Pēdējā atjaunošana :
27/01/2026
Vispārējās anestēzijas līdzeklis   Amobarbital sodium  
Injekcija
Šķīduma stabilitāte Maisījuma stabilitāte Stabilitāti ietekmējoši faktori Saderība Levadīšanas veids Literatūras saraksts pdf
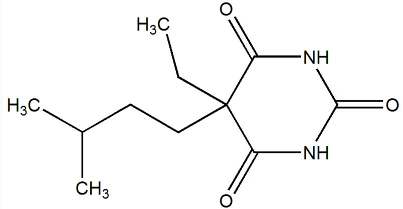
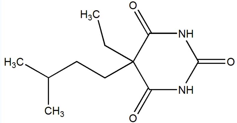
   Ķīmiskā uzbūve   

Oriģinālais nosaukums   Oriģinālais nosaukums     

Tirdzniecības nosaukumi ir apzīmējoši un palīgvielas var atšķirties dažādām valstīm un laboratorijām

Amytal Sodium Amerikas Savienotās Valstis
Saderība   Injekcija   Saderība : Amobarbital sodium              
Šī tabula parāda zāļu saderību vai nesaderību, pēc iespējas arī nesaderības tipu (precipitācija, krāsas maiņa, emulsijas sadalīšanās utt). Parādītas šeit saderības ir pārsvarā tikai fizikālās, pēc iespējas tiek parādīta ķīmiskā stabilitāte katrai molekulai. Šo maisījumu analīze tikai veikta, lai izprastu iespējamību ievadīt zāles Y-savienojuma vietā sistēmā pacientam. Šie dati nevar tikt izmantoti, lai pagatavot zāļu maisījumus vēlākai lietošanai maisos vai šļircēs. Šī informācija ir pieejama sadaļā "Maisījuma stabilitāte".
Savienojums Šķīdinātājs Literatūras saraksts

  Mentions Légales