Pēdējā atjaunošana :
27/04/2026
Analgētiķis   Hydromorphone hydrochloride  
Injekcija
Šķīduma stabilitāte Maisījuma stabilitāte Stabilitāti ietekmējoši faktori Saderība Levadīšanas veids Literatūras saraksts pdf
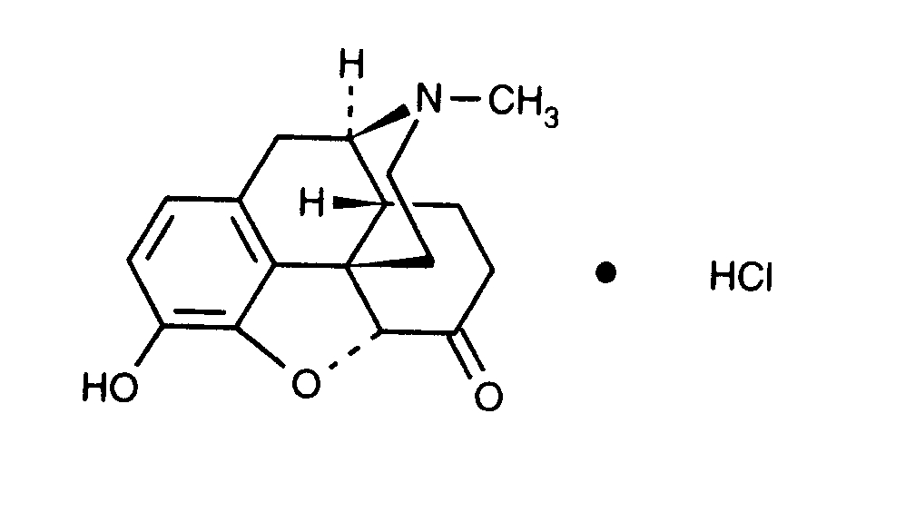
   Ķīmiskā uzbūve   

Oriģinālais nosaukums   Oriģinālais nosaukums     

Tirdzniecības nosaukumi ir apzīmējoši un palīgvielas var atšķirties dažādām valstīm un laboratorijām

Dilaudid Amerikas Savienotās Valstis, Kanāda
Hydal Austrija
Palladon Dānija, Šveice
Palladone Lielbritānija
Šķīduma stabilitāte   Injekcija   Šķīduma stabilitāte : Hydromorphone hydrochloride     
Iepakojums Šķīdinātājs Koncentrācija Temperatūra Glabāšana Stabilitātes ilgums Literatūras saraksts
Stikls Bez 50 mg/ml 37°C Aizsargāt no gaismas
90 Diena
2305

Polivinilhlorīds Nātrija hlorīds 0.9% ? mg/ml 25°C Nav specifisks
7 Diena
5073
Ražotāja stabilitātes dati

Polivinilhlorīds Nātrija hlorīds 0.9% ? mg/ml 37°C Nav specifisks
7 Diena
5073
Ražotāja stabilitātes dati

Polivinilhlorīds Nātrija hlorīds 0.9% ? mg/ml 4°C Nav specifisks
7 Diena
5073
Ražotāja stabilitātes dati

Polivinilhlorīds Nātrija hlorīds 0.9% 0,2 & 10 mg/ml 23°C Nav specifisks
90 Diena
4230
Pierādījumu līmenis A

Polivinilhlorīds Nātrija hlorīds 0.9% 1 & 5 mg/ml 23°C Nav specifisks
42 Diena
120
Pierādījumu līmenis C

Polivinilhlorīds Nātrija hlorīds 0.9% 1 & 5 mg/ml 4°C Aizsargāt no gaismas
42 Diena
120
Pierādījumu līmenis C

Polivinilhlorīds Nātrija hlorīds 0.9% 20 mg/ml 22°C Nav specifisks
7 Diena
4664
Pierādījumu līmenis D

Polivinilhlorīds Nātrija hlorīds 0.9% 20 mg/ml 37°C Nav specifisks
7 Diena
4664
Pierādījumu līmenis D

Polivinilhlorīds 5% glikoze ? mg/ml 25°C Nav specifisks
7 Diena
5073
Ražotāja stabilitātes dati

Polivinilhlorīds 5% glikoze ? mg/ml 37°C Nav specifisks
7 Diena
5073
Ražotāja stabilitātes dati

Polivinilhlorīds 5% glikoze ? mg/ml 4°C Nav specifisks
7 Diena
5073
Ražotāja stabilitātes dati

Polivinilhlorīds 5% glikoze 1 & 5 mg/ml 23°C Nav specifisks
42 Diena
120
Pierādījumu līmenis C

Polivinilhlorīds 5% glikoze 1 & 5 mg/ml 4°C Aizsargāt no gaismas
42 Diena
120
Pierādījumu līmenis C

