最新更新 :
27/01/2026
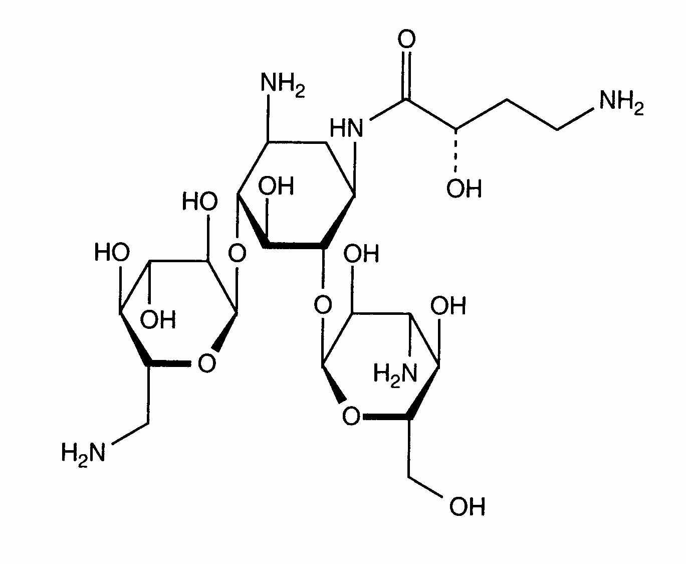
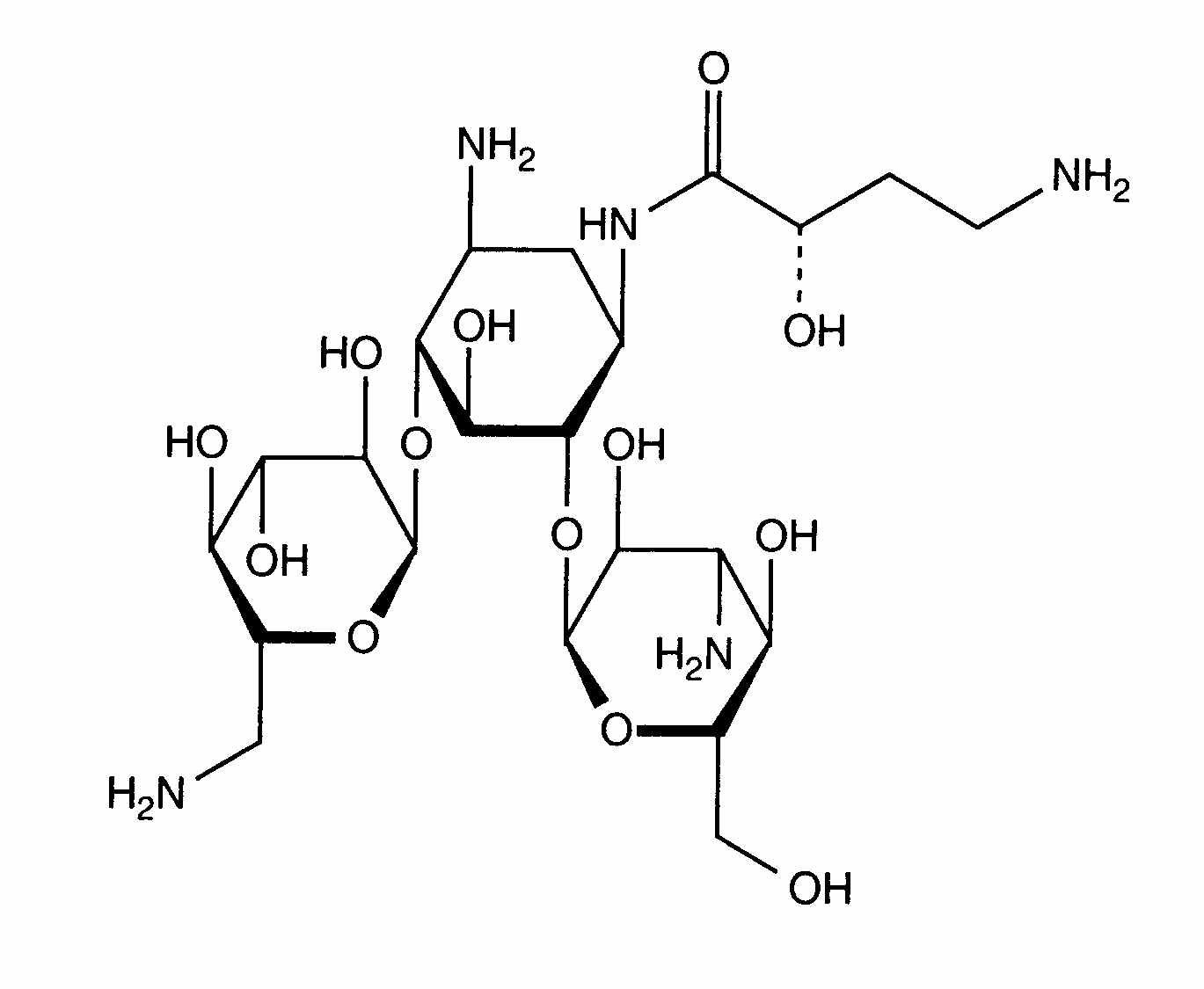
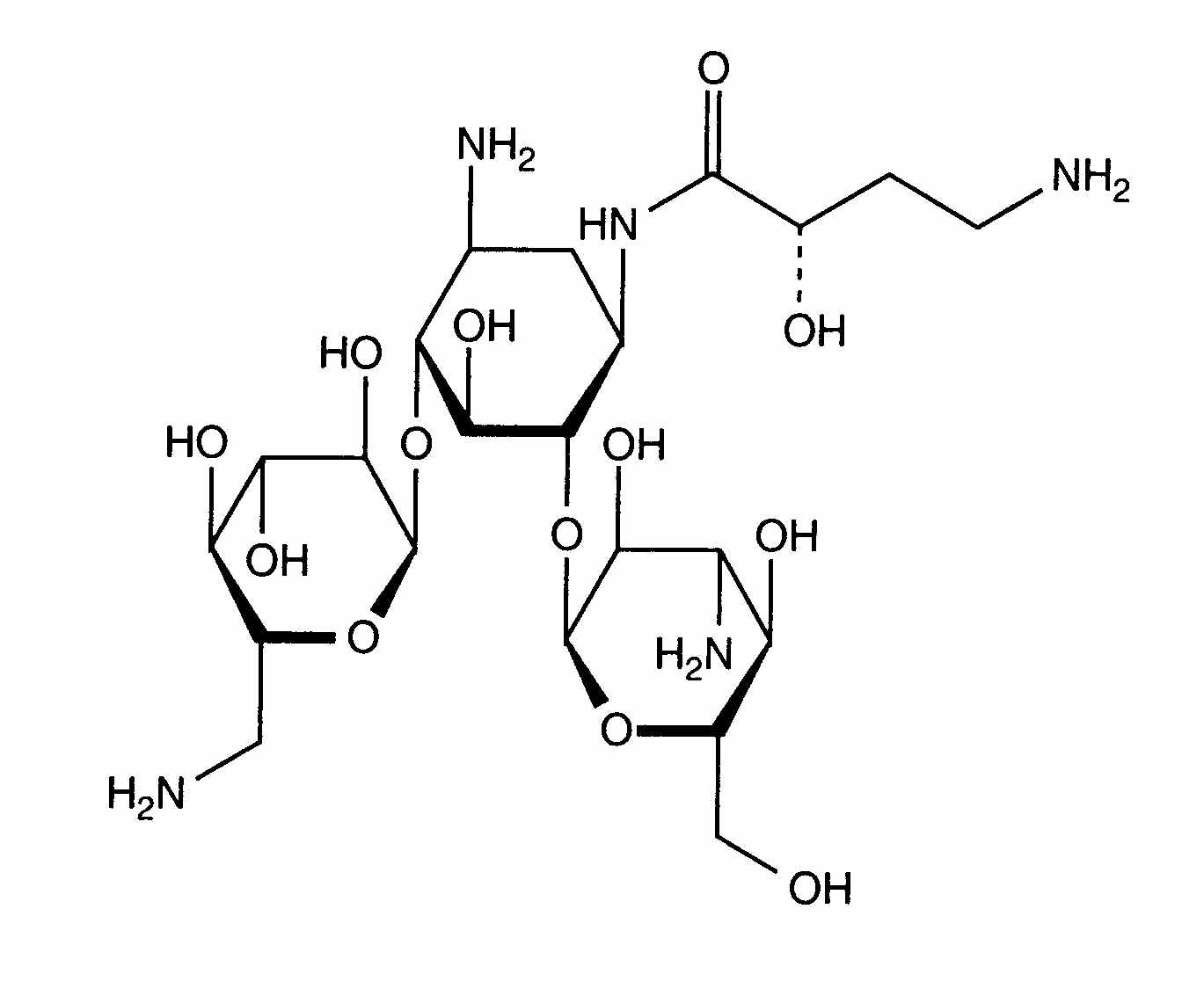
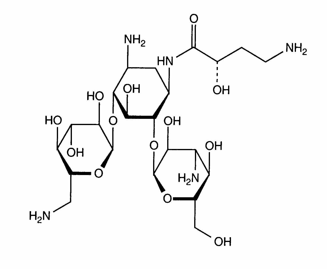
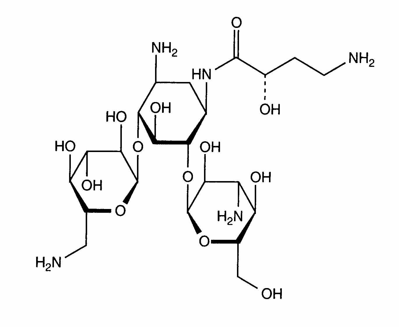
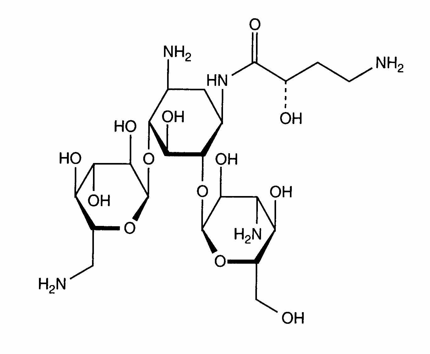
抗生素   Amikacin sulfate  
注射液
溶液稳定性 混合物稳定性 影响稳定性的因素 兼容性 用药途径 引用文献 PDF
   化学式  

商品名   商品名     

商品名仅供参考, 药品所用的辅料可能依国家或厂商不同有所不同。

Adnet 印度
Agnicin 墨西哥
Akamin 厄瓜多尔
Akim 厄瓜多尔
Amicacil 巴西
Amicilon 巴西
Amicin 马来西亚
Amicip 委内瑞拉
Amijeksin 土耳其
Amikabiot 厄瓜多尔, 秘鲁
Amikacin 伊朗, 加拿大, 埃及, 德国, 新西蘭, 沙特阿拉伯, 美国, 英国, 马来西亚
Amikacina 厄瓜多尔, 哥伦比亚, 墨西哥, 委内瑞拉, 意大利, 智利, 秘鲁, 西班牙, 阿根廷
Amikacine 摩洛哥, 比利时, 法国, 荷兰
Amikafur 墨西哥
