Last update :
27/04/2026
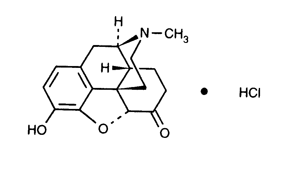
Analgesic   Hydromorphone hydrochloride  
injection
Stability in solutions Stability of mixtures Factors which affect stability Compatibility Route of administration References pdf
   Chemical structure  

Tradename   Tradename     

Trade names are indicative and excipients composition can be different depending on the country and manufacturers

Dilaudid Canada, United States of America
Hydal Austria
Palladon Denmark, Switzerland
Palladone Great Britain
Stability in solutions   injection   Stability in solutions : Hydromorphone hydrochloride     
Container Solvent Concentration Temperature Storage Duration of stability References
Glass Not specified 50 mg/ml 37°C Protect from light
90 Day
2305

Polyvinyl chloride Sodium chloride 0,9% ? mg/ml 25°C Not specified
7 Day
5073
Manufacturer's stability data

Polyvinyl chloride Sodium chloride 0,9% ? mg/ml 37°C Not specified
7 Day
5073
Manufacturer's stability data

Polyvinyl chloride Sodium chloride 0,9% ? mg/ml 4°C Not specified
7 Day
5073
Manufacturer's stability data

Polyvinyl chloride Sodium chloride 0,9% 0,2 & 10 mg/ml 23°C Not specified
90 Day
4230
Level of evidence A

Polyvinyl chloride Sodium chloride 0,9% 1 & 5 mg/ml 23°C Not specified
42 Day
120
Level of evidence C

Polyvinyl chloride Sodium chloride 0,9% 1 & 5 mg/ml 4°C Protect from light
42 Day
120
Level of evidence C

Polyvinyl chloride Sodium chloride 0,9% 20 mg/ml 22°C Not specified
7 Day
4664
Level of evidence D

Polyvinyl chloride Sodium chloride 0,9% 20 mg/ml 37°C Not specified
7 Day
4664
Level of evidence D

Polyvinyl chloride Glucose 5% ? mg/ml 25°C Not specified
7 Day
5073
Manufacturer's stability data

Polyvinyl chloride Glucose 5% ? mg/ml 37°C Not specified
7 Day
5073
Manufacturer's stability data

Polyvinyl chloride Glucose 5% ? mg/ml 4°C Not specified
7 Day
5073
Manufacturer's stability data

Polyvinyl chloride Glucose 5% 1 & 5 mg/ml 23°C Not specified
42 Day
120
Level of evidence C

Polyvinyl chloride Glucose 5% 1 & 5 mg/ml 4°C Protect from light
42 Day
120
Level of evidence C

Polyethylene Sodium chloride 0,9% ? mg/ml 25°C Not specified
7 Day
5073
Manufacturer's stability data

Polyethylene Sodium chloride 0,9% ? mg/ml 37°C Not specified
7 Day
5073
Manufacturer's stability data

Polyethylene Sodium chloride 0,9% ? mg/ml 4°C Not specified
7 Day
5073
Manufacturer's stability data

Polyethylene Glucose 5% ? mg/ml 25°C Not specified
7 Day
5073
Manufacturer's stability data

Polyethylene Glucose 5% ? mg/ml 37°C Not specified
7 Day
5073
Manufacturer's stability data

Polyethylene Glucose 5% ? mg/ml 4°C Not specified
7 Day
5073
Manufacturer's stability data

Polyolefine Sodium chloride 0,9% 0,2 & 10 mg/ml 23°C Not specified
90 Day
4230
Level of evidence A

Ethylene vinyl acetate Sodium chloride 0,9% ? mg/ml 25°C Not specified
7 Day
5073
Manufacturer's stability data

Ethylene vinyl acetate Sodium chloride 0,9% ? mg/ml 37°C Not specified
7 Day
5073
Manufacturer's stability data

Ethylene vinyl acetate Sodium chloride 0,9% ? mg/ml 4°C Not specified
7 Day
5073
Manufacturer's stability data

Ethylene vinyl acetate Glucose 5% ? mg/ml 25°C Not specified
7 Day
5073
Manufacturer's stability data

Ethylene vinyl acetate Glucose 5% ? mg/ml 37°C Not specified
7 Day
5073
Manufacturer's stability data

Ethylene vinyl acetate Glucose 5% ? mg/ml 4°C Not specified
7 Day
5073
Manufacturer's stability data

Polypropylen Syringe Sodium chloride 0,9% ? mg/ml 25°C Not specified
7 Day
5073
Manufacturer's stability data

Polypropylen Syringe Sodium chloride 0,9% ? mg/ml 37°C Not specified
7 Day
5073
Manufacturer's stability data

Polypropylen Syringe Sodium chloride 0,9% ? mg/ml 4°C Not specified
7 Day
5073
Manufacturer's stability data

Polypropylen Syringe Sodium chloride 0,9% 0,1 mg/ml 25°C Not specified
100 Day
4303
Level of evidence A

Polypropylen Syringe Sodium chloride 0,9% 0,1 mg/ml 30°C Not specified
30 Day
5
Level of evidence B

Polypropylen Syringe Sodium chloride 0,9% 1,5 & 80 mg/ml 23°C Light
60 Day
1706
Level of evidence A+

Polypropylen Syringe Sodium chloride 0,9% 1,5 & 80 mg/ml 37°C Protect from light
48 Hour
1706
Level of evidence A+

Polypropylen Syringe Sodium chloride 0,9% 1,5 & 80 mg/ml 4°C Protect from light
60 Day
1706
Level of evidence A+

Polypropylen Syringe Glucose 5% ? mg/ml 25°C Not specified
7 Day
5073
Manufacturer's stability data

Polypropylen Syringe Glucose 5% ? mg/ml 37°C Not specified
7 Day
5073
Manufacturer's stability data

Polypropylen Syringe Glucose 5% ? mg/ml 4°C Not specified
7 Day
5073
Manufacturer's stability data

Polypropylen Syringe None 10 mg/ml 30°C Not specified
30 Day
5
Level of evidence B

Not specified Sodium chloride 0,9% 0,2 mg/ml 20°C With or without light
112 Day
2659
Level of evidence A

Not specified Sodium chloride 0,9% 0,2 mg/ml 35°C Protect from light
112 Day
2659
Level of evidence A

Not specified Sodium chloride 0,9% 0,2 mg/ml 5°C Protect from light
112 Day
2659
Level of evidence A

Not specified None 10 mg/ml 37°C Protect from light
120 Day
1867
Level of evidence D


  Mentions Légales