Utolsó frissítés :
27/01/2026
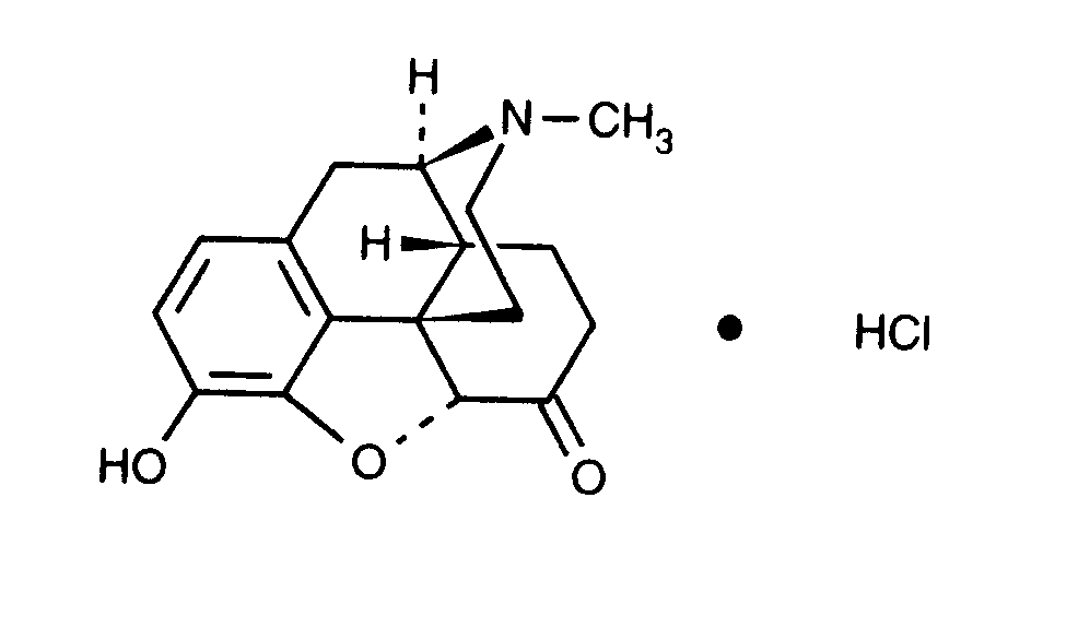
Fájdalomcsillapító   Hydromorphone hydrochloride  
Injekció
Az oldatok stabilitása A keverékek stabilitása Stabilitást befolyásoló tényezők Kompatibilitás Az alkalmazás módja Irodalom pdf
   Kémiai szerkezet   

Kereskedelmi név   Kereskedelmi név     

A kereskedelmi név meghatározó jelentőségű: a készítmények összetétele országonként, előállítóként eltérő lehet

Dilaudid Amerikai Egyesült Államok, Kanada
Hydal Ausztria
Palladon Dánia, Svájc
Palladone Nagy-Britannia
Az oldatok stabilitása   Injekció   Az oldatok stabilitása : Hydromorphone hydrochloride     
Csomagolás Oldószer Koncentráció Hőmérséklet Tárolás A stabilitás időtartama Irodalom
Üveg Nincs meghatározva 50 mg/ml 37°C Fénytől védve tartandó
90 Nap
2305

Poli(vinilklorid) 0,9% nátrium-klorid ? mg/ml 25°C Nincs meghatározva
7 Nap
5073
Gyártó stabilitási adatokra

Poli(vinilklorid) 0,9% nátrium-klorid ? mg/ml 37°C Nincs meghatározva
7 Nap
5073
Gyártó stabilitási adatokra

Poli(vinilklorid) 0,9% nátrium-klorid ? mg/ml 4°C Nincs meghatározva
7 Nap
5073
Gyártó stabilitási adatokra

Poli(vinilklorid) 0,9% nátrium-klorid 0,2 & 10 mg/ml 23°C Nincs meghatározva
90 Nap
4230
Szintű bizonyítékot A

Poli(vinilklorid) 0,9% nátrium-klorid 1 & 5 mg/ml 23°C Nincs meghatározva
42 Nap
120
Szintű bizonyítékot C

Poli(vinilklorid) 0,9% nátrium-klorid 1 & 5 mg/ml 4°C Fénytől védve tartandó
42 Nap
120
Szintű bizonyítékot C

Poli(vinilklorid) 0,9% nátrium-klorid 20 mg/ml 22°C Nincs meghatározva
7 Nap
4664
Szintű bizonyítékot D

Poli(vinilklorid) 0,9% nátrium-klorid 20 mg/ml 37°C Nincs meghatározva
7 Nap
4664
Szintű bizonyítékot D

Poli(vinilklorid) 5% glükóz ? mg/ml 25°C Nincs meghatározva
7 Nap
5073
Gyártó stabilitási adatokra

Poli(vinilklorid) 5% glükóz ? mg/ml 37°C Nincs meghatározva
7 Nap
5073
Gyártó stabilitási adatokra

Poli(vinilklorid) 5% glükóz ? mg/ml 4°C Nincs meghatározva
7 Nap
5073
Gyártó stabilitási adatokra

