Pēdējā atjaunošana :
27/01/2026
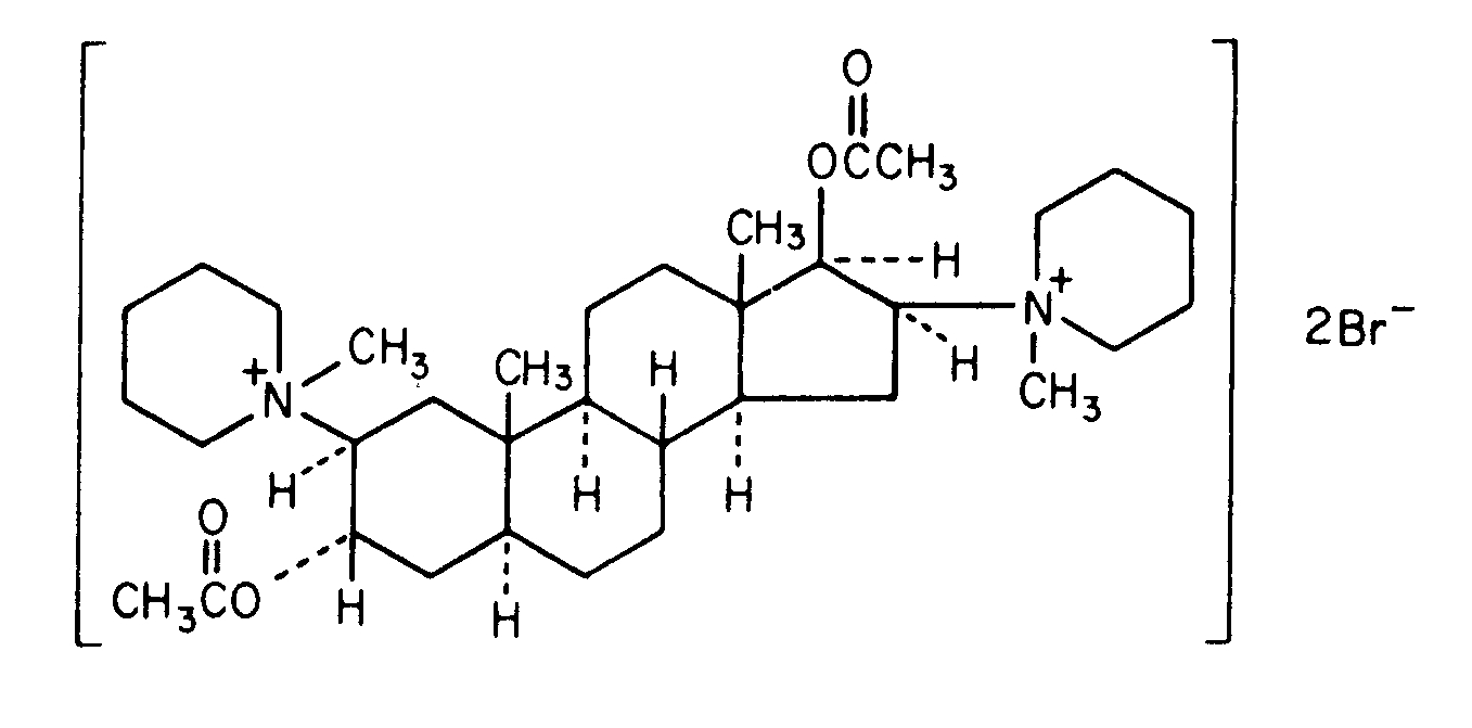
Kurarīnmimētiķis   Pancuronium bromide  
Injekcija
Šķīduma stabilitāte Maisījuma stabilitāte Stabilitāti ietekmējoši faktori Saderība Levadīšanas veids Literatūras saraksts pdf
   Ķīmiskā uzbūve   

Oriģinālais nosaukums   Oriģinālais nosaukums     

Tirdzniecības nosaukumi ir apzīmējoši un palīgvielas var atšķirties dažādām valstīm un laboratorijām

Pancuronium bromide injection Amerikas Savienotās Valstis, Kanāda
Šķīduma stabilitāte   Injekcija   Šķīduma stabilitāte : Pancuronium bromide     
Iepakojums Šķīdinātājs Koncentrācija Temperatūra Glabāšana Stabilitātes ilgums Literatūras saraksts
Stikls īpašu šķīdinātāju 2 mg/ml 2-8°C Nav specifisks
912 Diena
4773
Pierādījumu līmenis B+


  Mentions Légales