Utolsó frissítés :
05/12/2025
Izombénító   Pancuronium bromide  
Injekció
Az oldatok stabilitása A keverékek stabilitása Stabilitást befolyásoló tényezők Kompatibilitás Az alkalmazás módja Irodalom pdf
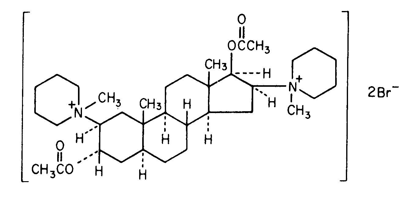
   Kémiai szerkezet   

Kereskedelmi név   Kereskedelmi név     

A kereskedelmi név meghatározó jelentőségű: a készítmények összetétele országonként, előállítóként eltérő lehet

Pancuronium bromide injection Amerikai Egyesült Államok, Kanada
Az oldatok stabilitása   Injekció   Az oldatok stabilitása : Pancuronium bromide     
Csomagolás Oldószer Koncentráció Hőmérséklet Tárolás A stabilitás időtartama Irodalom
Üveg egyedi oldószer 2 mg/ml 2-8°C Nincs meghatározva
912 Nap
4773
Szintű bizonyítékot B+


  Mentions Légales