Zadnji put ažurirano :
27/01/2026
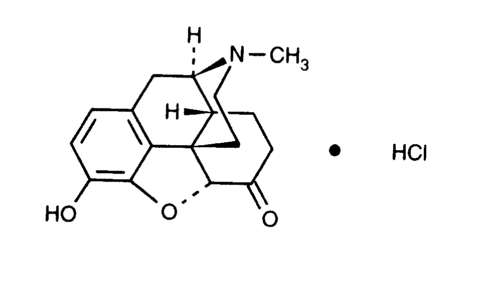
analgetik   Hydromorphone hydrochloride  
injekcija
Stabilizacija rješenja Stabilnost mješavine Stabilizacijski faktor Kompatibilnosti način davanja lijeka Bibliografija pdf
   Kemijska struktura  

Nekomercijalni   Nekomercijalni     

Zaštićeni nazivi su indikativni i sastav ekscipijensa može biti različit ovisno o državi i laboratorijima

Dilaudid Kanada, S A D
Hydal Austrija
Palladon Danska, Švicarska
Palladone Velika Britanija
Stabilizacija rješenja   injekcija   Stabilizacija rješenja : Hydromorphone hydrochloride     
Kontejner sredstvo za rastapanje koncentracija temperatura Konzerviranje Trajanje stabilnosti Bibliografija
čaša nespecifičan 50 mg/ml 37°C Zaštićeno od svjetlosti
90 dan
2305

polivinilklorid natrijumkorid 0,9% ? mg/ml 25°C nespecifičan
7 dan
5073
Podaci proizvođača o stabilnosti

polivinilklorid natrijumkorid 0,9% ? mg/ml 37°C nespecifičan
7 dan
5073
Podaci proizvođača o stabilnosti

polivinilklorid natrijumkorid 0,9% ? mg/ml 4°C nespecifičan
7 dan
5073
Podaci proizvođača o stabilnosti

polivinilklorid natrijumkorid 0,9% 0,2 & 10 mg/ml 23°C nespecifičan
90 dan
4230
Razina dokaza A

polivinilklorid natrijumkorid 0,9% 1 & 5 mg/ml 23°C nespecifičan
42 dan
120
Razina dokaza C

polivinilklorid natrijumkorid 0,9% 1 & 5 mg/ml 4°C Zaštićeno od svjetlosti
42 dan
120
Razina dokaza C

polivinilklorid natrijumkorid 0,9% 20 mg/ml 22°C nespecifičan
7 dan
4664
Razina dokaza D

polivinilklorid natrijumkorid 0,9% 20 mg/ml 37°C nespecifičan
7 dan
4664
Razina dokaza D

polivinilklorid glukoza 5% ? mg/ml 25°C nespecifičan
7 dan
5073
Podaci proizvođača o stabilnosti

polivinilklorid glukoza 5% ? mg/ml 37°C nespecifičan
7 dan
5073
Podaci proizvođača o stabilnosti

polivinilklorid glukoza 5% ? mg/ml 4°C nespecifičan
7 dan
5073
Podaci proizvođača o stabilnosti

polivinilklorid glukoza 5% 1 & 5 mg/ml 23°C nespecifičan
42 dan
120
Razina dokaza C

polivinilklorid glukoza 5% 1 & 5 mg/ml 4°C Zaštićeno od svjetlosti
42 dan
120
Razina dokaza C

polietilen natrijumkorid 0,9% ? mg/ml 25°C nespecifičan
7 dan
5073
Podaci proizvođača o stabilnosti

polietilen natrijumkorid 0,9% ? mg/ml 37°C nespecifičan
7 dan
5073
Podaci proizvođača o stabilnosti

polietilen natrijumkorid 0,9% ? mg/ml 4°C nespecifičan
7 dan
5073
Podaci proizvođača o stabilnosti

polietilen glukoza 5% ? mg/ml 25°C nespecifičan
7 dan
5073
Podaci proizvođača o stabilnosti

polietilen glukoza 5% ? mg/ml 37°C nespecifičan
7 dan
5073
Podaci proizvođača o stabilnosti

polietilen glukoza 5% ? mg/ml 4°C nespecifičan
7 dan
5073
Podaci proizvođača o stabilnosti

poliolefin natrijumkorid 0,9% 0,2 & 10 mg/ml 23°C nespecifičan
90 dan
4230
Razina dokaza A

etilvinilacetat natrijumkorid 0,9% ? mg/ml 25°C nespecifičan
7 dan
5073
Podaci proizvođača o stabilnosti

etilvinilacetat natrijumkorid 0,9% ? mg/ml 37°C nespecifičan
7 dan
5073
Podaci proizvođača o stabilnosti

etilvinilacetat natrijumkorid 0,9% ? mg/ml 4°C nespecifičan
7 dan
5073
Podaci proizvođača o stabilnosti

etilvinilacetat glukoza 5% ? mg/ml 25°C nespecifičan
7 dan
5073
Podaci proizvođača o stabilnosti

etilvinilacetat glukoza 5% ? mg/ml 37°C nespecifičan
7 dan
5073
Podaci proizvođača o stabilnosti

etilvinilacetat glukoza 5% ? mg/ml 4°C nespecifičan
7 dan
5073
Podaci proizvođača o stabilnosti

špric polipropilen natrijumkorid 0,9% ? mg/ml 25°C nespecifičan
7 dan
5073
Podaci proizvođača o stabilnosti

špric polipropilen natrijumkorid 0,9% ? mg/ml 37°C nespecifičan
7 dan
5073
Podaci proizvođača o stabilnosti

špric polipropilen natrijumkorid 0,9% ? mg/ml 4°C nespecifičan
7 dan
5073
Podaci proizvođača o stabilnosti

špric polipropilen natrijumkorid 0,9% 0,1 mg/ml 25°C nespecifičan
100 dan
4303
Razina dokaza A

špric polipropilen natrijumkorid 0,9% 0,1 mg/ml 30°C nespecifičan
30 dan
5
Razina dokaza B

špric polipropilen natrijumkorid 0,9% 1,5 & 80 mg/ml 23°C svjetlost
60 dan
1706
Razina dokaza A+

špric polipropilen natrijumkorid 0,9% 1,5 & 80 mg/ml 37°C Zaštićeno od svjetlosti
48 sat
1706
Razina dokaza A+

špric polipropilen natrijumkorid 0,9% 1,5 & 80 mg/ml 4°C Zaštićeno od svjetlosti
60 dan
1706
Razina dokaza A+

špric polipropilen glukoza 5% ? mg/ml 25°C nespecifičan
7 dan
5073
Podaci proizvođača o stabilnosti

špric polipropilen glukoza 5% ? mg/ml 37°C nespecifičan
7 dan
5073
Podaci proizvođača o stabilnosti

špric polipropilen glukoza 5% ? mg/ml 4°C nespecifičan
7 dan
5073
Podaci proizvođača o stabilnosti

špric polipropilen nijedan 10 mg/ml 30°C nespecifičan
30 dan
5
Razina dokaza B

nespecifičan natrijumkorid 0,9% 0,2 mg/ml 20°C Sa i bez svjetlosti
112 dan
2659
Razina dokaza A

nespecifičan natrijumkorid 0,9% 0,2 mg/ml 35°C Zaštićeno od svjetlosti
112 dan
2659
Razina dokaza A

nespecifičan natrijumkorid 0,9% 0,2 mg/ml 5°C Zaštićeno od svjetlosti
112 dan
2659
Razina dokaza A

nespecifičan nijedan 10 mg/ml 37°C Zaštićeno od svjetlosti
120 dan
1867
Razina dokaza D


  Mentions Légales