Dernière mise à jour :
27/04/2026
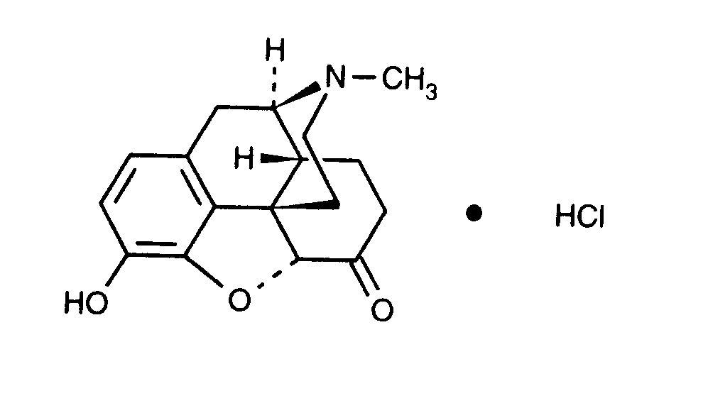
Antalgique   Hydromorphone hydrochloride  
injectable
Stabilité des solutions Stabilité en mélange Facteur influençant la stabilité Compatibilités Voie d’administration Bibliographie pdf
   Structure chimique  

Noms commerciaux   Noms commerciaux     

Les noms commerciaux sont donnés à titre indicatif et la composition en excipients peut être différente selon les pays et selon les laboratoires

Dilaudid Canada, Etats Unis d’Amérique
Hydal Autriche
Palladon Danemark, Suisse
Palladone Grande Bretagne
Stabilité des solutions   injectable   Stabilité des solutions : Hydromorphone hydrochloride     
Contenant Solvant Concentration Température Conservation Durée de stabilité Bibliographie
Verre non précisé 50 mg/ml 37°C A l’abri de la lumière
90 Jour
2305

Polyvinyl chlorure Chlorure de sodium 0,9% ? mg/ml 25°C Non précisée
7 Jour
5073
Données de stabilité du fabricant

Polyvinyl chlorure Chlorure de sodium 0,9% ? mg/ml 37°C Non précisée
7 Jour
5073
Données de stabilité du fabricant

Polyvinyl chlorure Chlorure de sodium 0,9% ? mg/ml 4°C Non précisée
7 Jour
5073
Données de stabilité du fabricant

Polyvinyl chlorure Chlorure de sodium 0,9% 0,2 & 10 mg/ml 23°C Non précisée
90 Jour
4230
Niveau de preuve A

Polyvinyl chlorure Chlorure de sodium 0,9% 1 & 5 mg/ml 23°C Non précisée
42 Jour
120
Niveau de preuve C

Polyvinyl chlorure Chlorure de sodium 0,9% 1 & 5 mg/ml 4°C A l’abri de la lumière
42 Jour
120
Niveau de preuve C

Polyvinyl chlorure Chlorure de sodium 0,9% 20 mg/ml 22°C Non précisée
7 Jour
4664
Niveau de preuve D

Polyvinyl chlorure Chlorure de sodium 0,9% 20 mg/ml 37°C Non précisée
7 Jour
4664
Niveau de preuve D

Polyvinyl chlorure Glucose 5% ? mg/ml 25°C Non précisée
7 Jour
5073
Données de stabilité du fabricant

Polyvinyl chlorure Glucose 5% ? mg/ml 37°C Non précisée
7 Jour
5073
Données de stabilité du fabricant

Polyvinyl chlorure Glucose 5% ? mg/ml 4°C Non précisée
7 Jour
5073
Données de stabilité du fabricant

Polyvinyl chlorure Glucose 5% 1 & 5 mg/ml 23°C Non précisée
42 Jour
120
Niveau de preuve C

Polyvinyl chlorure Glucose 5% 1 & 5 mg/ml 4°C A l’abri de la lumière
42 Jour
120
Niveau de preuve C

Polyéthylène Chlorure de sodium 0,9% ? mg/ml 25°C Non précisée
7 Jour
5073
Données de stabilité du fabricant

Polyéthylène Chlorure de sodium 0,9% ? mg/ml 37°C Non précisée
7 Jour
5073
Données de stabilité du fabricant

