Última actualização :
27/01/2026
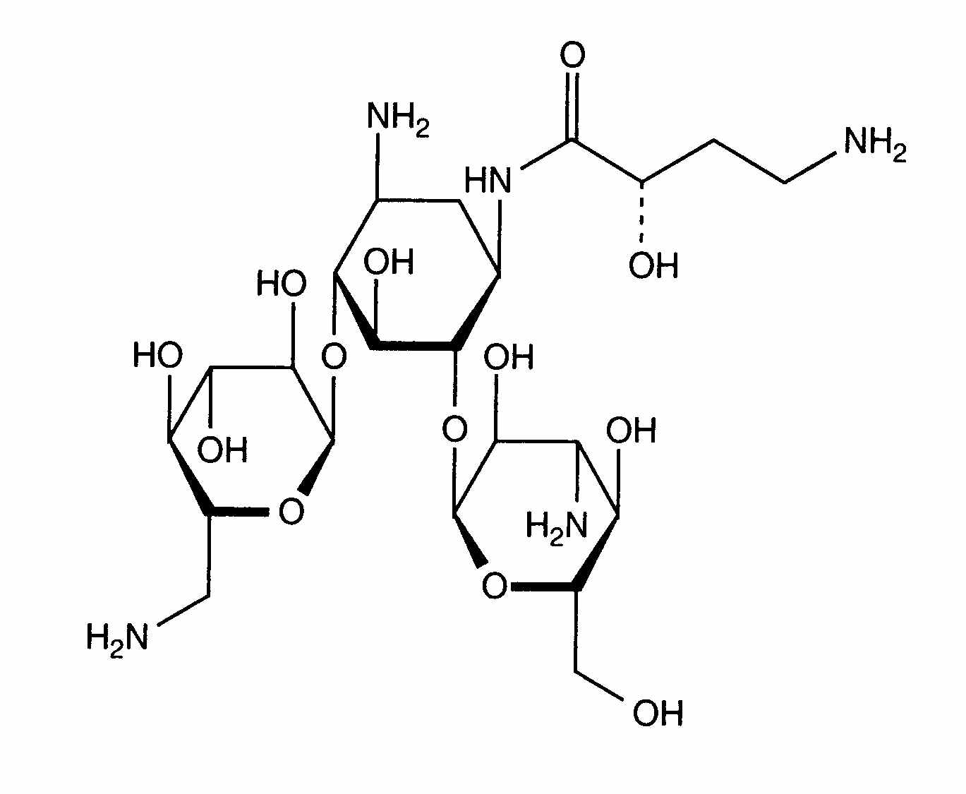
antibiótico   Amikacin sulfate  
injetável
Estabilidade em soluções simples Estabilidade em misturas Factores que afectam a sua estabilidade Compatibilidade Método de administração Bibliografía pdf
   estrutura química  

Nomes comerciais nos diversos países   Nomes comerciais nos diversos países     

OS NOMES COMERCIAIS SÃO INDICATIVOS E OS EXCIPIENTES DA FORMULAÇÃO PODEM SER DIFERENTES CONFORME O PAÍS E FABRICANTE.