Amikagram 秘鲁
Amikalem 墨西哥
Amikamed 秘鲁
Amikamek 秘鲁
Amikan 意大利
Amikavax 委内瑞拉
Amikaver 土耳其
Amikayect 墨西哥
Amikem 秘鲁
Amiketem 土耳其
Amikin 匈牙利, 厄瓜多尔, 哥伦比亚, 埃及, 墨西哥, 巴西, 沙特阿拉伯, 波兰, 澳大利亚, 爱尔兰, 瑞士, 秘鲁, 突尼斯, 美国, 英国
Amiklin 土耳其, 法国
Amikosit 土耳其, 突尼斯, 罗马尼亚
Amikram 秘鲁
Amukin 卢森堡, 比利时, 荷兰
Apalin 马来西亚
Baxi K 墨西哥, 智利
Behcacin 印度, 委内瑞拉
Belka 印度
Biclin 墨西哥, 奥地利, 德国, 瑞典, 芬兰, 葡萄牙, 西班牙
Biodacyna 波兰
Biokacin 墨西哥
Briklin 希腊
Cadicin 印度
Chemacin 意大利
Cikabit 印度
Cinamica 印度
Cinas 印度
Consumonit 希腊
Domak 印度
Doxocar 阿根廷
Elcin 印度
Elmik 印度
Emcin 印度
Emica 印度
Farcyclin 希腊
Flexelite 希腊
Greini 阿根廷
Ipacin 伊朗
Itukacin 秘鲁
Kancin 希腊
Lanomycin 希腊
Lukadin 意大利
Masmika 印度
Mediamik 意大利
Micalpha 希腊
Micigen 墨西哥
