Poslední aktualizace :
27/01/2026
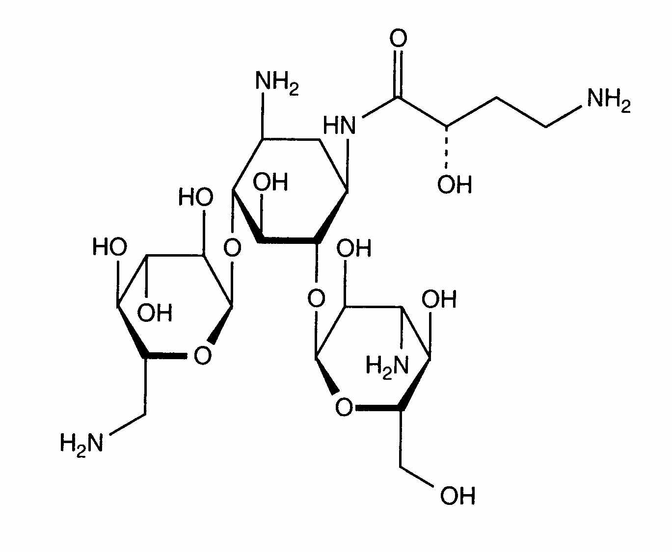
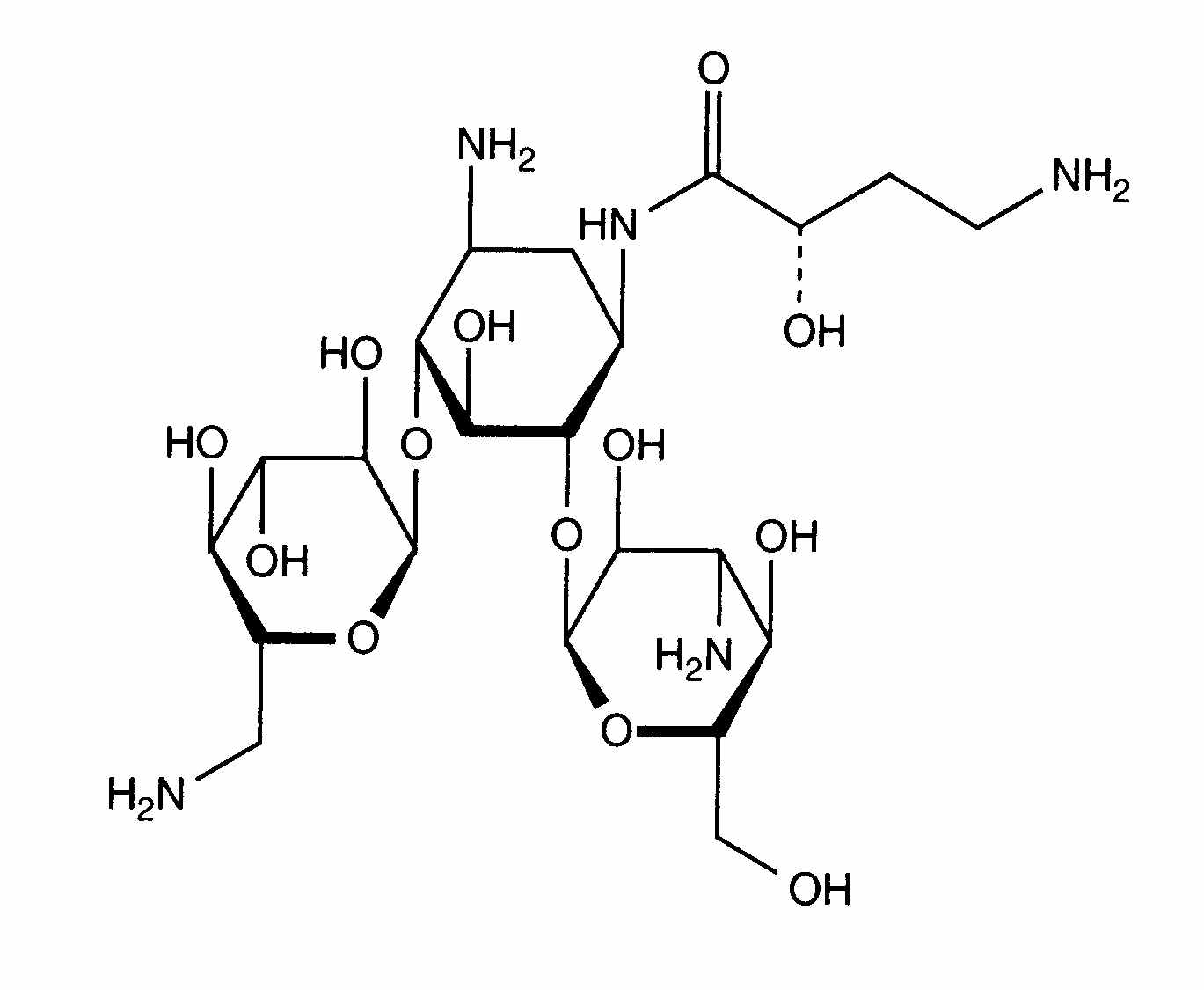
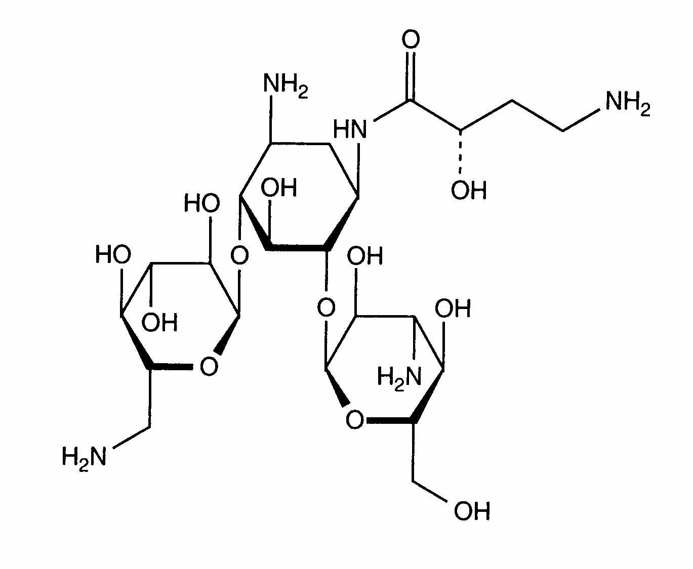
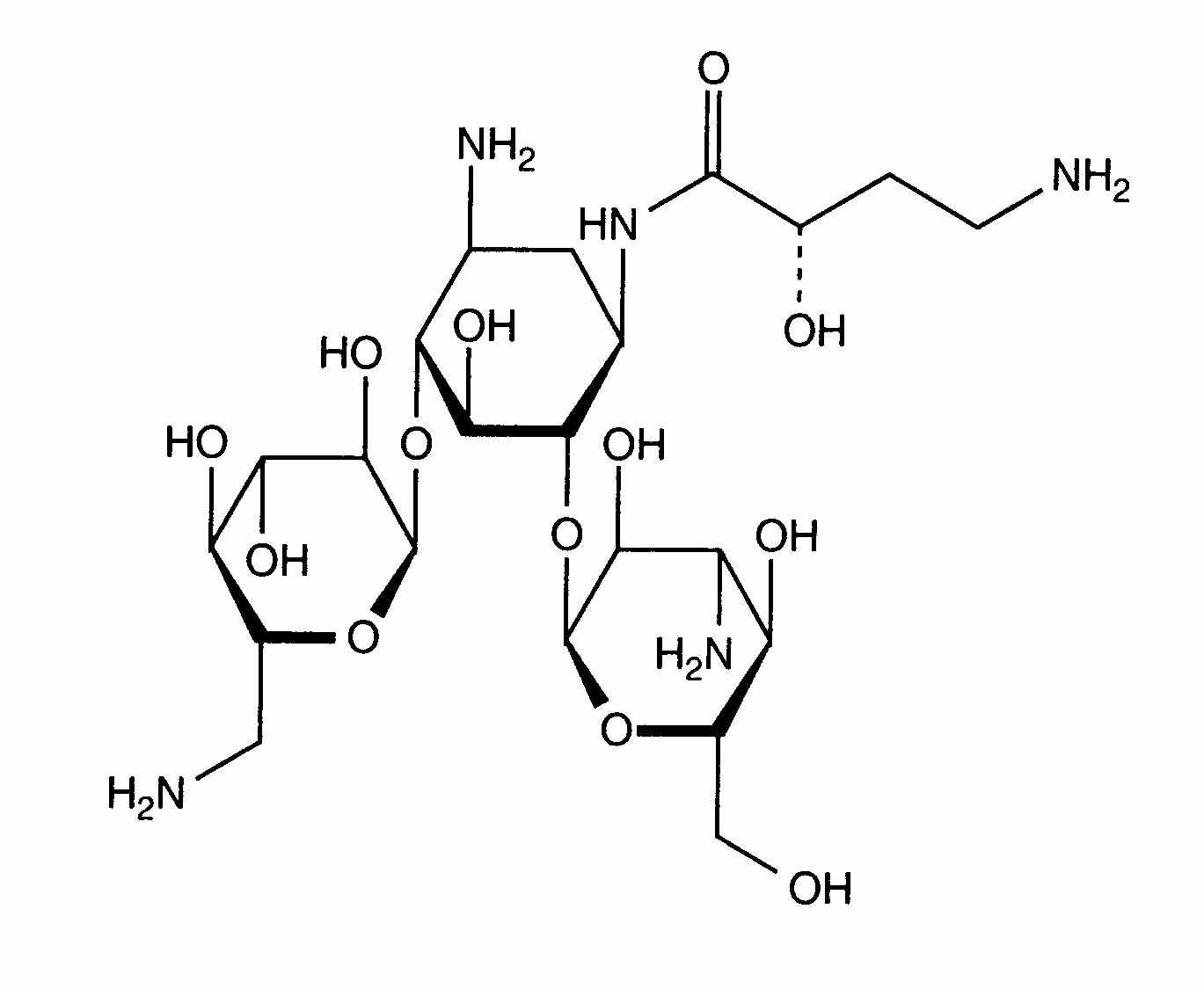
Antibiotikum   Amikacin sulfate  
injekce
Stabilita roztoků Stabilita směsí Faktory ovlivňující stabilitu Kompatibilita Způsoby aplikace Odkazy pdf
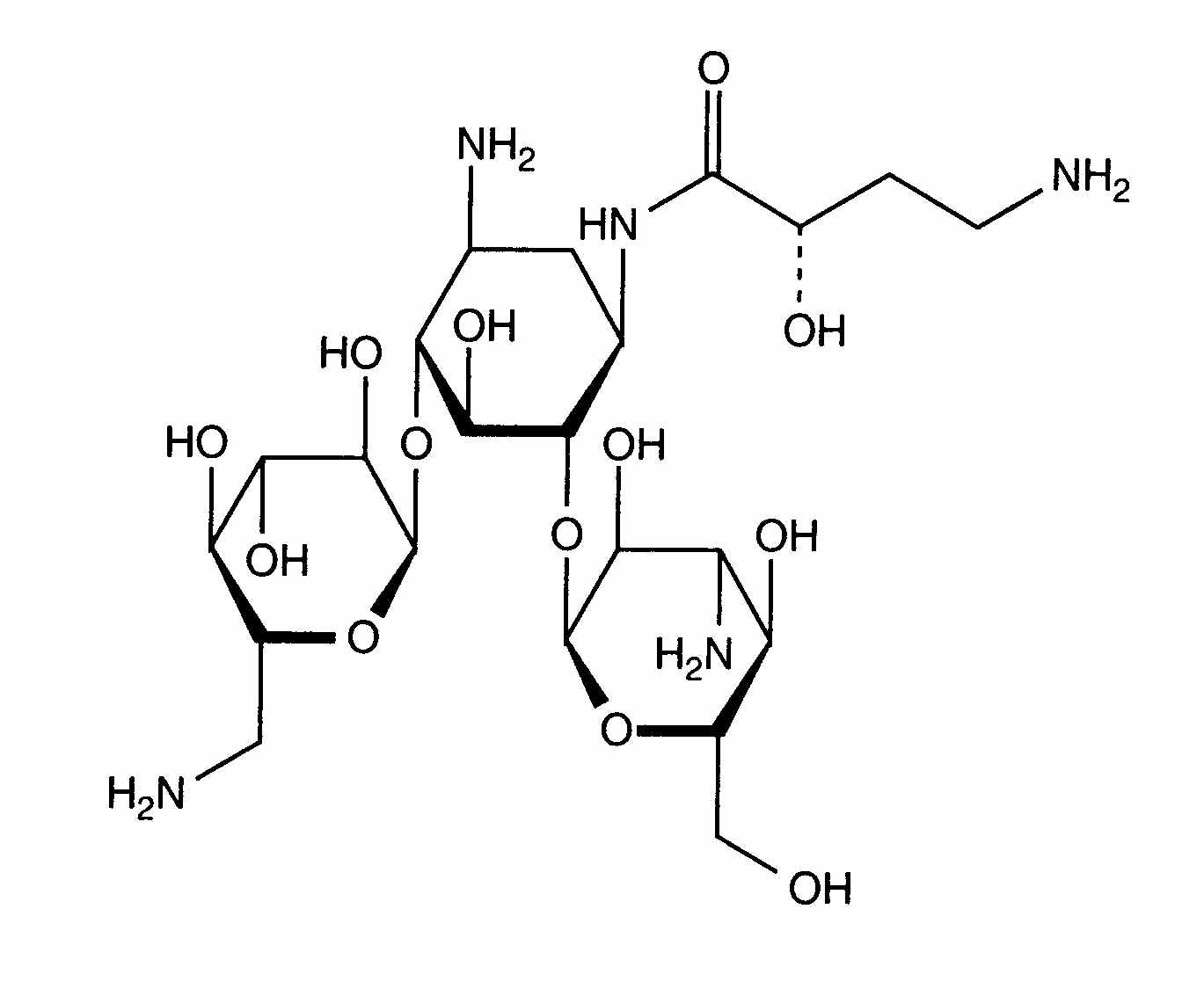
   Chemický vzorec  

Obchodní název   Obchodní název     

Trade names are indicative and excipients composition can be different depending on the country and manufacturers

Adnet Indie
Agnicin Mexiko
Akamin Ekvádor
Akim Ekvádor
Amicacil BrazÌlie
Amicilon BrazÌlie
Amicin Malajsie
Amicip Venezuela
Amijeksin Turecko
Amikabiot Ekvádor, Peru
