Letztes “update” :
27/04/2026
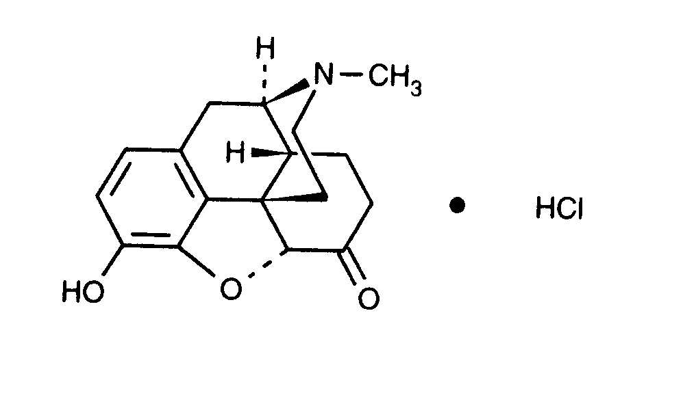
Analgetikum   Hydromorphone hydrochloride  
Injektion
Stabilität der Lösung Gemengestabilität Stabilitätbeeinflussende Faktoren Kompatibilitäten Applikationsart Literaturverzeichnis pdf
   Chemische Struktur  

Handelsmarke   Handelsmarke     

Handelsnamen sind als beispielhaft anzusehen. Sonstige Bestandteile können je nach Hersteller oder Land verschieden sein

Dilaudid Kanada, Vereinigte Staaten von Amerika
Hydal Österreich
Palladon Dänemark, Schweiz
Palladone Großbritannien
Stabilität der Lösung   Injektion   Stabilität der Lösung : Hydromorphone hydrochloride     
Behälter Lösungsmittel Konzentration Temperatur Konservierung Dauer der Stabilität Literaturverzeichnis
Glas Nicht spezifiziert 50 mg/ml 37°C Ohne Licht
90 Tag
2305

Polyvinylchlorid 0,9% Natriumchlorid ? mg/ml 25°C Nicht genau angegeben
7 Tag
5073
Stabilitätsdaten des Herstellers

Polyvinylchlorid 0,9% Natriumchlorid ? mg/ml 37°C Nicht genau angegeben
7 Tag
5073
Stabilitätsdaten des Herstellers

Polyvinylchlorid 0,9% Natriumchlorid ? mg/ml 4°C Nicht genau angegeben
7 Tag
5073
Stabilitätsdaten des Herstellers

Polyvinylchlorid 0,9% Natriumchlorid 0,2 & 10 mg/ml 23°C Nicht genau angegeben
90 Tag
4230
Evidenzgrad A

Polyvinylchlorid 0,9% Natriumchlorid 1 & 5 mg/ml 23°C Nicht genau angegeben
42 Tag
120
Evidenzgrad C

Polyvinylchlorid 0,9% Natriumchlorid 1 & 5 mg/ml 4°C Ohne Licht
42 Tag
120
Evidenzgrad C

Polyvinylchlorid 0,9% Natriumchlorid 20 mg/ml 22°C Nicht genau angegeben
7 Tag
4664
Evidenzgrad D

Polyvinylchlorid 0,9% Natriumchlorid 20 mg/ml 37°C Nicht genau angegeben
7 Tag
4664
Evidenzgrad D

Polyvinylchlorid 5% Glucose ? mg/ml 25°C Nicht genau angegeben
7 Tag
5073
Stabilitätsdaten des Herstellers

Polyvinylchlorid 5% Glucose ? mg/ml 37°C Nicht genau angegeben
7 Tag
5073
Stabilitätsdaten des Herstellers

Polyvinylchlorid 5% Glucose ? mg/ml 4°C Nicht genau angegeben
7 Tag
5073
Stabilitätsdaten des Herstellers

Polyvinylchlorid 5% Glucose 1 & 5 mg/ml 23°C Nicht genau angegeben
42 Tag
120
Evidenzgrad C

Polyvinylchlorid 5% Glucose 1 & 5 mg/ml 4°C Ohne Licht
42 Tag
120
Evidenzgrad C

Polyäthylen 0,9% Natriumchlorid ? mg/ml 25°C Nicht genau angegeben
7 Tag
5073
Stabilitätsdaten des Herstellers

Polyäthylen 0,9% Natriumchlorid ? mg/ml 37°C Nicht genau angegeben
7 Tag
5073
Stabilitätsdaten des Herstellers