Migracin 意大利
Mikacin 沙特阿拉伯
Nekacin 意大利
Novamin 巴西
Orlobin 希腊
Remikin 希腊
Rovericlin 希腊
Uzix 希腊
混合物稳定性   注射液   混合物稳定性 : Amikacin sulfate     
容器 溶剂 浓度 分子 温度 保存 穩定持續時間 引用文献
玻璃 NaCl 0,9% 5 mg/ml
注射液   Amikacin sulfate   
注射液   Cefpirome sulfate 50 mg/ml
23°C
8 小时
光 280
B+级
玻璃 葡萄糖5% 5 mg/ml
注射液   Amikacin sulfate   
注射液   Cefpirome sulfate 50 mg/ml
23°C
8 小时
光 280
B+级
玻璃 葡萄糖5% 10 mg/ml
注射液   Amikacin sulfate   
注射液   Filgrastim 40 µg/ml
25°C
4 小时
无特殊要求 104
B级
玻璃 Ringer乳酸溶液 5 mg/ml
注射液   Amikacin sulfate   
注射液   Cefpirome sulfate 50 mg/ml
23°C
8 小时
光 280
B+级
玻璃 NaCl 0.45% 5 mg/ml
注射液   Amikacin sulfate   
注射液   Cefpirome sulfate 50 mg/ml
23°C
8 小时
光 280
B+级
