Posledná aktualizácia :
27/01/2026
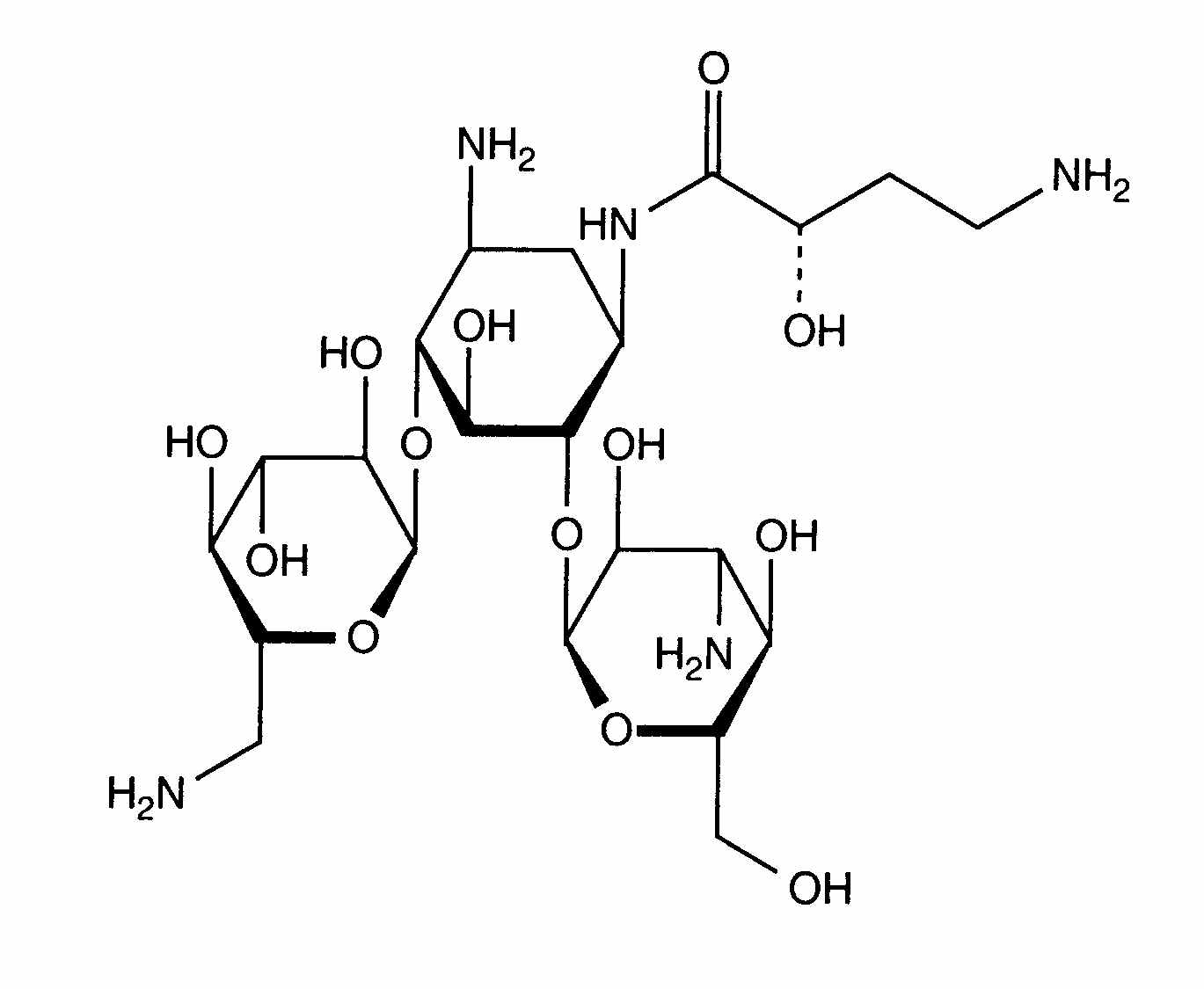
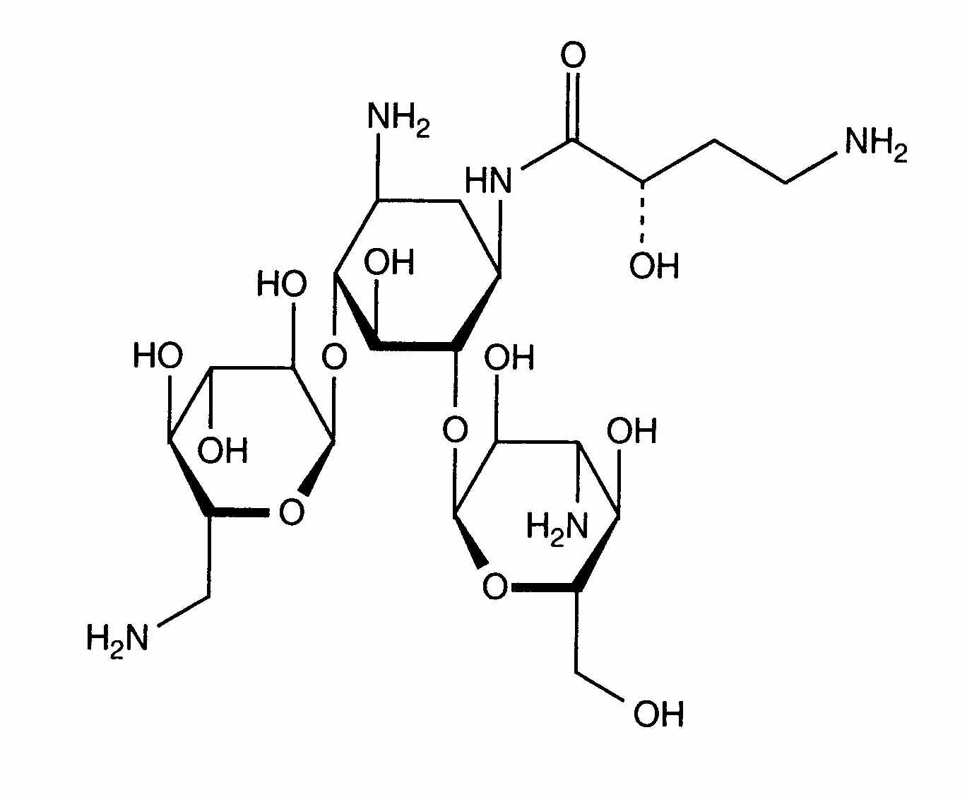
antibiotikum   Amikacin sulfate  
Injekcia
Stabilita roztokov Stabilita v zmesiach Faktory ovplyvňujúce stabilitu Kompatibility spôsob podania Odkazy na literatúru PDF
   Chemický vzorec  

Obchodný názov   Obchodný názov     

Obchodné názvy sú orientačné, a zloženie pomocných látok sa môže líšiť v závislosti od krajiny a výrobcu.

Adnet India
Agnicin Mexiko
Akamin Ekvádor
Akim Ekvádor
Amicacil Brazília
Amicilon Brazília
Amicin Malajzia
Amicip Venezuela
Amijeksin Turecko
Amikabiot Ekvádor, peru
Amikacin Egypt, Irán, Kanada, Malajzia, Nemecko, nový Zéland, Saudská Arábia, Spojené štáty Americké, Veľká Británia
Amikacina Argentína, Čile, Ekvádor, Kolumbia, Mexiko, peru, Španielsko, Taliansko, Venezuela
Amikacine Belgicko, Francúzsko, Holandsko, Maroko
Amikafur Mexiko
Amikagram peru
Amikalem Mexiko
Amikamed peru
Amikamek peru
Amikan Taliansko
Amikavax Venezuela
Amikaver Turecko
Amikayect Mexiko
Amikem peru
Amiketem Turecko
Amikin Austrália, Brazília, Egypt, Ekvádor, Írsko, Kolumbia, Maďarsko, Mexiko, peru, Poľsko, Saudská Arábia, Spojené štáty Americké, Švajčiarsko, Tunisko, Veľká Británia
Amiklin Francúzsko, Turecko
Amikosit Rumunsko, Tunisko, Turecko
Amikram peru