Polyäthylen 0,9% Natriumchlorid ? mg/ml 4°C Nicht genau angegeben
7 Tag
5073
Stabilitätsdaten des Herstellers

Polyäthylen 5% Glucose ? mg/ml 25°C Nicht genau angegeben
7 Tag
5073
Stabilitätsdaten des Herstellers

Polyäthylen 5% Glucose ? mg/ml 37°C Nicht genau angegeben
7 Tag
5073
Stabilitätsdaten des Herstellers

Polyäthylen 5% Glucose ? mg/ml 4°C Nicht genau angegeben
7 Tag
5073
Stabilitätsdaten des Herstellers

Polyolefin 0,9% Natriumchlorid 0,2 & 10 mg/ml 23°C Nicht genau angegeben
90 Tag
4230
Evidenzgrad A

Äthylenvinylacetat 0,9% Natriumchlorid ? mg/ml 25°C Nicht genau angegeben
7 Tag
5073
Stabilitätsdaten des Herstellers

Äthylenvinylacetat 0,9% Natriumchlorid ? mg/ml 37°C Nicht genau angegeben
7 Tag
5073
Stabilitätsdaten des Herstellers

Äthylenvinylacetat 0,9% Natriumchlorid ? mg/ml 4°C Nicht genau angegeben
7 Tag
5073
Stabilitätsdaten des Herstellers

Äthylenvinylacetat 5% Glucose ? mg/ml 25°C Nicht genau angegeben
7 Tag
5073
Stabilitätsdaten des Herstellers

Äthylenvinylacetat 5% Glucose ? mg/ml 37°C Nicht genau angegeben
7 Tag
5073
Stabilitätsdaten des Herstellers

Äthylenvinylacetat 5% Glucose ? mg/ml 4°C Nicht genau angegeben
7 Tag
5073
Stabilitätsdaten des Herstellers

 Spritze Polypropylen 0,9% Natriumchlorid ? mg/ml 25°C Nicht genau angegeben
7 Tag
5073
Stabilitätsdaten des Herstellers

 Spritze Polypropylen 0,9% Natriumchlorid ? mg/ml 37°C Nicht genau angegeben
7 Tag
5073
Stabilitätsdaten des Herstellers

 Spritze Polypropylen 0,9% Natriumchlorid ? mg/ml 4°C Nicht genau angegeben
7 Tag
5073
Stabilitätsdaten des Herstellers

 Spritze Polypropylen 0,9% Natriumchlorid 0,1 mg/ml 25°C Nicht genau angegeben
100 Tag
4303
Evidenzgrad A

 Spritze Polypropylen 0,9% Natriumchlorid 0,1 mg/ml 30°C Nicht genau angegeben
30 Tag
5
Evidenzgrad B

 Spritze Polypropylen 0,9% Natriumchlorid 1,5 & 80 mg/ml 23°C Licht
60 Tag
1706
Evidenzgrad A+

 Spritze Polypropylen 0,9% Natriumchlorid 1,5 & 80 mg/ml 37°C Ohne Licht
48 Stunde
1706
Evidenzgrad A+

 Spritze Polypropylen 0,9% Natriumchlorid 1,5 & 80 mg/ml 4°C Ohne Licht
60 Tag
1706
Evidenzgrad A+

 Spritze Polypropylen 5% Glucose ? mg/ml 25°C Nicht genau angegeben
7 Tag
5073
Stabilitätsdaten des Herstellers

 Spritze Polypropylen 5% Glucose ? mg/ml 37°C Nicht genau angegeben
7 Tag
5073
Stabilitätsdaten des Herstellers

 Spritze Polypropylen 5% Glucose ? mg/ml 4°C Nicht genau angegeben
7 Tag
5073
Stabilitätsdaten des Herstellers

 Spritze Polypropylen Kein 10 mg/ml 30°C Nicht genau angegeben
30 Tag
5
Evidenzgrad B

Nicht genau angegeben 0,9% Natriumchlorid 0,2 mg/ml 20°C Mit oder ohne Licht
112 Tag
2659
Evidenzgrad A

Nicht genau angegeben 0,9% Natriumchlorid 0,2 mg/ml 35°C Ohne Licht
112 Tag
2659
Evidenzgrad A

Nicht genau angegeben 0,9% Natriumchlorid 0,2 mg/ml 5°C Ohne Licht
112 Tag
2659
Evidenzgrad A

Nicht genau angegeben Kein 10 mg/ml 37°C Ohne Licht
120 Tag
1867
Evidenzgrad D


  Mentions Légales