Последнее обновление :
27/01/2026
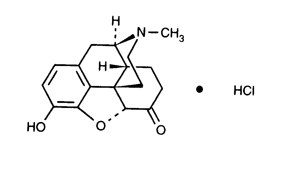
Анальгетик   Hydromorphone hydrochloride  
Инъекция
Стабильность растворов Стабильность смесей Факторы, которые влияют на стабильность Совместимость Способы введения Библиография pdf
   Химическая структура  

Товарное название   Товарное название     

Trade names are indicative and excipients composition can be different depending on the country and manufacturers

Dilaudid Канада, Соединённые Штаты Америки
Hydal Австрия
Palladon Дания, Швейцария
Palladone Великобритания
Стабильность растворов   Инъекция   Стабильность растворов : Hydromorphone hydrochloride     
Упаковка Растворитель Концентрация Температура Хранение Продолжительность стабильности Ссылки
Стекло Не указано 50 mg/ml 37°C Защищён от света
90 День
2305

Поливинилхлорид Натрия хлорид 0,9% ? mg/ml 25°C Не указано
7 День
5073
Данные по стабльности от изготовителя

Поливинилхлорид Натрия хлорид 0,9% ? mg/ml 37°C Не указано
7 День
5073
Данные по стабльности от изготовителя

Поливинилхлорид Натрия хлорид 0,9% ? mg/ml 4°C Не указано
7 День
5073
Данные по стабльности от изготовителя

Поливинилхлорид Натрия хлорид 0,9% 0,2 & 10 mg/ml 23°C Не указано
90 День
4230
Уровень доказательности A

Поливинилхлорид Натрия хлорид 0,9% 1 & 5 mg/ml 23°C Не указано
42 День
120
Уровень доказательности C

Поливинилхлорид Натрия хлорид 0,9% 1 & 5 mg/ml 4°C Защищён от света
42 День
120
Уровень доказательности C

Поливинилхлорид Натрия хлорид 0,9% 20 mg/ml 22°C Не указано
7 День
4664
Уровень доказательности D

Поливинилхлорид Натрия хлорид 0,9% 20 mg/ml 37°C Не указано
7 День
4664
Уровень доказательности D

Поливинилхлорид Глюкоза 5% ? mg/ml 25°C Не указано
7 День
5073
Данные по стабльности от изготовителя

Поливинилхлорид Глюкоза 5% ? mg/ml 37°C Не указано
7 День
5073
Данные по стабльности от изготовителя

Поливинилхлорид Глюкоза 5% ? mg/ml 4°C Не указано
7 День
5073
Данные по стабльности от изготовителя

Поливинилхлорид Глюкоза 5% 1 & 5 mg/ml 23°C Не указано
42 День
120
Уровень доказательности C

Поливинилхлорид Глюкоза 5% 1 & 5 mg/ml 4°C Защищён от света
42 День
120
Уровень доказательности C

Полиэтилен Натрия хлорид 0,9% ? mg/ml 25°C Не указано
7 День
5073
Данные по стабльности от изготовителя

Полиэтилен Натрия хлорид 0,9% ? mg/ml 37°C Не указано
7 День
5073
Данные по стабльности от изготовителя

Полиэтилен Натрия хлорид 0,9% ? mg/ml 4°C Не указано
7 День
5073
Данные по стабльности от изготовителя

Полиэтилен Глюкоза 5% ? mg/ml 25°C Не указано
7 День
5073
Данные по стабльности от изготовителя

Полиэтилен Глюкоза 5% ? mg/ml 37°C Не указано
7 День
5073
Данные по стабльности от изготовителя

Полиэтилен Глюкоза 5% ? mg/ml 4°C Не указано
7 День
5073
Данные по стабльности от изготовителя

Полиолефин Натрия хлорид 0,9% 0,2 & 10 mg/ml 23°C Не указано
90 День
4230
Уровень доказательности A

Этилен-винилацетат Натрия хлорид 0,9% ? mg/ml 25°C Не указано
7 День
5073
Данные по стабльности от изготовителя

Этилен-винилацетат Натрия хлорид 0,9% ? mg/ml 37°C Не указано
7 День
5073
Данные по стабльности от изготовителя

Этилен-винилацетат Натрия хлорид 0,9% ? mg/ml 4°C Не указано
7 День
5073
Данные по стабльности от изготовителя

Этилен-винилацетат Глюкоза 5% ? mg/ml 25°C Не указано
7 День
5073
Данные по стабльности от изготовителя

Этилен-винилацетат Глюкоза 5% ? mg/ml 37°C Не указано
7 День
5073
Данные по стабльности от изготовителя

Этилен-винилацетат Глюкоза 5% ? mg/ml 4°C Не указано
7 День
5073
Данные по стабльности от изготовителя

Шприц полипропилен Натрия хлорид 0,9% ? mg/ml 25°C Не указано
7 День
5073
Данные по стабльности от изготовителя

Шприц полипропилен Натрия хлорид 0,9% ? mg/ml 37°C Не указано
7 День
5073
Данные по стабльности от изготовителя

Шприц полипропилен Натрия хлорид 0,9% ? mg/ml 4°C Не указано
7 День
5073
Данные по стабльности от изготовителя

Шприц полипропилен Натрия хлорид 0,9% 0,1 mg/ml 25°C Не указано
100 День
4303
Уровень доказательности A

Шприц полипропилен Натрия хлорид 0,9% 0,1 mg/ml 30°C Не указано
30 День
5
Уровень доказательности B

Шприц полипропилен Натрия хлорид 0,9% 1,5 & 80 mg/ml 23°C Свет
60 День
1706
Уровень доказательности A +

Шприц полипропилен Натрия хлорид 0,9% 1,5 & 80 mg/ml 37°C Защищён от света
48 Час
1706
Уровень доказательности A +

Шприц полипропилен Натрия хлорид 0,9% 1,5 & 80 mg/ml 4°C Защищён от света
60 День
1706
Уровень доказательности A +

Шприц полипропилен Глюкоза 5% ? mg/ml 25°C Не указано
7 День
5073
Данные по стабльности от изготовителя

Шприц полипропилен Глюкоза 5% ? mg/ml 37°C Не указано
7 День
5073
Данные по стабльности от изготовителя

Шприц полипропилен Глюкоза 5% ? mg/ml 4°C Не указано
7 День
5073
Данные по стабльности от изготовителя

Шприц полипропилен Нет 10 mg/ml 30°C Не указано
30 День
5
Уровень доказательности B

Не указано Натрия хлорид 0,9% 0,2 mg/ml 20°C И на свету и в темноте
112 День
2659
Уровень доказательности A

Не указано Натрия хлорид 0,9% 0,2 mg/ml 35°C Защищён от света
112 День
2659
Уровень доказательности A

Не указано Натрия хлорид 0,9% 0,2 mg/ml 5°C Защищён от света
112 День
2659
Уровень доказательности A

Не указано Нет 10 mg/ml 37°C Защищён от света
120 День
1867
Уровень доказательности D


  Mentions Légales