fermer
viimane versioon :
16/12/2025
Infostab
ingredientide nimekiri
nimekiri
Sobivus otsing
Y-liini sobivuse tabel
Viited
uurimisrühmad
valistab
plakat
Sidemed
sponsorid
Autor
Kasutusjuhend
ajakiri
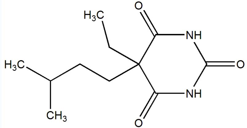
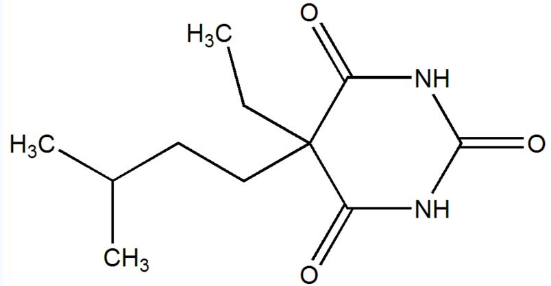
Amobarbital sodium
keemiline struktuur
Kaubanduslikud nimed erinevates maades
Preparaatide nimed on näitlikud ja abianete sisaldus võib erineda sõltuvalt riigist ja laborist
Amytal Sodium
Ameerika ühendriigid
Sobimatus : Amobarbital sodium
Sellel lehel kuvatakse sobimatusi ja sobimatuse tüüpi (sadenemine, värvuse muutus, emulsiooni modifitseerumine jne). Enamasti on siin lehel kuvatud füüsikalised sobimatused, kuna molekulide keemilist stabiilsust hinnatakse harva. Hinnatud on segude sobivust Y-liinis. Antud infot ei saa kasutada ravimite sobivuse hindamiseks juhul, kui ravimid on segatud süstaldes või infusioonikottides. See info on lehel « stabiilsus segudes ».
Amobarbital sodium
Atracurium besylate
3676
Amobarbital sodium
Clindamycin phosphate
3526
Amobarbital sodium
Diatrizoate meglumine
4377
Amobarbital sodium
Droperidol
4009
Amobarbital sodium
Erythromycin lactobionate
3674
Amobarbital sodium
Esketamine
4700
Amobarbital sodium
Morphine sulfate
3531
Amobarbital sodium
Norepinephrine bitartrate
642
Amobarbital sodium
Pethidine hydrochloride
3525
Amobarbital sodium
Suxamethonium chloride
3631
Amobarbital sodium
Vancomycin hydrochloride
3588
Mentions Légales