Amukin Belgicko, Holandsko, Luxembursko
Apalin Malajzia
Baxi K Čile, Mexiko
Behcacin India, Venezuela
Belka India
Biclin Fínsko, Mexiko, Nemecko, Portugalsko, Rakúsko, Španielsko, Švédsko
Biodacyna Poľsko
Biokacin Mexiko
Briklin Grécko
Cadicin India
Chemacin Taliansko
Cikabit India
Cinamica India
Cinas India
Consumonit Grécko
Domak India
Doxocar Argentína
Elcin India
Elmik India
Emcin India
Emica India
Farcyclin Grécko
Flexelite Grécko
Greini Argentína
Ipacin Irán
Itukacin peru
Kancin Grécko
Lanomycin Grécko
Lukadin Taliansko
Masmika India
Mediamik Taliansko
Micalpha Grécko
Micigen Mexiko
Migracin Taliansko
Mikacin Saudská Arábia
Nekacin Taliansko
Novamin Brazília
Orlobin Grécko
Remikin Grécko
Rovericlin Grécko
Uzix Grécko
Stabilita v zmesiach   Injekcia   Stabilita v zmesiach : Amikacin sulfate     
obal rozpúšťadlo koncentrácia Zlúčenina teplota uchovávanie Trvanie stability odkazy na lieteratúru
Sklo 0,9% chlorid sodný 5 mg/ml
Injekcia   Amikacin sulfate   
Injekcia   Cefpirome sulfate 50 mg/ml
23°C
8 hodín
Za svetla 280
Úroveň dôkazov B+
Sklo 5% glukóza 5 mg/ml
Injekcia   Amikacin sulfate   
Injekcia   Cefpirome sulfate 50 mg/ml
23°C
8 hodín
Za svetla 280
Úroveň dôkazov B+
Sklo 5% glukóza 10 mg/ml
Injekcia   Amikacin sulfate   
Injekcia   Filgrastim 40 µg/ml
25°C
4 hodín
nešpecifikované 104
Úroveň dôkazov B
