Seneste opdatering :
27/01/2026
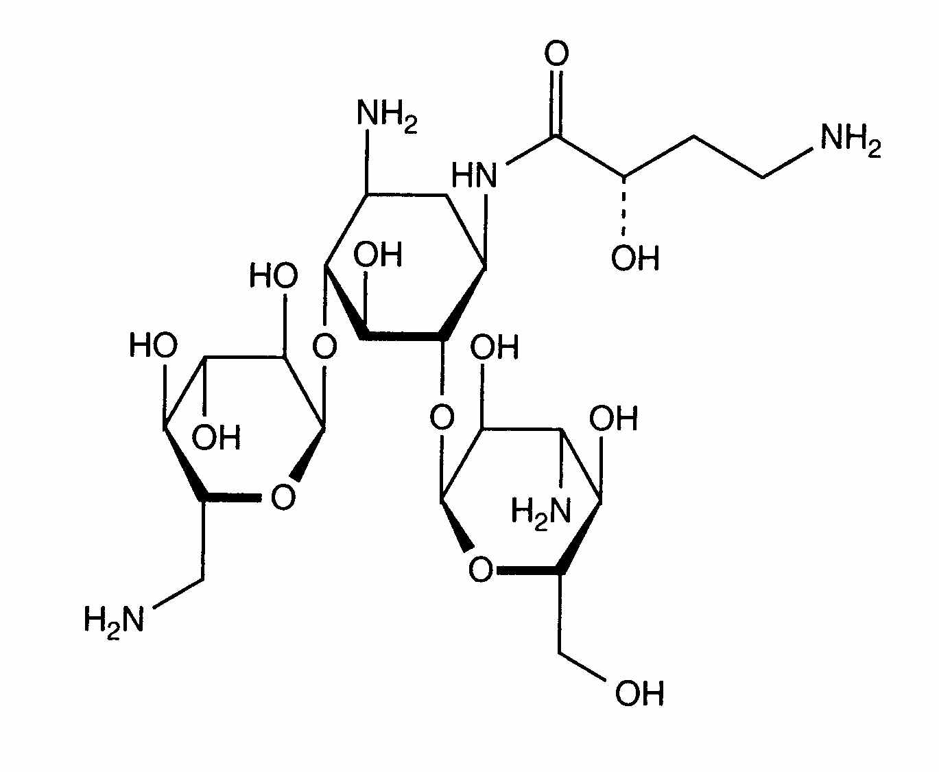
Antibiotisk   Amikacin sulfate  
Injektion
Stabilitet i (vandige) opløsninger Stabilitet i blandinger Faktorer der påvirker stabiliteten Kompatibilitet Administrationsvej Bibliografi pdf
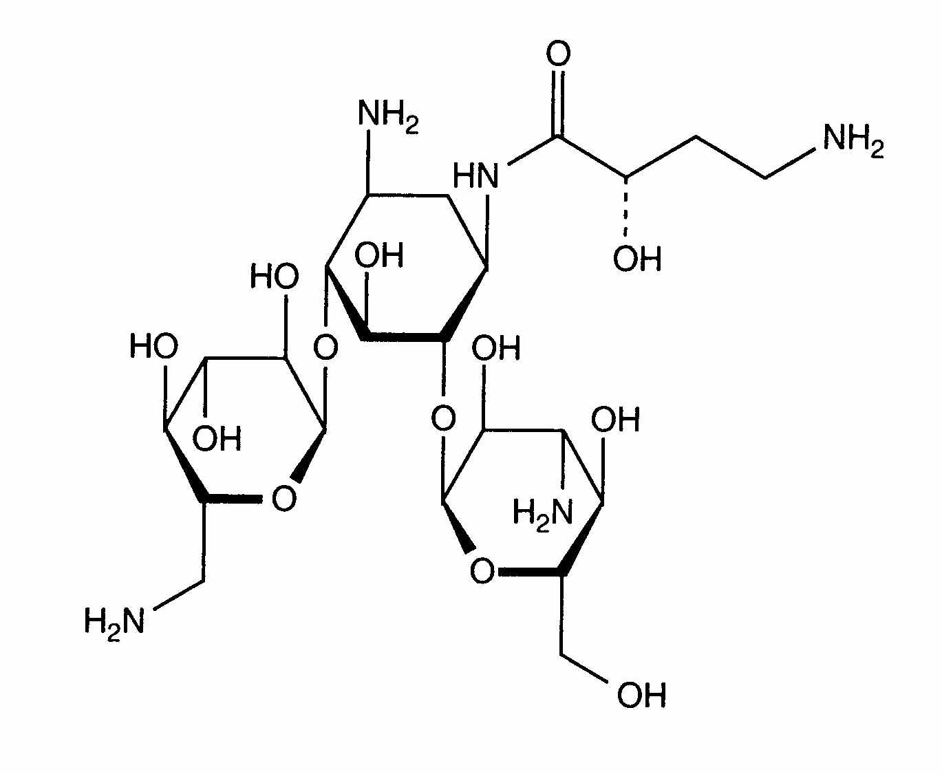
   Kemisk struktur  

Handelsnavn   Handelsnavn     

Handel navne er vejledende og hjælpestoffer sammensætning kan være forskellig afhængigt af landet og laboratorier

