Siste oppdatering :
27/04/2026
Generell anestesi   Amobarbital sodium  
Injeksjon
Oppløsningsstabilitet Stabilitet i blandinger Faktorer som påvirker stabiliteten Kompatibilitet Administrasjonsmåte Referanser pdf
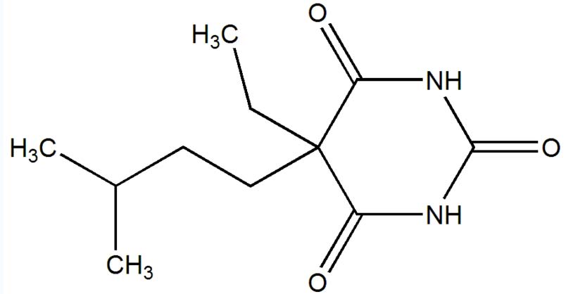
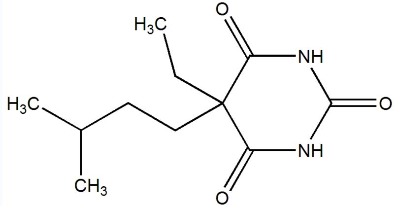
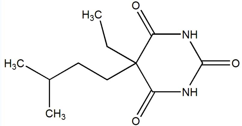
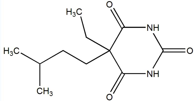
   Kjemisk struktur  

Handelsnavn   Handelsnavn     

Handelsnavn er veiledende og sammensetning av hjelpestoffer kan være forskjellig avhengig av land og produsent

Amytal Sodium USA
Kompatibilitet   Injeksjon   Kompatibilitet : Amobarbital sodium              
Dette skjermbildet viser kompatibilitet eller inkompatibilitet med, i dette tilfellet, typen inkompatibilitet (nedbør, fargeendring, modifisering av en emulsjon, etc.). Kompatibilitetene som er vist her, er for det meste bare fysiske, og den kjemiske stabiliteten til hvert molekyl blir sjelden vurdert. Evalueringen av disse blandingene ble studert for å vurdere muligheten for Y-stedadministrasjon til pasienten. Disse dataene kan ikke brukes til å lage blandinger på forhånd i poser eller sprøyter. Denne typen informasjon er tilgjengelig på skjermen "Stabilitet i blanding".
Legemiddel Oppløsningsmiddel Referanser

  Mentions Légales