Amikacin Egypt, Írán, Kanada, Malajsie, NÏmecko, nový Zéland, Saúdská Arábie, USA, Velká Británie
Amikacina äpanÏlsko, Argentina, Chile, Ekvádor, Itálie, Kolumbie, Mexiko, Peru, Venezuela
Amikacine Belgie, Francie, Maroko, Nizozemsko
Amikafur Mexiko
Amikagram Peru
Amikalem Mexiko
Amikamed Peru
Amikamek Peru
Amikan Itálie
Amikavax Venezuela
Amikaver Turecko
Amikayect Mexiko
Amikem Peru
Amiketem Turecko
Amikin Austrálie, BrazÌlie, Egypt, Ekvádor, Irsko, Kolumbie, MaÔarsko, Mexiko, Peru, Polsko, Saúdská Arábie, Švýcarsko, Tunisko, USA, Velká Británie
Amiklin Francie, Turecko
Amikosit Rumunsko, Tunisko, Turecko
Amikram Peru
Amukin Belgie, Lucembursko, Nizozemsko
Apalin Malajsie
Baxi K Chile, Mexiko
Behcacin Indie, Venezuela
Belka Indie
Biclin äpanÏlsko, Finsko, Mexiko, NÏmecko, Portugalsko, Rakousko, Švédsko
