Ultimo aggiornamento :
27/04/2026
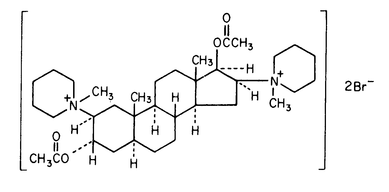
Curarizzante   Pancuronium bromide  
Iniezione
Stabilità in soluzione Stabilità in miscela Fattori che influenzano la stabilità Compatibilità metodo di iniezione Bibliografia pdf
   Struttura chimica  

Nome commerciale   Nome commerciale     

Trade names are indicative and excipients composition can be different depending on the country and manufacturers

Pancuronium bromide injection Canada, Egitto, Emirati Arabi Uniti, Francia, Germania, Gran Bretagna, Iran, Irlanda, nuova Zelanda, Polonia, Stati Uniti d’America
Stabilità in soluzione   Iniezione   Stabilità in soluzione : Pancuronium bromide     
contenitore Solvente Concentrazione Temperatura Conservazione Durata della stabilità Bibliografia
Vetro solvente specifico 2 mg/ml 2-8°C Non precisata
912 Giorno
4773
Livello di evidenza B+


  Mentions Légales