Posledná aktualizácia :
27/04/2026
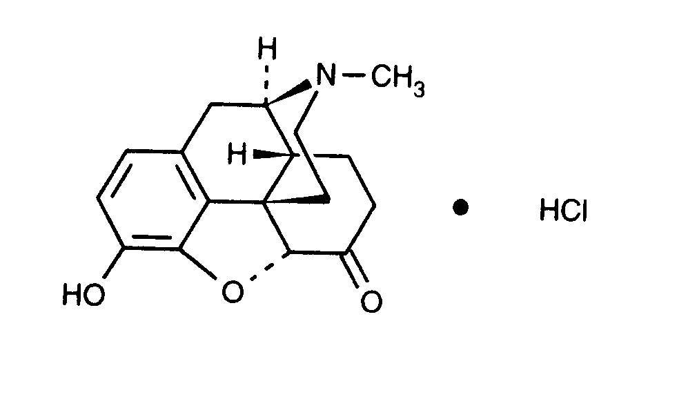
analgetikum   Hydromorphone hydrochloride  
Injekcia
Stabilita roztokov Stabilita v zmesiach Faktory ovplyvňujúce stabilitu Kompatibility spôsob podania Odkazy na literatúru PDF
   Chemický vzorec  

Obchodný názov   Obchodný názov     

Obchodné názvy sú orientačné, a zloženie pomocných látok sa môže líšiť v závislosti od krajiny a výrobcu.

Dilaudid Kanada, Spojené štáty Americké
Hydal Rakúsko
Palladon Dánsko, Švajčiarsko
Palladone Veľká Británia
Stabilita roztokov   Injekcia   Stabilita roztokov : Hydromorphone hydrochloride     
obal rozpúšťadlo koncentrácia teplota uchovávanie Trvanie stability odkazy na lieteratúru
Sklo nešpecifikované 50 mg/ml 37°C Chránené pred svetlom
90 dní
2305

polyvinylchlorid (PVC) 0,9% chlorid sodný ? mg/ml 25°C nešpecifikované
7 dní
5073
Údaje o stabilite od výrobcu

polyvinylchlorid (PVC) 0,9% chlorid sodný ? mg/ml 37°C nešpecifikované
7 dní
5073
Údaje o stabilite od výrobcu

polyvinylchlorid (PVC) 0,9% chlorid sodný ? mg/ml 4°C nešpecifikované
7 dní
5073
Údaje o stabilite od výrobcu

polyvinylchlorid (PVC) 0,9% chlorid sodný 0,2 & 10 mg/ml 23°C nešpecifikované
90 dní
4230
Úroveň dôkazov A

polyvinylchlorid (PVC) 0,9% chlorid sodný 1 & 5 mg/ml 23°C nešpecifikované
42 dní
120
Úroveň dôkazov C

polyvinylchlorid (PVC) 0,9% chlorid sodný 1 & 5 mg/ml 4°C Chránené pred svetlom
42 dní
120
Úroveň dôkazov C

polyvinylchlorid (PVC) 0,9% chlorid sodný 20 mg/ml 22°C nešpecifikované
7 dní
4664
Úroveň dôkazov D

polyvinylchlorid (PVC) 0,9% chlorid sodný 20 mg/ml 37°C nešpecifikované
7 dní
4664
Úroveň dôkazov D

polyvinylchlorid (PVC) 5% glukóza ? mg/ml 25°C nešpecifikované
7 dní
5073
Údaje o stabilite od výrobcu

polyvinylchlorid (PVC) 5% glukóza ? mg/ml 37°C nešpecifikované
7 dní
5073
Údaje o stabilite od výrobcu

polyvinylchlorid (PVC) 5% glukóza ? mg/ml 4°C nešpecifikované
7 dní
5073
Údaje o stabilite od výrobcu

polyvinylchlorid (PVC) 5% glukóza 1 & 5 mg/ml 23°C nešpecifikované
42 dní
120
Úroveň dôkazov C

polyvinylchlorid (PVC) 5% glukóza 1 & 5 mg/ml 4°C Chránené pred svetlom
42 dní
120
Úroveň dôkazov C

polyetylén 0,9% chlorid sodný ? mg/ml 25°C nešpecifikované
7 dní
5073
Údaje o stabilite od výrobcu

polyetylén 0,9% chlorid sodný ? mg/ml 37°C nešpecifikované
7 dní
5073
Údaje o stabilite od výrobcu