聚氯乙烯 NaCl 0,9% 1,5 mg/ml
注射液   Amikacin sulfate   
注射液   Ciprofloxacin lactate 1,5 mg/ml
25°C
48 小时
光 434
聚氯乙烯 NaCl 0,9% 4 mg/ml
注射液   Amikacin sulfate   
注射液   Clindamycin phosphate 9 mg/ml
25°C
48 小时
无特殊要求 565
D级
聚氯乙烯 NaCl 0,9% 1,5 mg/ml
注射液   Amikacin sulfate   
注射液   Ciprofloxacin lactate 1,5 mg/ml
4°C
48 小时
避光 434
聚氯乙烯 葡萄糖5% 1,5 mg/ml
注射液   Amikacin sulfate   
注射液   Ciprofloxacin lactate 1,5 mg/ml
25°C
48 小时
光 434
聚氯乙烯 葡萄糖5% 4 mg/ml
注射液   Amikacin sulfate   
注射液   Clindamycin phosphate 9 mg/ml
25°C
48 小时
无特殊要求 565
D级
注射器  聚丙烯 NaCl 0,9% 190 mg/ml
注射液   Amikacin sulfate   
注射液   Clindamycin phosphate 90 mg/ml
22°C-23°C
48 小时
光 639
D级

  Mentions Légales