Polyéthylène Chlorure de sodium 0,9% ? mg/ml 4°C Non précisée
7 Jour
5073
Données de stabilité du fabricant

Polyéthylène Glucose 5% ? mg/ml 25°C Non précisée
7 Jour
5073
Données de stabilité du fabricant

Polyéthylène Glucose 5% ? mg/ml 37°C Non précisée
7 Jour
5073
Données de stabilité du fabricant

Polyéthylène Glucose 5% ? mg/ml 4°C Non précisée
7 Jour
5073
Données de stabilité du fabricant

Polyolefine Chlorure de sodium 0,9% 0,2 & 10 mg/ml 23°C Non précisée
90 Jour
4230
Niveau de preuve A

Ethylène vinyl acétate Chlorure de sodium 0,9% ? mg/ml 25°C Non précisée
7 Jour
5073
Données de stabilité du fabricant

Ethylène vinyl acétate Chlorure de sodium 0,9% ? mg/ml 37°C Non précisée
7 Jour
5073
Données de stabilité du fabricant

Ethylène vinyl acétate Chlorure de sodium 0,9% ? mg/ml 4°C Non précisée
7 Jour
5073
Données de stabilité du fabricant

Ethylène vinyl acétate Glucose 5% ? mg/ml 25°C Non précisée
7 Jour
5073
Données de stabilité du fabricant

Ethylène vinyl acétate Glucose 5% ? mg/ml 37°C Non précisée
7 Jour
5073
Données de stabilité du fabricant

Ethylène vinyl acétate Glucose 5% ? mg/ml 4°C Non précisée
7 Jour
5073
Données de stabilité du fabricant

Seringue polypropylène Chlorure de sodium 0,9% ? mg/ml 25°C Non précisée
7 Jour
5073
Données de stabilité du fabricant

Seringue polypropylène Chlorure de sodium 0,9% ? mg/ml 37°C Non précisée
7 Jour
5073
Données de stabilité du fabricant

Seringue polypropylène Chlorure de sodium 0,9% ? mg/ml 4°C Non précisée
7 Jour
5073
Données de stabilité du fabricant

Seringue polypropylène Chlorure de sodium 0,9% 0,1 mg/ml 25°C Non précisée
100 Jour
4303
Niveau de preuve A

Seringue polypropylène Chlorure de sodium 0,9% 0,1 mg/ml 30°C Non précisée
30 Jour
5
Niveau de preuve B

Seringue polypropylène Chlorure de sodium 0,9% 1,5 & 80 mg/ml 23°C Lumière
60 Jour
1706
Niveau de preuve A +

Seringue polypropylène Chlorure de sodium 0,9% 1,5 & 80 mg/ml 37°C A l’abri de la lumière
48 Heure
1706
Niveau de preuve A +

Seringue polypropylène Chlorure de sodium 0,9% 1,5 & 80 mg/ml 4°C A l’abri de la lumière
60 Jour
1706
Niveau de preuve A +

Seringue polypropylène Glucose 5% ? mg/ml 25°C Non précisée
7 Jour
5073
Données de stabilité du fabricant

Seringue polypropylène Glucose 5% ? mg/ml 37°C Non précisée
7 Jour
5073
Données de stabilité du fabricant

Seringue polypropylène Glucose 5% ? mg/ml 4°C Non précisée
7 Jour
5073
Données de stabilité du fabricant

Seringue polypropylène Aucun 10 mg/ml 30°C Non précisée
30 Jour
5
Niveau de preuve B

Non précisé Chlorure de sodium 0,9% 0,2 mg/ml 20°C Avec ou sans lumière
112 Jour
2659
Niveau de preuve A

Non précisé Chlorure de sodium 0,9% 0,2 mg/ml 35°C A l’abri de la lumière
112 Jour
2659
Niveau de preuve A

Non précisé Chlorure de sodium 0,9% 0,2 mg/ml 5°C A l’abri de la lumière
112 Jour
2659
Niveau de preuve A

Non précisé Aucun 10 mg/ml 37°C A l’abri de la lumière
120 Jour
1867
Niveau de preuve D


  Mentions Légales