Adnet Indien
Agnicin Mexico
Akamin Ecuador
Akim Ecuador
Amicacil Brasilien
Amicilon Brasilien
Amicin Malaysia
Amicip Venezuela
Amijeksin Tyrkiet
Amikabiot Ecuador, Marokko
Amikacin Canada, Iran, Malaysia, New Zealand, Saudi-Arabien, Storbritanien, Tyskland, USA, Ægypten
Amikacina Argentina, Chile, Colombia, Ecuador, Italien, Marokko, Mexico, Spanien, Venezuela
Amikacine Belgien, Frankrig, Holland, Marokko
Amikafur Mexico
Amikagram Marokko
Amikalem Mexico
Amikamed Marokko
Amikamek Marokko
Amikan Italien
Amikavax Venezuela
Amikaver Tyrkiet
Amikayect Mexico
Amikem Marokko
Amiketem Tyrkiet
Amikin Australien, Brasilien, Colombia, Ecuador, Irland, Marokko, Mexico, Polen, Saudi-Arabien, Schweiz, Storbritanien, Tunesien, Ungarn, USA, Ægypten
Amiklin Frankrig, Tyrkiet
Amikosit Rumænien, Tunesien, Tyrkiet
Amikram Marokko
Amukin Belgien, Holland, Luxemborg
Apalin Malaysia
Baxi K Chile, Mexico
Behcacin Indien, Venezuela
Belka Indien
Biclin Finland, Mexico, Portugal, Spanien, Sverige, Tyskland, Østrig
Biodacyna Polen
Biokacin Mexico
Briklin Grækenland
Cadicin Indien
Chemacin Italien
Cikabit Indien
Cinamica Indien
Cinas Indien
Consumonit Grækenland
Domak Indien
Doxocar Argentina
Elcin Indien
Elmik Indien
Emcin Indien
Emica Indien
Farcyclin Grækenland
Flexelite Grækenland
Greini Argentina
Ipacin Iran
Itukacin Marokko
Kancin Grækenland
Lanomycin Grækenland
Lukadin Italien
Masmika Indien
Mediamik Italien
Micalpha Grækenland
Micigen Mexico
Migracin Italien
Mikacin Saudi-Arabien
Nekacin Italien
Novamin Brasilien
Orlobin Grækenland
Remikin Grækenland
Rovericlin Grækenland
Uzix Grækenland
Stabilitet i blandinger   Injektion   Stabilitet i blandinger : Amikacin sulfate     
Beholder Opløsningsmiddel Koncentration Molekyle Temperatur Konservering Varighed af stabilitet Bibliografi
Glas 0,9 % Natriumklorid 5 mg/ml
Injektion   Amikacin sulfate   
Injektion   Cefpirome sulfate 50 mg/ml
23°C
8 Time
Lys 280
Level af bevismateriale B+
Glas 5 % Glukose 5 mg/ml
Injektion   Amikacin sulfate   
Injektion   Cefpirome sulfate 50 mg/ml
23°C
8 Time
Lys 280
Level af bevismateriale B+
Glas 5 % Glukose 10 mg/ml
Injektion   Amikacin sulfate   
Injektion   Filgrastim 40 µg/ml
25°C
4 Time
Ikke nærmere angivet 104
Level af bevismateriale B
Glas Ringer laktat 5 mg/ml
Injektion   Amikacin sulfate   
Injektion   Cefpirome sulfate 50 mg/ml
23°C
8 Time
Lys 280
Level af bevismateriale B+
Glas 0,45 % Natriumklorid 5 mg/ml
Injektion   Amikacin sulfate   
Injektion   Cefpirome sulfate 50 mg/ml
23°C
8 Time
Lys 280
Level af bevismateriale B+
Polyvinylklorid 0,9 % Natriumklorid 1,5 mg/ml
Injektion   Amikacin sulfate   
Injektion   Ciprofloxacin lactate 1,5 mg/ml
25°C
48 Time
Lys 434
Polyvinylklorid 0,9 % Natriumklorid 4 mg/ml
Injektion   Amikacin sulfate   
Injektion   Clindamycin phosphate 9 mg/ml
25°C
48 Time
Ikke nærmere angivet 565
Level af bevismateriale D
Polyvinylklorid 0,9 % Natriumklorid 1,5 mg/ml
Injektion   Amikacin sulfate   
Injektion   Ciprofloxacin lactate 1,5 mg/ml
4°C
48 Time
Beskyt mod lys 434
Polyvinylklorid 5 % Glukose 1,5 mg/ml
Injektion   Amikacin sulfate   
Injektion   Ciprofloxacin lactate 1,5 mg/ml
25°C
48 Time
Lys 434
Polyvinylklorid 5 % Glukose 4 mg/ml
Injektion   Amikacin sulfate   
Injektion   Clindamycin phosphate 9 mg/ml
25°C
48 Time
Ikke nærmere angivet 565
Level af bevismateriale D
sprøjte polypropylen 0,9 % Natriumklorid 190 mg/ml
Injektion   Amikacin sulfate   
Injektion   Clindamycin phosphate 90 mg/ml
22°C-23°C
48 Time
Lys 639
Level af bevismateriale D

  Mentions Légales