Última actualización :
27/01/2026
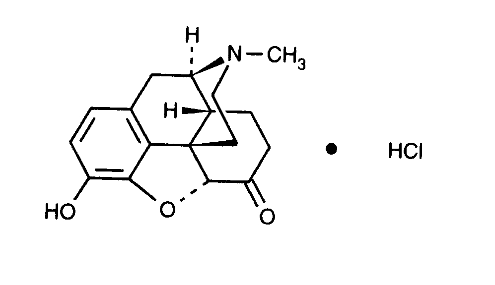
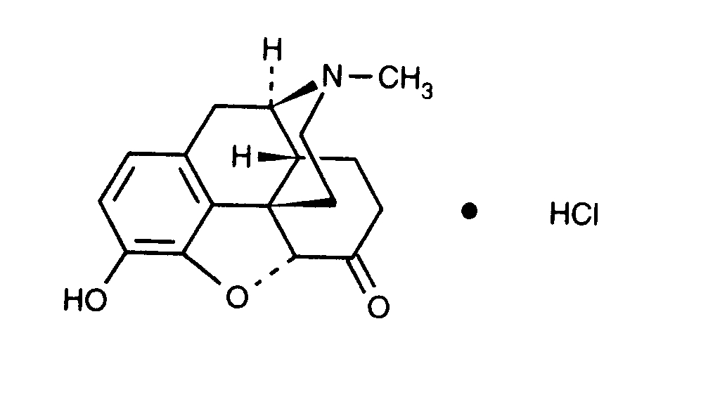
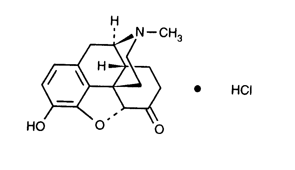
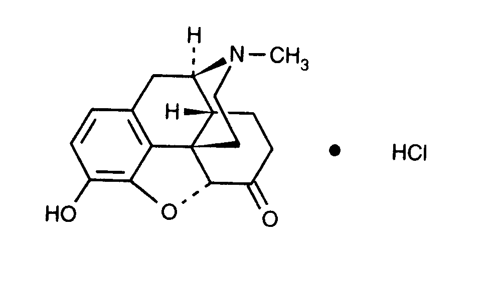
Antálgico   Hydromorphone hydrochloride  
Inyectables
Estabilidad en solucion Estabilidad en mezcla Factores que influyen sobre la estabilidad Compatibilidades método de inyección Bibliografía pdf
   Estructura química  

Nombre comercial   Nombre comercial     

Los nombres comerciales son orientativos y los excipientes de la formulación pueden ser distintos dependiendo del país y del laboratorio fabricante.

Dilaudid Canadá, Estados Unidos de América
Hydal Austria
Palladon Dinamarca, Suiza
Palladone Gran Bretaña
Estabilidad en solucion   Inyectables   Estabilidad en solucion : Hydromorphone hydrochloride     
Envase Solvente Concentración Temperatura Conservación Duración de la estabilidad Bibliografía
Vidrio No precisado 50 mg/ml 37°C A cubierto de la luz
90 Día
2305

Cloruro de polivinilo Cloruro de sodio 0,9% ? mg/ml 25°C No precisada
7 Día
5073
Datos de estabilidad del fabricante

Cloruro de polivinilo Cloruro de sodio 0,9% ? mg/ml 37°C No precisada
7 Día
5073
Datos de estabilidad del fabricante

Cloruro de polivinilo Cloruro de sodio 0,9% ? mg/ml 4°C No precisada
7 Día
5073
Datos de estabilidad del fabricante

Cloruro de polivinilo Cloruro de sodio 0,9% 0,2 & 10 mg/ml 23°C No precisada
90 Día
4230
Nivel de evidencia A

Cloruro de polivinilo Cloruro de sodio 0,9% 1 & 5 mg/ml 23°C No precisada
42 Día
120
Nivel de evidencia C

Cloruro de polivinilo Cloruro de sodio 0,9% 1 & 5 mg/ml 4°C A cubierto de la luz
42 Día
120
Nivel de evidencia C

Cloruro de polivinilo Cloruro de sodio 0,9% 20 mg/ml 22°C No precisada
7 Día
4664
Nivel de evidencia D

Cloruro de polivinilo Cloruro de sodio 0,9% 20 mg/ml 37°C No precisada
7 Día
4664
Nivel de evidencia D

Cloruro de polivinilo Glucosa 5% ? mg/ml 25°C No precisada
7 Día
5073
Datos de estabilidad del fabricante

Cloruro de polivinilo Glucosa 5% ? mg/ml 37°C No precisada
7 Día
5073
Datos de estabilidad del fabricante

