Последно актуализиране :
27/04/2026
Кураре-миметик   Pancuronium bromide  
Инжекция/Инжекционен
Стабилност на разтвори Стабилност на смеси Фактори, повлияващи стабилността Съвместимост Път на въвеждане Библиография Pdf
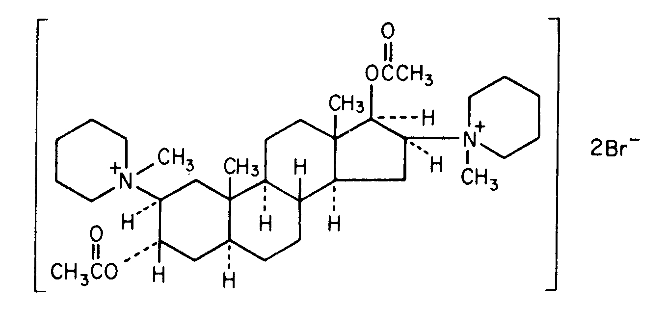
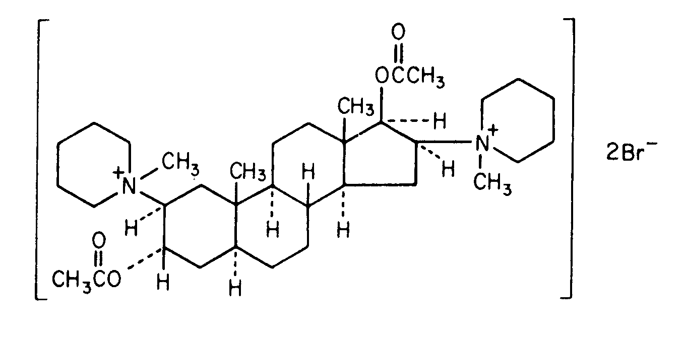
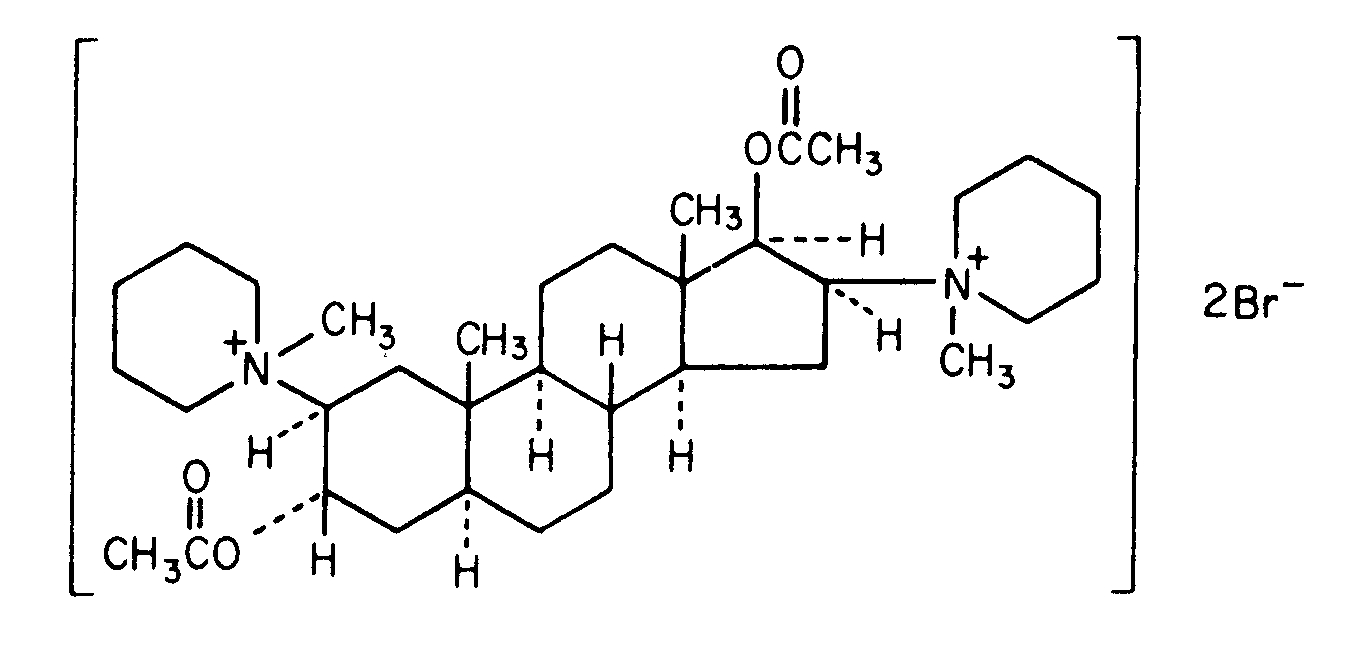
   Химична структура  

Търговско наименование   Търговско наименование     

Търговските имена са примерни и съставът на помощните вещества може да бъде различен в зависимост от държавата и лабораториите

Pancuronium bromide injection Великобритания, Германия, Египет, Иран, Ирландия, Канада, нова Зеландия, Обединени арабски емирства, Полша, Съединени Американски щати / САЩ, Франция
Стабилност на разтвори   Инжекция/Инжекционен   Стабилност на разтвори : Pancuronium bromide     
Контейнер Разтворител Концентрация Температура Съхранение Продължителност на стабилността Библиография
Стъкло Специфична разтворител 2 mg/ml 2-8°C Не е уточнено
912 Ден
4773
Степен на доказаност B+


  Mentions Légales