Останнє оновлення :
27/01/2026
Загальний наркоз   Amobarbital sodium  
ін'єкція
Стійкість в розчинах Стійкість сумішей Фактори, що впливають на стабільність Сумісність Шлях введення Список літератури pdf
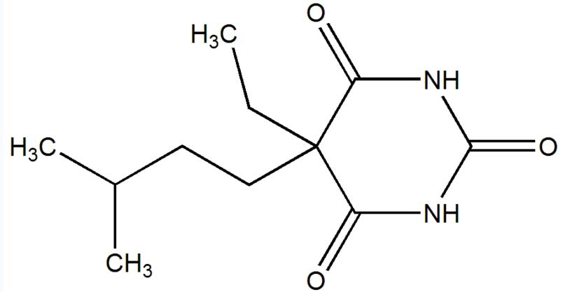
   Хімічна структура  

Торгова назва   Торгова назва     

Торгові назви є орієнтовними, а склад допоміжних речовин може бути різним залежно від країни та виробника

Amytal Sodium Сполучені Штати Америки
Сумісність   ін'єкція   Сумісність : Amobarbital sodium              

  Mentions Légales