Adnet Índia
Agnicin México
Akamin Equator
Akim Equator
Amicacil Brasil
Amicilon Brasil
Amicin Malásia
Amicip Venezuela
Amijeksin Turquia
Amikabiot Equator, Peru
Amikacin Alemanha, Arábia Saudita, Canadá, Egipto, Estados Unidos de América, Gran-bretanha, Irã, Malásia, nova Zelândia
Amikacina Argentina, Chilli, Colômbia, Equator, Espanha, Itália, México, Peru, Venezuela
Amikacine Bélgica, França, Marrocos, Países Baixos
Amikafur México
Amikagram Peru
Amikalem México
Amikamed Peru
Amikamek Peru
Amikan Itália
Amikavax Venezuela
Amikaver Turquia
Amikayect México
Amikem Peru
Amiketem Turquia
Amikin Arábia Saudita, Australia, Brasil, Colômbia, Egipto, Equator, Estados Unidos de América, Gran-bretanha, Hungria, Irlanda, México, Peru, Polonia, Suicia, Tunísia
Amiklin França, Turquia
Amikosit Romènia, Tunísia, Turquia
Amikram Peru
Amukin Bélgica, Luxemburgo, Países Baixos
Apalin Malásia
Baxi K Chilli, México
Behcacin Índia, Venezuela
Belka Índia
Biclin Alemanha, Austria, Espanha, Finlandia, México, Portugal, Suècia
Biodacyna Polonia
Biokacin México
Briklin Grècia
Cadicin Índia
Chemacin Itália
Cikabit Índia
Cinamica Índia
Cinas Índia
Consumonit Grècia
Domak Índia
Doxocar Argentina
Elcin Índia
Elmik Índia
Emcin Índia
Emica Índia
Farcyclin Grècia
Flexelite Grècia
Greini Argentina
Ipacin Irã
Itukacin Peru
Kancin Grècia
Lanomycin Grècia
Lukadin Itália
Masmika Índia
Mediamik Itália
Micalpha Grècia
Micigen México
Migracin Itália
Mikacin Arábia Saudita
Nekacin Itália
Novamin Brasil
Orlobin Grècia
Remikin Grècia
Rovericlin Grècia
Uzix Grècia
Estabilidade em misturas   injetável   Estabilidade em misturas : Amikacin sulfate     
Embalagem Solvente concentração molécula temperatura conservação Duração da estabilidade Bibliografia
vidro cloreto de sódio 0,9% 5 mg/ml
injetável   Amikacin sulfate   
injetável   Cefpirome sulfate 50 mg/ml
23°C
8 hora
luz 280
Nível de evidência B+
vidro Glucose 5% 5 mg/ml
injetável   Amikacin sulfate   
injetável   Cefpirome sulfate 50 mg/ml
23°C
8 hora
luz 280
Nível de evidência B+
vidro Glucose 5% 10 mg/ml
injetável   Amikacin sulfate   
injetável   Filgrastim 40 µg/ml
25°C
4 hora
no especificado 104
Nível de evidência B
vidro Ringer lactato 5 mg/ml
injetável   Amikacin sulfate   
injetável   Cefpirome sulfate 50 mg/ml
23°C
8 hora
luz 280
Nível de evidência B+
vidro cloreto de sódio 0,45% 5 mg/ml
injetável   Amikacin sulfate   
injetável   Cefpirome sulfate 50 mg/ml
23°C
8 hora
luz 280
Nível de evidência B+
Cloreto de polivinilo cloreto de sódio 0,9% 1,5 mg/ml
injetável   Amikacin sulfate   
injetável   Ciprofloxacin lactate 1,5 mg/ml
25°C
48 hora
luz 434
Cloreto de polivinilo cloreto de sódio 0,9% 4 mg/ml
injetável   Amikacin sulfate   
injetável   Clindamycin phosphate 9 mg/ml
25°C
48 hora
no especificado 565
Nível de evidência D
Cloreto de polivinilo cloreto de sódio 0,9% 1,5 mg/ml
injetável   Amikacin sulfate   
injetável   Ciprofloxacin lactate 1,5 mg/ml
4°C
48 hora
ao abrigo da luz 434
Cloreto de polivinilo Glucose 5% 1,5 mg/ml
injetável   Amikacin sulfate   
injetável   Ciprofloxacin lactate 1,5 mg/ml
25°C
48 hora
luz 434
Cloreto de polivinilo Glucose 5% 4 mg/ml
injetável   Amikacin sulfate   
injetável   Clindamycin phosphate 9 mg/ml
25°C
48 hora
no especificado 565
Nível de evidência D
seringa polipropylen cloreto de sódio 0,9% 190 mg/ml
injetável   Amikacin sulfate   
injetável   Clindamycin phosphate 90 mg/ml
22°C-23°C
48 hora
luz 639
Nível de evidência D

  Mentions Légales