Letztes “update” :
27/04/2026
Durch Curarin narkotisierend   Pancuronium bromide  
Injektion
Stabilität der Lösung Gemengestabilität Stabilitätbeeinflussende Faktoren Kompatibilitäten Applikationsart Literaturverzeichnis pdf
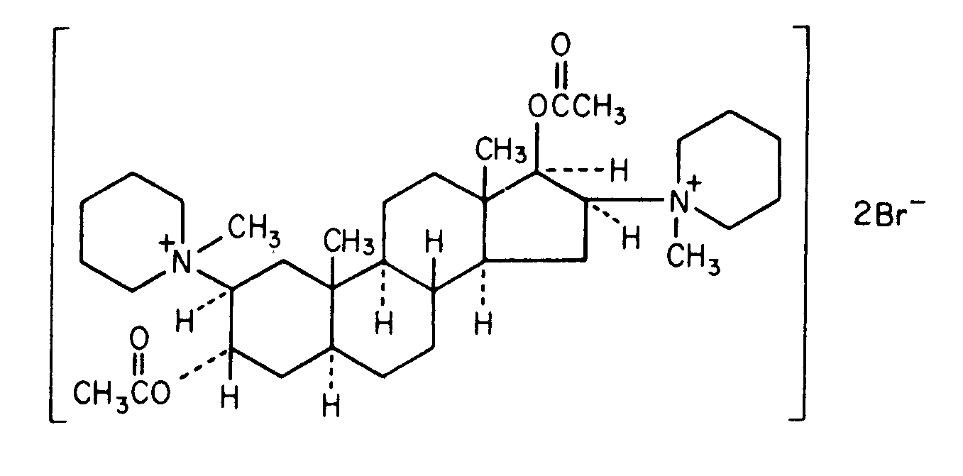
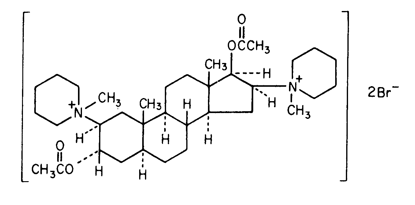
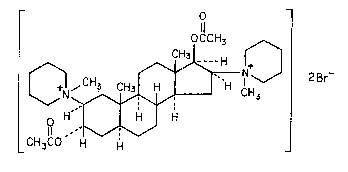
   Chemische Struktur  

Handelsmarke   Handelsmarke     

Handelsnamen sind als beispielhaft anzusehen. Sonstige Bestandteile können je nach Hersteller oder Land verschieden sein

Pancuronium bromide injection Ägypten, Deutschland, Frankreich, Großbritannien, Iran, Irland, Kanada, Neuseeland, Polen, Vereinigte Arabische Emirate, Vereinigte Staaten von Amerika
Stabilität der Lösung   Injektion   Stabilität der Lösung : Pancuronium bromide     
Behälter Lösungsmittel Konzentration Temperatur Konservierung Dauer der Stabilität Literaturverzeichnis
Glas spezifische Lösungsmittel 2 mg/ml 2-8°C Nicht genau angegeben
912 Tag
4773
Evidenzgrad B+


  Mentions Légales