Biodacyna Polsko
Biokacin Mexiko
Briklin ÿecko
Cadicin Indie
Chemacin Itálie
Cikabit Indie
Cinamica Indie
Cinas Indie
Consumonit ÿecko
Domak Indie
Doxocar Argentina
Elcin Indie
Elmik Indie
Emcin Indie
Emica Indie
Farcyclin ÿecko
Flexelite ÿecko
Greini Argentina
Ipacin Írán
Itukacin Peru
Kancin ÿecko
Lanomycin ÿecko
Lukadin Itálie
Masmika Indie
Mediamik Itálie
Micalpha ÿecko
Micigen Mexiko
Migracin Itálie
Mikacin Saúdská Arábie
Nekacin Itálie
Novamin BrazÌlie
Orlobin ÿecko
Remikin ÿecko
Rovericlin ÿecko
Uzix ÿecko
Stabilita směsí   injekce   Stabilita směsí : Amikacin sulfate     
Obal RozpouötÏdlo Koncentrace SlouËenina Teplota Uchovávání Trvání stability Odkazy
Sklo Chlorid sodný 0,9% 5 mg/ml
injekce   Amikacin sulfate   
injekce   Cefpirome sulfate 50 mg/ml
23°C
8 Hodina
SvÏtlo 280
Úroveň zkoušky B+
Sklo GlukÛza 5% 5 mg/ml
injekce   Amikacin sulfate   
injekce   Cefpirome sulfate 50 mg/ml
23°C
8 Hodina
SvÏtlo 280
Úroveň zkoušky B+
Sklo GlukÛza 5% 10 mg/ml
injekce   Amikacin sulfate   
injekce   Filgrastim 40 µg/ml
25°C
4 Hodina
Nespecifikováno 104
Úroveň zkoušky B
Sklo RingerŐs laktátový roztok 5 mg/ml
injekce   Amikacin sulfate   
injekce   Cefpirome sulfate 50 mg/ml
23°C
8 Hodina
SvÏtlo 280
Úroveň zkoušky B+
Sklo Chlorid sodný 0,45% 5 mg/ml
injekce   Amikacin sulfate   
injekce   Cefpirome sulfate 50 mg/ml
23°C
8 Hodina
SvÏtlo 280
Úroveň zkoušky B+
Polyvinyl chlorid Chlorid sodný 0,9% 1,5 mg/ml
injekce   Amikacin sulfate   
injekce   Ciprofloxacin lactate 1,5 mg/ml
25°C
48 Hodina
SvÏtlo 434
Polyvinyl chlorid Chlorid sodný 0,9% 4 mg/ml
injekce   Amikacin sulfate   
injekce   Clindamycin phosphate 9 mg/ml
25°C
48 Hodina
Nespecifikováno 565
Úroveň zkoušky D
Polyvinyl chlorid Chlorid sodný 0,9% 1,5 mg/ml
injekce   Amikacin sulfate   
injekce   Ciprofloxacin lactate 1,5 mg/ml
4°C
48 Hodina
Chráněno před světlem 434
Polyvinyl chlorid GlukÛza 5% 1,5 mg/ml
injekce   Amikacin sulfate   
injekce   Ciprofloxacin lactate 1,5 mg/ml
25°C
48 Hodina
SvÏtlo 434
Polyvinyl chlorid GlukÛza 5% 4 mg/ml
injekce   Amikacin sulfate   
injekce   Clindamycin phosphate 9 mg/ml
25°C
48 Hodina
Nespecifikováno 565
Úroveň zkoušky D
stříkačka polypropylen Chlorid sodný 0,9% 190 mg/ml
injekce   Amikacin sulfate   
injekce   Clindamycin phosphate 90 mg/ml
22°C-23°C
48 Hodina
SvÏtlo 639
Úroveň zkoušky D

  Mentions Légales