Poli(vinilklorid) 5% glükóz 1 & 5 mg/ml 23°C Nincs meghatározva
42 Nap
120
Szintű bizonyítékot C

Poli(vinilklorid) 5% glükóz 1 & 5 mg/ml 4°C Fénytől védve tartandó
42 Nap
120
Szintű bizonyítékot C

Polietilén 0,9% nátrium-klorid ? mg/ml 25°C Nincs meghatározva
7 Nap
5073
Gyártó stabilitási adatokra

Polietilén 0,9% nátrium-klorid ? mg/ml 37°C Nincs meghatározva
7 Nap
5073
Gyártó stabilitási adatokra

Polietilén 0,9% nátrium-klorid ? mg/ml 4°C Nincs meghatározva
7 Nap
5073
Gyártó stabilitási adatokra

Polietilén 5% glükóz ? mg/ml 25°C Nincs meghatározva
7 Nap
5073
Gyártó stabilitási adatokra

Polietilén 5% glükóz ? mg/ml 37°C Nincs meghatározva
7 Nap
5073
Gyártó stabilitási adatokra

Polietilén 5% glükóz ? mg/ml 4°C Nincs meghatározva
7 Nap
5073
Gyártó stabilitási adatokra

Poliolefin 0,9% nátrium-klorid 0,2 & 10 mg/ml 23°C Nincs meghatározva
90 Nap
4230
Szintű bizonyítékot A

Etilén-vinilacetát 0,9% nátrium-klorid ? mg/ml 25°C Nincs meghatározva
7 Nap
5073
Gyártó stabilitási adatokra

Etilén-vinilacetát 0,9% nátrium-klorid ? mg/ml 37°C Nincs meghatározva
7 Nap
5073
Gyártó stabilitási adatokra

Etilén-vinilacetát 0,9% nátrium-klorid ? mg/ml 4°C Nincs meghatározva
7 Nap
5073
Gyártó stabilitási adatokra

Etilén-vinilacetát 5% glükóz ? mg/ml 25°C Nincs meghatározva
7 Nap
5073
Gyártó stabilitási adatokra

Etilén-vinilacetát 5% glükóz ? mg/ml 37°C Nincs meghatározva
7 Nap
5073
Gyártó stabilitási adatokra

Etilén-vinilacetát 5% glükóz ? mg/ml 4°C Nincs meghatározva
7 Nap
5073
Gyártó stabilitási adatokra

fecskendő polipropilén 0,9% nátrium-klorid ? mg/ml 25°C Nincs meghatározva
7 Nap
5073
Gyártó stabilitási adatokra

fecskendő polipropilén 0,9% nátrium-klorid ? mg/ml 37°C Nincs meghatározva
7 Nap
5073
Gyártó stabilitási adatokra

fecskendő polipropilén 0,9% nátrium-klorid ? mg/ml 4°C Nincs meghatározva
7 Nap
5073
Gyártó stabilitási adatokra

fecskendő polipropilén 0,9% nátrium-klorid 0,1 mg/ml 25°C Nincs meghatározva
100 Nap
4303
Szintű bizonyítékot A

fecskendő polipropilén 0,9% nátrium-klorid 0,1 mg/ml 30°C Nincs meghatározva
30 Nap
5
Szintű bizonyítékot B

fecskendő polipropilén 0,9% nátrium-klorid 1,5 & 80 mg/ml 23°C Fény
60 Nap
1706
Szintű bizonyítékot A+

fecskendő polipropilén 0,9% nátrium-klorid 1,5 & 80 mg/ml 37°C Fénytől védve tartandó
48 Óra
1706
Szintű bizonyítékot A+

fecskendő polipropilén 0,9% nátrium-klorid 1,5 & 80 mg/ml 4°C Fénytől védve tartandó
60 Nap
1706
Szintű bizonyítékot A+

fecskendő polipropilén 5% glükóz ? mg/ml 25°C Nincs meghatározva
7 Nap
5073
Gyártó stabilitási adatokra

fecskendő polipropilén 5% glükóz ? mg/ml 37°C Nincs meghatározva
7 Nap
5073
Gyártó stabilitási adatokra

fecskendő polipropilén 5% glükóz ? mg/ml 4°C Nincs meghatározva
7 Nap
5073
Gyártó stabilitási adatokra

fecskendő polipropilén Egy sem 10 mg/ml 30°C Nincs meghatározva
30 Nap
5
Szintű bizonyítékot B

Nincs meghatározva 0,9% nátrium-klorid 0,2 mg/ml 20°C Fénnyel vagy anélkül
112 Nap
2659
Szintű bizonyítékot A

Nincs meghatározva 0,9% nátrium-klorid 0,2 mg/ml 35°C Fénytől védve tartandó
112 Nap
2659
Szintű bizonyítékot A

Nincs meghatározva 0,9% nátrium-klorid 0,2 mg/ml 5°C Fénytől védve tartandó
112 Nap
2659
Szintű bizonyítékot A

Nincs meghatározva Egy sem 10 mg/ml 37°C Fénytől védve tartandó
120 Nap
1867
Szintű bizonyítékot D


  Mentions Légales