Viimeisin päivitys :
31/03/2026
Yleisanesteetit   Amobarbital sodium  
Injektioneste
Stabilius liuoksessa Stabilius seoksissa Tekijät, jotka vaikuttavat stabiliuteen Yhteensopivuus Antotapa Viitteet pdf
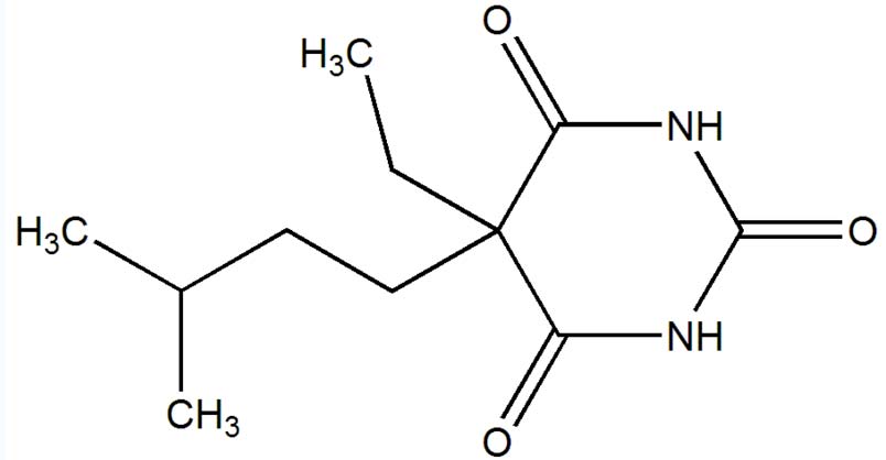
   Kemiallinen rakenne  

Kauppanimi   Kauppanimi     

Trade names are indicative and excipients composition can be different depending on the country and manufacturers

Amytal Sodium Yhdysvallat
Yhteensopivuus   Injektioneste   Yhteensopivuus : Amobarbital sodium              
Tämä näyttö osoittaa yhteensopivuuden tai yhteensopimattomuuden yhteensopimattomuuden tyypin kanssa (saostuminen, värinmuutos, emulsiomuutos jne.). Tässä esitetty yhteensopivuus on useimmissa tapauksissa vain fysikaalinen, ja kunkin molekyylin kemiallista stabiilisuutta arvioidaan harvoin. Näiden seosten arviointia tutkittiin mahdollisuuden antaa Y-kohta potilaalle. Näitä tietoja ei voida käyttää seosten valmistamiseen etukäteen pusseissa tai ruiskuissa. Tämäntyyppiset tiedot ovat saatavilla "Stabiilisuus seoksessa" -näytössä.
Yhdiste Liuotin Viitteet

  Mentions Légales