Polietilēns Nātrija hlorīds 0.9% ? mg/ml 25°C Nav specifisks
7 Diena
5073
Ražotāja stabilitātes dati

Polietilēns Nātrija hlorīds 0.9% ? mg/ml 37°C Nav specifisks
7 Diena
5073
Ražotāja stabilitātes dati

Polietilēns Nātrija hlorīds 0.9% ? mg/ml 4°C Nav specifisks
7 Diena
5073
Ražotāja stabilitātes dati

Polietilēns 5% glikoze ? mg/ml 25°C Nav specifisks
7 Diena
5073
Ražotāja stabilitātes dati

Polietilēns 5% glikoze ? mg/ml 37°C Nav specifisks
7 Diena
5073
Ražotāja stabilitātes dati

Polietilēns 5% glikoze ? mg/ml 4°C Nav specifisks
7 Diena
5073
Ražotāja stabilitātes dati

Poliolefīns Nātrija hlorīds 0.9% 0,2 & 10 mg/ml 23°C Nav specifisks
90 Diena
4230
Pierādījumu līmenis A

Etilvinilacetāts Nātrija hlorīds 0.9% ? mg/ml 25°C Nav specifisks
7 Diena
5073
Ražotāja stabilitātes dati

Etilvinilacetāts Nātrija hlorīds 0.9% ? mg/ml 37°C Nav specifisks
7 Diena
5073
Ražotāja stabilitātes dati

Etilvinilacetāts Nātrija hlorīds 0.9% ? mg/ml 4°C Nav specifisks
7 Diena
5073
Ražotāja stabilitātes dati

Etilvinilacetāts 5% glikoze ? mg/ml 25°C Nav specifisks
7 Diena
5073
Ražotāja stabilitātes dati

Etilvinilacetāts 5% glikoze ? mg/ml 37°C Nav specifisks
7 Diena
5073
Ražotāja stabilitātes dati

Etilvinilacetāts 5% glikoze ? mg/ml 4°C Nav specifisks
7 Diena
5073
Ražotāja stabilitātes dati

Šļirce polipropilēna Nātrija hlorīds 0.9% ? mg/ml 25°C Nav specifisks
7 Diena
5073
Ražotāja stabilitātes dati

Šļirce polipropilēna Nātrija hlorīds 0.9% ? mg/ml 37°C Nav specifisks
7 Diena
5073
Ražotāja stabilitātes dati

Šļirce polipropilēna Nātrija hlorīds 0.9% ? mg/ml 4°C Nav specifisks
7 Diena
5073
Ražotāja stabilitātes dati

Šļirce polipropilēna Nātrija hlorīds 0.9% 0,1 mg/ml 25°C Nav specifisks
100 Diena
4303
Pierādījumu līmenis A

Šļirce polipropilēna Nātrija hlorīds 0.9% 0,1 mg/ml 30°C Nav specifisks
30 Diena
5
Pierādījumu līmenis B

Šļirce polipropilēna Nātrija hlorīds 0.9% 1,5 & 80 mg/ml 23°C Gaisma
60 Diena
1706
Pierādījumu līmenis A+

Šļirce polipropilēna Nātrija hlorīds 0.9% 1,5 & 80 mg/ml 37°C Aizsargāt no gaismas
48 Stunda
1706
Pierādījumu līmenis A+

Šļirce polipropilēna Nātrija hlorīds 0.9% 1,5 & 80 mg/ml 4°C Aizsargāt no gaismas
60 Diena
1706
Pierādījumu līmenis A+

Šļirce polipropilēna 5% glikoze ? mg/ml 25°C Nav specifisks
7 Diena
5073
Ražotāja stabilitātes dati

Šļirce polipropilēna 5% glikoze ? mg/ml 37°C Nav specifisks
7 Diena
5073
Ražotāja stabilitātes dati

Šļirce polipropilēna 5% glikoze ? mg/ml 4°C Nav specifisks
7 Diena
5073
Ražotāja stabilitātes dati

Šļirce polipropilēna Nekāds 10 mg/ml 30°C Nav specifisks
30 Diena
5
Pierādījumu līmenis B

Nespecifisks Nātrija hlorīds 0.9% 0,2 mg/ml 20°C Ar vai bez gaismas
112 Diena
2659
Pierādījumu līmenis A

Nespecifisks Nātrija hlorīds 0.9% 0,2 mg/ml 35°C Aizsargāt no gaismas
112 Diena
2659
Pierādījumu līmenis A

Nespecifisks Nātrija hlorīds 0.9% 0,2 mg/ml 5°C Aizsargāt no gaismas
112 Diena
2659
Pierādījumu līmenis A

Nespecifisks Nekāds 10 mg/ml 37°C Aizsargāt no gaismas
120 Diena
1867
Pierādījumu līmenis D


  Mentions Légales