polyetylén 0,9% chlorid sodný ? mg/ml 4°C nešpecifikované
7 dní
5073
Údaje o stabilite od výrobcu

polyetylén 5% glukóza ? mg/ml 25°C nešpecifikované
7 dní
5073
Údaje o stabilite od výrobcu

polyetylén 5% glukóza ? mg/ml 37°C nešpecifikované
7 dní
5073
Údaje o stabilite od výrobcu

polyetylén 5% glukóza ? mg/ml 4°C nešpecifikované
7 dní
5073
Údaje o stabilite od výrobcu

polyolefín 0,9% chlorid sodný 0,2 & 10 mg/ml 23°C nešpecifikované
90 dní
4230
Úroveň dôkazov A

etylénvinylacetát 0,9% chlorid sodný ? mg/ml 25°C nešpecifikované
7 dní
5073
Údaje o stabilite od výrobcu

etylénvinylacetát 0,9% chlorid sodný ? mg/ml 37°C nešpecifikované
7 dní
5073
Údaje o stabilite od výrobcu

etylénvinylacetát 0,9% chlorid sodný ? mg/ml 4°C nešpecifikované
7 dní
5073
Údaje o stabilite od výrobcu

etylénvinylacetát 5% glukóza ? mg/ml 25°C nešpecifikované
7 dní
5073
Údaje o stabilite od výrobcu

etylénvinylacetát 5% glukóza ? mg/ml 37°C nešpecifikované
7 dní
5073
Údaje o stabilite od výrobcu

etylénvinylacetát 5% glukóza ? mg/ml 4°C nešpecifikované
7 dní
5073
Údaje o stabilite od výrobcu

Injekčná striekačka polypropylén 0,9% chlorid sodný ? mg/ml 25°C nešpecifikované
7 dní
5073
Údaje o stabilite od výrobcu

Injekčná striekačka polypropylén 0,9% chlorid sodný ? mg/ml 37°C nešpecifikované
7 dní
5073
Údaje o stabilite od výrobcu

Injekčná striekačka polypropylén 0,9% chlorid sodný ? mg/ml 4°C nešpecifikované
7 dní
5073
Údaje o stabilite od výrobcu

Injekčná striekačka polypropylén 0,9% chlorid sodný 0,1 mg/ml 25°C nešpecifikované
100 dní
4303
Úroveň dôkazov A

Injekčná striekačka polypropylén 0,9% chlorid sodný 0,1 mg/ml 30°C nešpecifikované
30 dní
5
Úroveň dôkazov B

Injekčná striekačka polypropylén 0,9% chlorid sodný 1,5 & 80 mg/ml 23°C Za svetla
60 dní
1706
Úroveň dôkazov A+

Injekčná striekačka polypropylén 0,9% chlorid sodný 1,5 & 80 mg/ml 37°C Chránené pred svetlom
48 hodín
1706
Úroveň dôkazov A+

Injekčná striekačka polypropylén 0,9% chlorid sodný 1,5 & 80 mg/ml 4°C Chránené pred svetlom
60 dní
1706
Úroveň dôkazov A+

Injekčná striekačka polypropylén 5% glukóza ? mg/ml 25°C nešpecifikované
7 dní
5073
Údaje o stabilite od výrobcu

Injekčná striekačka polypropylén 5% glukóza ? mg/ml 37°C nešpecifikované
7 dní
5073
Údaje o stabilite od výrobcu

Injekčná striekačka polypropylén 5% glukóza ? mg/ml 4°C nešpecifikované
7 dní
5073
Údaje o stabilite od výrobcu

Injekčná striekačka polypropylén Žiadny 10 mg/ml 30°C nešpecifikované
30 dní
5
Úroveň dôkazov B

nešpecifikované 0,9% chlorid sodný 0,2 mg/ml 20°C Za svetla alebo chránené pred svetlom
112 dní
2659
Úroveň dôkazov A

nešpecifikované 0,9% chlorid sodný 0,2 mg/ml 35°C Chránené pred svetlom
112 dní
2659
Úroveň dôkazov A

nešpecifikované 0,9% chlorid sodný 0,2 mg/ml 5°C Chránené pred svetlom
112 dní
2659
Úroveň dôkazov A

nešpecifikované Žiadny 10 mg/ml 37°C Chránené pred svetlom
120 dní
1867
Úroveň dôkazov D


  Mentions Légales