Ostatnia aktualizacja :
27/11/2025
Lek kuraropodobny   Pancuronium bromide  
Injekcje
Trwałość roztworów Trwałość w mieszaninie Czynnik wpływający na trwałość Zgodność Sposób podania Bibliografia pdf
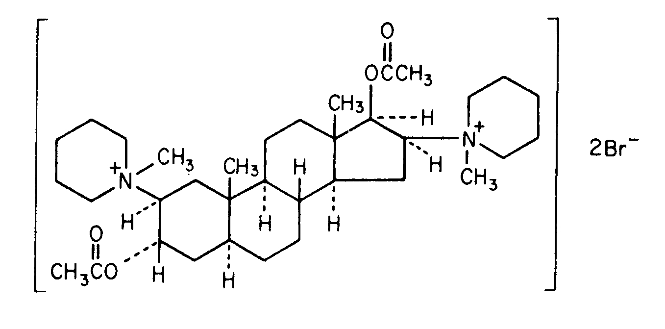
   Struktura chemiczna  

Nazwa handlowa   Nazwa handlowa     

Trade names are indicative and excipients composition can be different depending on the country and manufacturers

Pancuronium bromide injection Kanada, Stany Zjednoczone Ameryki
Trwałość roztworów   Injekcje   Trwałość roztworów : Pancuronium bromide     
Pojemnik Rozpuszczalnik Stężenie Temperatura Przechowywanie Czas trwania stabilności Bibliografia
Szkło danego rozpuszczalnika 2 mg/ml 2-8°C Nie wyszczególniony
912 Dzień
4773
Poziom wiarygodności B+


  Mentions Légales