Poslední aktualizace :
31/03/2026
Bendrasis anestetikas   Amobarbital sodium  
Įpurškimas
Tirpalų stabilumas Mišinių stabilumas Stabilumą lemiantys veiksniai Suderinamumas Leidimo būdai Bibliografija pdf
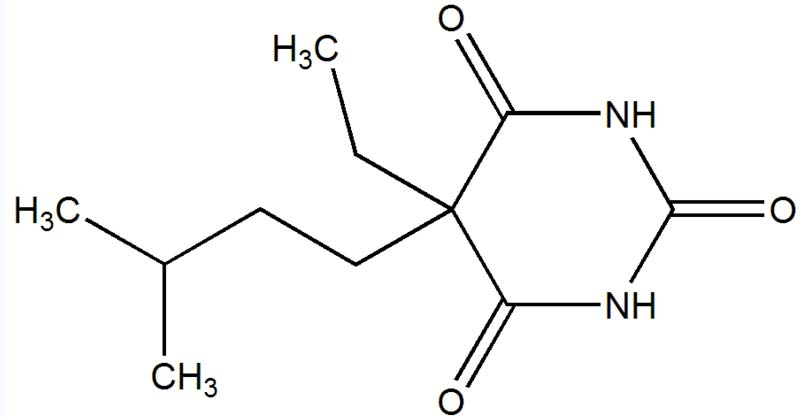
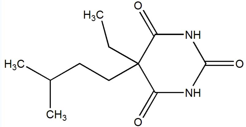
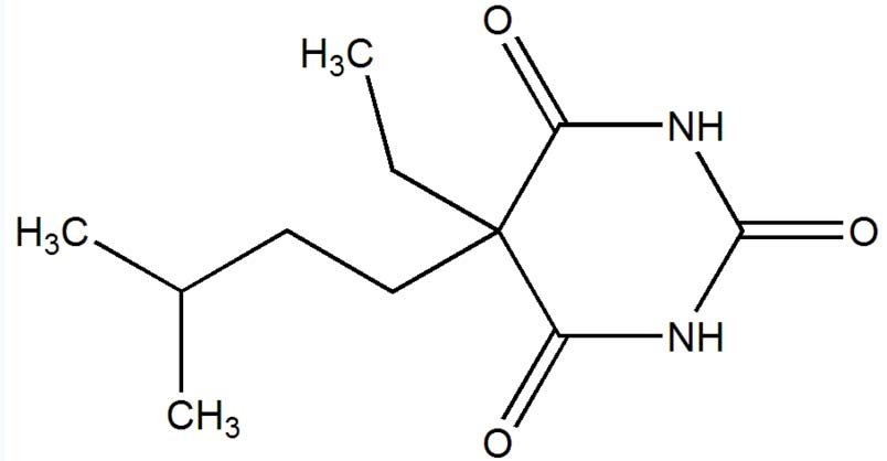
   Cheminė sandara  

Prekinis pavadinimas   Prekinis pavadinimas     

Trade names are indicative and excipients composition can be different depending on the country and manufacturers

Amytal Sodium Jungtinės Amerikos Valstijos
Suderinamumas   Įpurškimas   Suderinamumas : Amobarbital sodium              

  Mentions Légales