Cloruro de polivinilo Glucosa 5% ? mg/ml 4°C No precisada
7 Día
5073
Datos de estabilidad del fabricante

Cloruro de polivinilo Glucosa 5% 1 & 5 mg/ml 23°C No precisada
42 Día
120
Nivel de evidencia C

Cloruro de polivinilo Glucosa 5% 1 & 5 mg/ml 4°C A cubierto de la luz
42 Día
120
Nivel de evidencia C

Polietileno Cloruro de sodio 0,9% ? mg/ml 25°C No precisada
7 Día
5073
Datos de estabilidad del fabricante

Polietileno Cloruro de sodio 0,9% ? mg/ml 37°C No precisada
7 Día
5073
Datos de estabilidad del fabricante

Polietileno Cloruro de sodio 0,9% ? mg/ml 4°C No precisada
7 Día
5073
Datos de estabilidad del fabricante

Polietileno Glucosa 5% ? mg/ml 25°C No precisada
7 Día
5073
Datos de estabilidad del fabricante

Polietileno Glucosa 5% ? mg/ml 37°C No precisada
7 Día
5073
Datos de estabilidad del fabricante

Polietileno Glucosa 5% ? mg/ml 4°C No precisada
7 Día
5073
Datos de estabilidad del fabricante

Poliolefina Cloruro de sodio 0,9% 0,2 & 10 mg/ml 23°C No precisada
90 Día
4230
Nivel de evidencia A

Etilén-vinil-acetato Cloruro de sodio 0,9% ? mg/ml 25°C No precisada
7 Día
5073
Datos de estabilidad del fabricante

Etilén-vinil-acetato Cloruro de sodio 0,9% ? mg/ml 37°C No precisada
7 Día
5073
Datos de estabilidad del fabricante

Etilén-vinil-acetato Cloruro de sodio 0,9% ? mg/ml 4°C No precisada
7 Día
5073
Datos de estabilidad del fabricante

Etilén-vinil-acetato Glucosa 5% ? mg/ml 25°C No precisada
7 Día
5073
Datos de estabilidad del fabricante

Etilén-vinil-acetato Glucosa 5% ? mg/ml 37°C No precisada
7 Día
5073
Datos de estabilidad del fabricante

Etilén-vinil-acetato Glucosa 5% ? mg/ml 4°C No precisada
7 Día
5073
Datos de estabilidad del fabricante

jeringa polipropileno Cloruro de sodio 0,9% ? mg/ml 25°C No precisada
7 Día
5073
Datos de estabilidad del fabricante

jeringa polipropileno Cloruro de sodio 0,9% ? mg/ml 37°C No precisada
7 Día
5073
Datos de estabilidad del fabricante

jeringa polipropileno Cloruro de sodio 0,9% ? mg/ml 4°C No precisada
7 Día
5073
Datos de estabilidad del fabricante

jeringa polipropileno Cloruro de sodio 0,9% 0,1 mg/ml 25°C No precisada
100 Día
4303
Nivel de evidencia A

jeringa polipropileno Cloruro de sodio 0,9% 0,1 mg/ml 30°C No precisada
30 Día
5
Nivel de evidencia B

jeringa polipropileno Cloruro de sodio 0,9% 1,5 & 80 mg/ml 23°C Luz
60 Día
1706
Nivel de evidencia A+

jeringa polipropileno Cloruro de sodio 0,9% 1,5 & 80 mg/ml 37°C A cubierto de la luz
48 Hora
1706
Nivel de evidencia A+

jeringa polipropileno Cloruro de sodio 0,9% 1,5 & 80 mg/ml 4°C A cubierto de la luz
60 Día
1706
Nivel de evidencia A+

jeringa polipropileno Glucosa 5% ? mg/ml 25°C No precisada
7 Día
5073
Datos de estabilidad del fabricante

jeringa polipropileno Glucosa 5% ? mg/ml 37°C No precisada
7 Día
5073
Datos de estabilidad del fabricante

jeringa polipropileno Glucosa 5% ? mg/ml 4°C No precisada
7 Día
5073
Datos de estabilidad del fabricante

jeringa polipropileno Ninguno 10 mg/ml 30°C No precisada
30 Día
5
Nivel de evidencia B

No precisado Cloruro de sodio 0,9% 0,2 mg/ml 20°C Con o sin luz
112 Día
2659
Nivel de evidencia A

No precisado Cloruro de sodio 0,9% 0,2 mg/ml 35°C A cubierto de la luz
112 Día
2659
Nivel de evidencia A

No precisado Cloruro de sodio 0,9% 0,2 mg/ml 5°C A cubierto de la luz
112 Día
2659
Nivel de evidencia A

No precisado Ninguno 10 mg/ml 37°C A cubierto de la luz
120 Día
1867
Nivel de evidencia D


  Mentions Légales