Laatste update :
27/04/2026
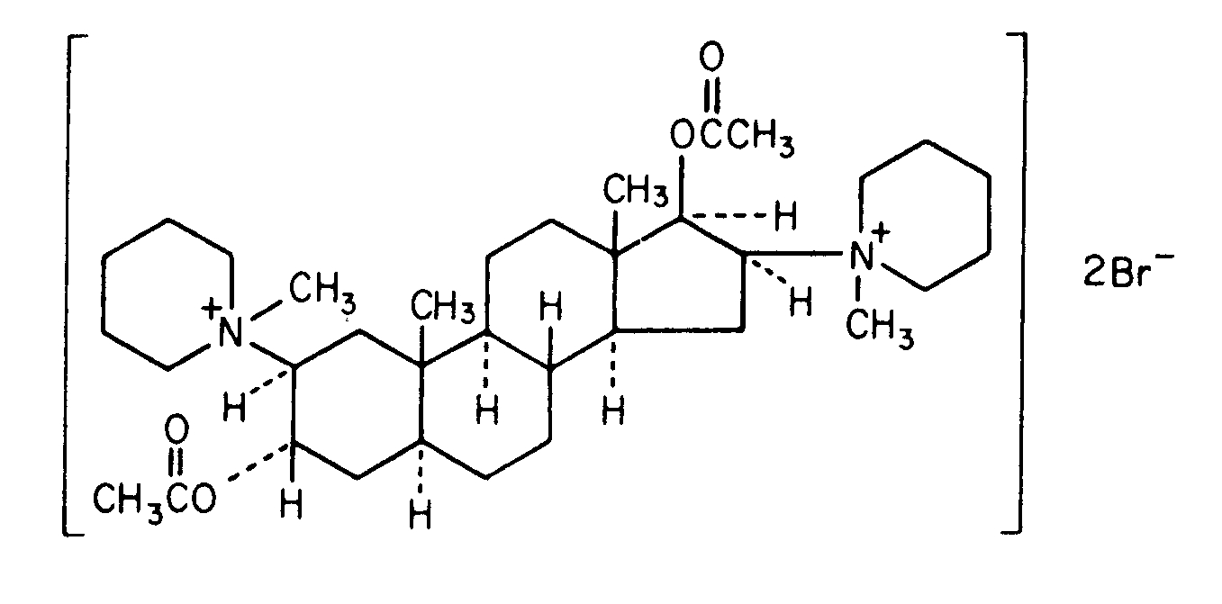
Curarimimeticum   Pancuronium bromide  
injecteerbaar geneesmiddel
Stabiliteit in oplossing Stabiliteit in mengsels Factoren die de stabiliteit beïnvloeden Verenigbaarheden Toedieningswijze Literatuur pdf
   Molecuulstructuur  

Merknamen in verschillende landen   Merknamen in verschillende landen     

Handelsnamen zijn slechts een indicatie; de samenstelling van hulpstoffen kan per land variëren afhankelijk van de fabrikant

Pancuronium bromide injection Canada, Duitsland, Egypte, Frankrijk, Groot Britannië, Ierland, Iran, nieuw Zeeland, Polen, USA, Verenigde Arabische Emiraten
Stabiliteit in oplossing   injecteerbaar geneesmiddel   Stabiliteit in oplossing : Pancuronium bromide     
Verpakking Oplosmiddel Concentratie Temperatuur Bewaring Duur van de stabiliteit Literatuur
Glas specifieke solvent 2 mg/ml 2-8°C Niet gespecificeerd
912 Dag
4773
Niveau van bewijs B+


  Mentions Légales