viimane versioon :
27/11/2025
Kuraare-taoline  ravim   Pancuronium bromide  
Süsteravim
Stabiilsus lahustes Stabiilsust mõjutavad tegurid stabiilsust mõjutavad faktorid Sobimatus Manustamis viis Viited pdf
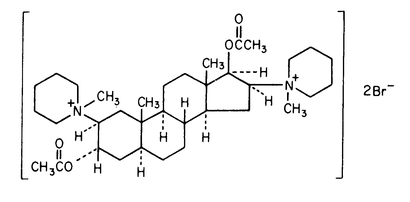
   keemiline struktuur  

Kaubanduslikud nimed erinevates maades   Kaubanduslikud nimed erinevates maades     

Preparaatide nimed on näitlikud ja abianete sisaldus võib erineda sõltuvalt riigist ja laborist

Pancuronium bromide injection Ameerika ühendriigid, Kanada
Stabiilsus lahustes   Süsteravim   Stabiilsus lahustes : Pancuronium bromide     
konteiner lahusti kontsentratsioon temperatuur ladustamine Stabiilsuse kestus Viited
klaas konkreetsed lahusti 2 mg/ml 2-8°C pole täpsustatud
912 päev
4773
Tõenduspõhisuse tase B+


  Mentions Légales