Sklo Ringerov laktátový roztok 5 mg/ml
Injekcia   Amikacin sulfate   
Injekcia   Cefpirome sulfate 50 mg/ml
23°C
8 hodín
Za svetla 280
Úroveň dôkazov B+
Sklo 0,45 % chlorid sodný 5 mg/ml
Injekcia   Amikacin sulfate   
Injekcia   Cefpirome sulfate 50 mg/ml
23°C
8 hodín
Za svetla 280
Úroveň dôkazov B+
polyvinylchlorid (PVC) 0,9% chlorid sodný 1,5 mg/ml
Injekcia   Amikacin sulfate   
Injekcia   Ciprofloxacin lactate 1,5 mg/ml
25°C
48 hodín
Za svetla 434
polyvinylchlorid (PVC) 0,9% chlorid sodný 4 mg/ml
Injekcia   Amikacin sulfate   
Injekcia   Clindamycin phosphate 9 mg/ml
25°C
48 hodín
nešpecifikované 565
Úroveň dôkazov D
polyvinylchlorid (PVC) 0,9% chlorid sodný 1,5 mg/ml
Injekcia   Amikacin sulfate   
Injekcia   Ciprofloxacin lactate 1,5 mg/ml
4°C
48 hodín
Chránené pred svetlom 434
polyvinylchlorid (PVC) 5% glukóza 1,5 mg/ml
Injekcia   Amikacin sulfate   
Injekcia   Ciprofloxacin lactate 1,5 mg/ml
25°C
48 hodín
Za svetla 434
polyvinylchlorid (PVC) 5% glukóza 4 mg/ml
Injekcia   Amikacin sulfate   
Injekcia   Clindamycin phosphate 9 mg/ml
25°C
48 hodín
nešpecifikované 565
Úroveň dôkazov D
Injekčná striekačka polypropylén 0,9% chlorid sodný 190 mg/ml
Injekcia   Amikacin sulfate   
Injekcia   Clindamycin phosphate 90 mg/ml
22°C-23°C
48 hodín
Za svetla 639
Úroveň dôkazov D

  Mentions Légales