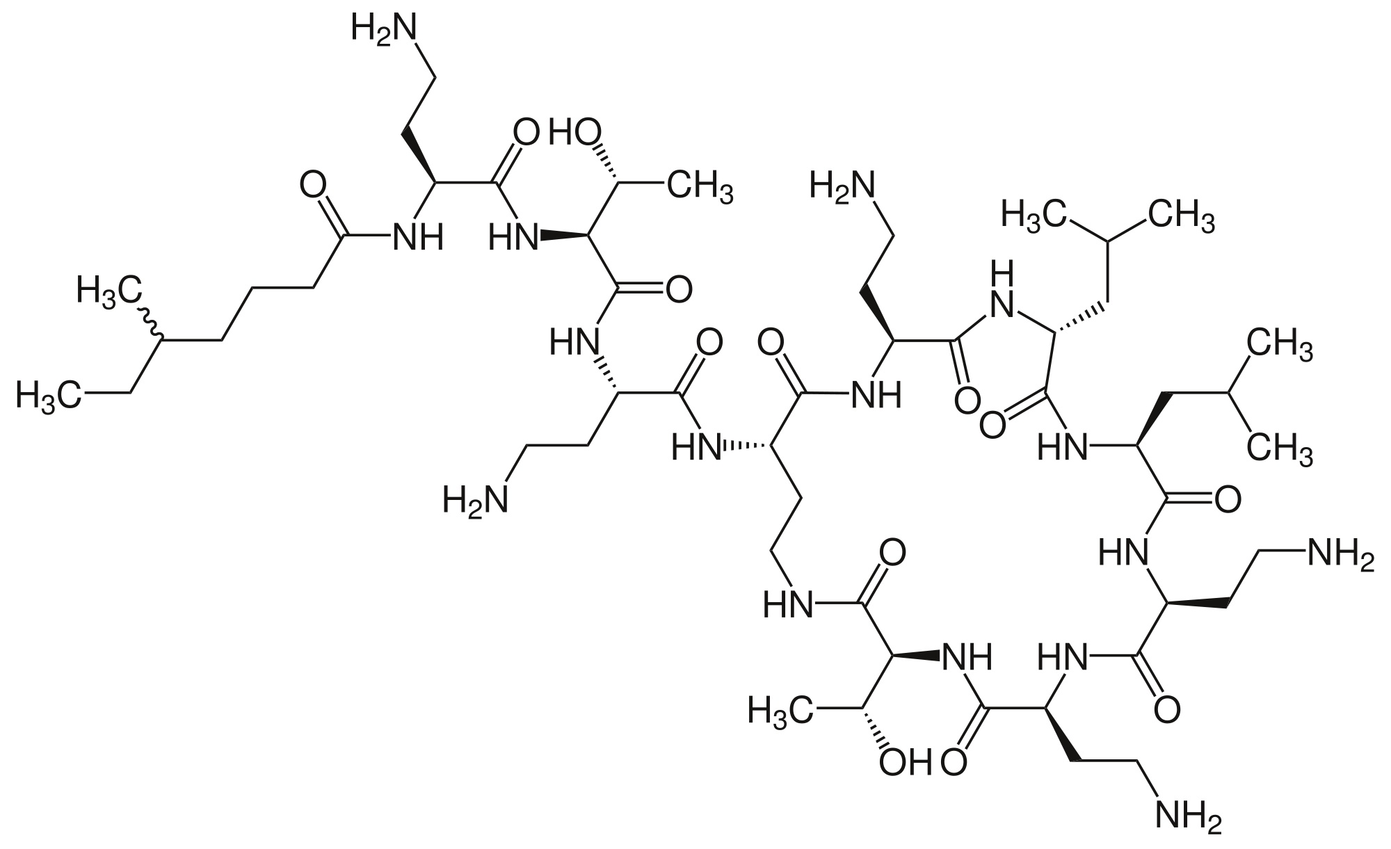
   Kjemisk struktur  

Handelsnavn   Handelsnavn     

Handelsnavn er veiledende og sammensetning av hjelpestoffer kan være forskjellig avhengig av land og produsent

Alficetin Argentina
Colimicina Italia
Colimycin Danmark, Norge, Tyrkia
Colimycine Frankrike, Luxembourg, Marokko, Nederland, Tunisia
Colismet Peru
Colistimethate Canada, Frankrike, Storbritannia, USA
Colistin Hellas, New Zealand, Polen, Tyskland, Østerrike
Colistina Argentina, Chile, Portugal
Colistineb Belgia
Colistyn Argentina
Colixin Slovenia
Colomycin Canada, Irland, Malaysia, Storbritannia, USA
Dicupal Chile
Elistin Peru
Kolisod Tyrkia
Nolisin
Promixin Irland, Norge, Storbritannia, Tyskland
Toliscrin Argentina
Oppløsningsstabilitet   Injeksjon   Oppløsningsstabilitet : Colistin mesilate sodium     
Beholder Oppløsningsmiddel Konsentrasjon Temperatur Oppbevaring Varighet av stabilitet Referanser
Glass Vann til injeksjon 200 mg/ml 25°C Beskyttes mot lys
7 Dag
2285
Bevisgrad D

Glass Vann til injeksjon 200 mg/ml 4°C Beskyttes mot lys
7 Dag
2285
Bevisgrad D

Glass Vann til injeksjon 75 mg/ml -20°C Beskyttes mot lys
24 Tid
3360
Bevisgrad B

Glass Vann til injeksjon 75 mg/ml 21°C Ikke angitt
24 Tid
3360
Bevisgrad B

Glass Vann til injeksjon 75 mg/ml 4°C Ikke angitt
24 Tid
3360
Bevisgrad B

Polyvinylklorid Natriumklorid 0,9 % 4 mg/ml 4°C Beskyttes mot lys
48 Tid
2285
Bevisgrad D

Polyvinylklorid Glukose 5 % 4 mg/ml 4°C Beskyttes mot lys
48 Tid
2285
Bevisgrad D

Polyolefin Natriumklorid 0,9 % 1,6 mg/ml 2-8°C Beskyttes mot lys
7 Dag
4178
Bevisgrad B

Polyolefin Natriumklorid 0,9 % 1,6 mg/ml 20-24°C Med eller uten lys
1 Dag
4178
Bevisgrad B

Polyisopren elastomer Natriumklorid 0,9 % 0,8 & 2,4 mg/ml 2-8°C Beskyttes mot lys
7 Dag
4178
Bevisgrad B

Polyisopren elastomer Natriumklorid 0,9 % 0,8 & 2,4 mg/ml 20-24°C Med eller uten lys
1 Dag
4178
Bevisgrad B

Silikon elastomer Natriumklorid 0,9 % 0,8 mg/ml 4°C Ikke angitt
3 Dag
2783
Bevisgrad A


  Mentions Légales