Senaste uppdateringen :
27/01/2026
Muskel avslappande medel   Pancuronium bromide  
injektion
Lösningars stabilitet Stabilitet i blandningar Faktorer som påverkar stabiliteten Kompatibilitet Administreringssätt Hänvisningar pdf
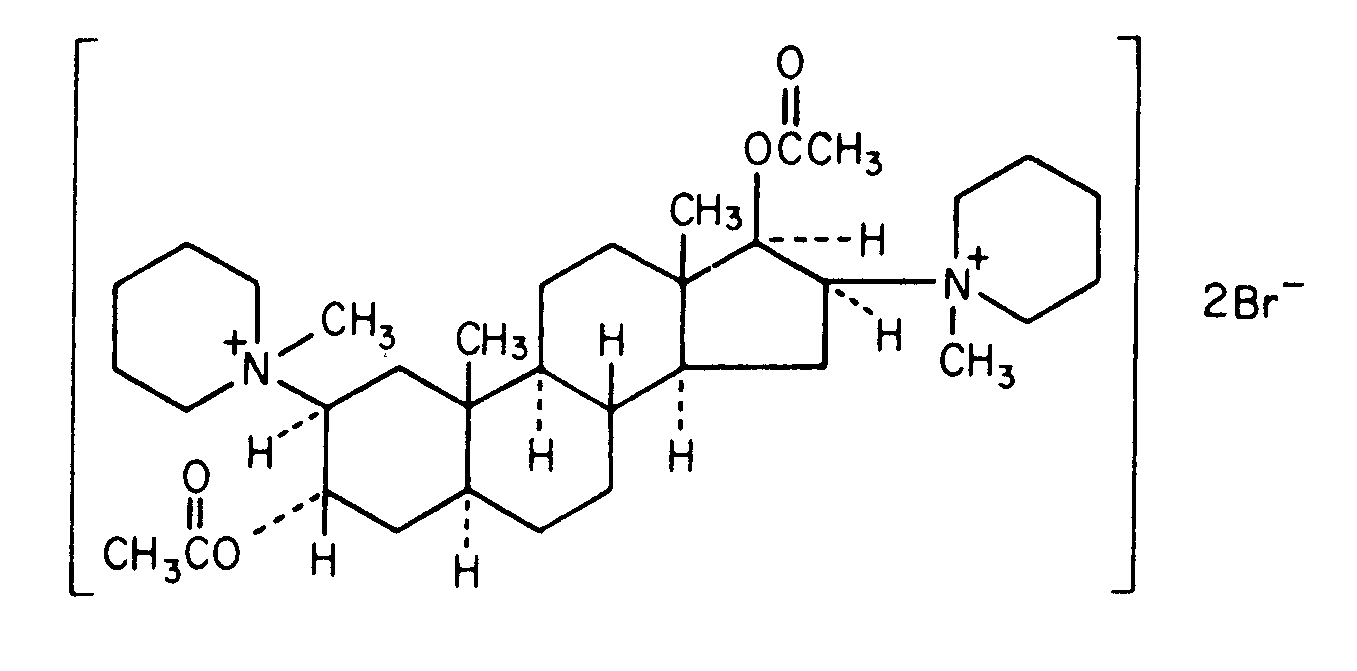
   Molekylstruktur  

Varunamn   Varunamn     

Angivna handelsnamn på läkemedel är enbart vägledande då formulering inklusive hjälpämnen kan variera mellan länder och tillverkare

Pancuronium bromide injection Förenta Staterna, Kanada
Lösningars stabilitet   injektion   Lösningars stabilitet : Pancuronium bromide     
Behållare Lösningsmedel Koncentration Temperatur Förvaring Stabilitets varaktighet Hänvisningar
Glas specifikt lösningsmedel 2 mg/ml 2-8°C Ej angiven
912 Dag
4773
Evidensnivå B+


  Mentions Légales