Siste oppdatering :
27/01/2026
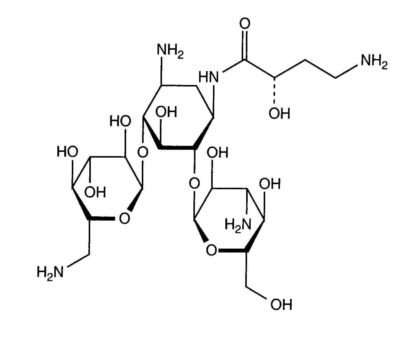
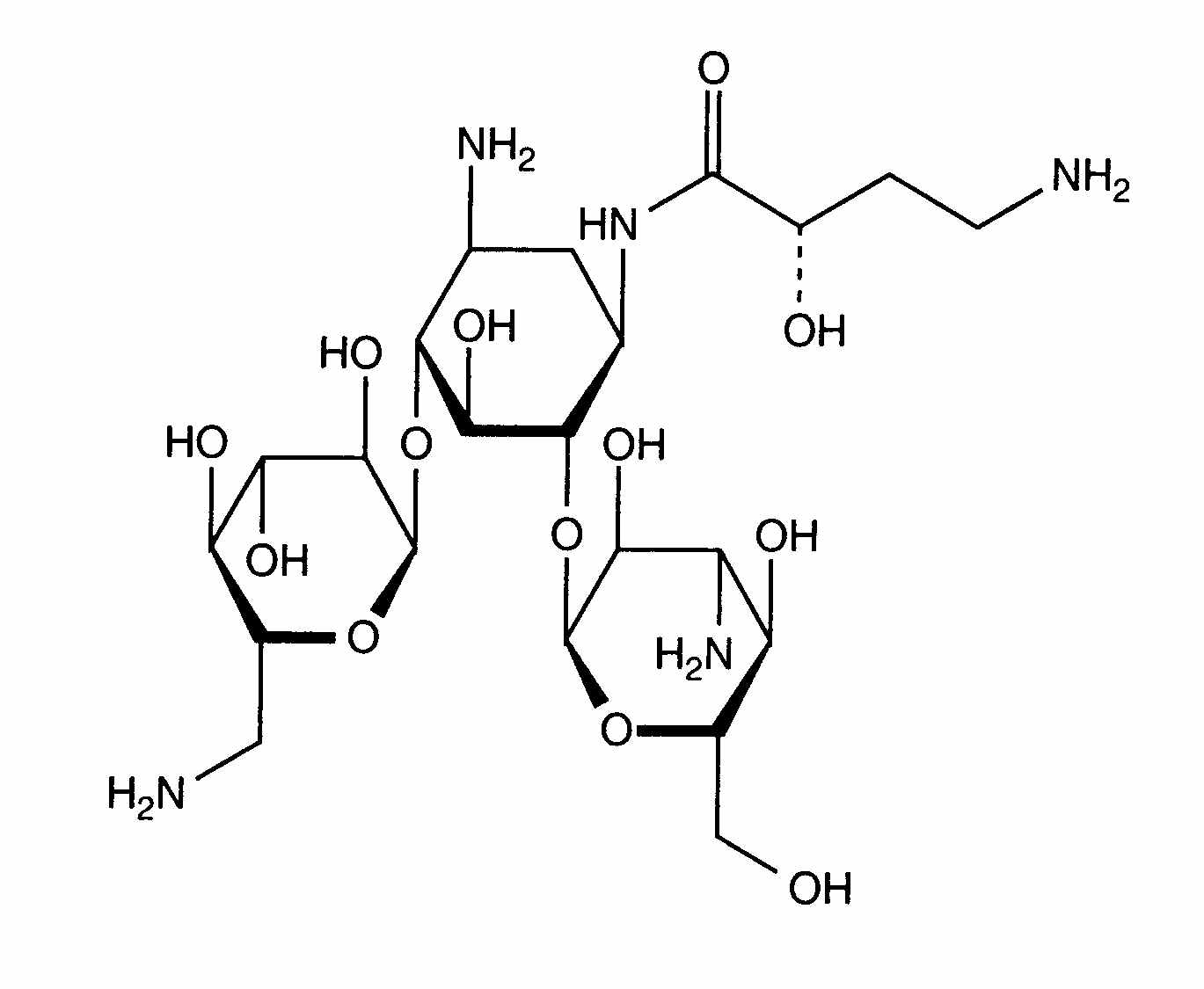
Antibiotika   Amikacin sulfate  
Injeksjon
Oppløsningsstabilitet Stabilitet i blandinger Faktorer som påvirker stabiliteten Kompatibilitet Administrasjonsmåte Referanser pdf
   Kjemisk struktur  

Handelsnavn   Handelsnavn     

Handelsnavn er veiledende og sammensetning av hjelpestoffer kan være forskjellig avhengig av land og produsent

Adnet India
Agnicin Mexico
Akamin Ecuador
Akim Ecuador
Amicacil Brasil
Amicilon Brasil
Amicin Malaysia
Amicip Venezuela
Amijeksin Tyrkia
Amikabiot Ecuador, Peru
Amikacin Canada, Egypt, Iran, Malaysia, New Zealand, Saudi-Arabia, Storbritannia, Tyskland, USA
Amikacina Argentina, Chile, Colombia, Ecuador, Italia, Mexico, Peru, Spania, Venezuela
Amikacine Belgia, Frankrike, Marokko, Nederland
Amikafur Mexico
Amikagram Peru
Amikalem Mexico
Amikamed Peru
Amikamek Peru
Amikan Italia
Amikavax Venezuela
Amikaver Tyrkia
Amikayect Mexico
Amikem Peru
Amiketem Tyrkia
Amikin Australia, Brasil, Colombia, Ecuador, Egypt, Irland, Mexico, Peru, Polen, Saudi-Arabia, Storbritannia, Sveits, Tunisia, Ungarn, USA
Amiklin Frankrike, Tyrkia
Amikosit Romania, Tunisia, Tyrkia
Amikram Peru
Amukin Belgia, Luxembourg, Nederland
Apalin Malaysia
Baxi K Chile, Mexico
Behcacin India, Venezuela
Belka India
Biclin Finland, Mexico, Portugal, Spania, Sverige, Tyskland, Østerrike
Biodacyna Polen
Biokacin Mexico
Briklin Hellas
Cadicin India
Chemacin Italia
Cikabit India
Cinamica India
Cinas India
Consumonit Hellas
Domak India
Doxocar Argentina
Elcin India
Elmik India
Emcin India
Emica India
Farcyclin Hellas
Flexelite Hellas
Greini Argentina
Ipacin Iran
Itukacin Peru
Kancin Hellas
Lanomycin Hellas
Lukadin Italia
Masmika India
Mediamik Italia
Micalpha Hellas
Micigen Mexico
Migracin Italia
Mikacin Saudi-Arabia
Nekacin Italia
Novamin Brasil
Orlobin Hellas
Remikin Hellas
Rovericlin Hellas
Uzix Hellas
Stabilitet i blandinger   Injeksjon   Stabilitet i blandinger : Amikacin sulfate     
Beholder Oppløsningsmiddel Konsentrasjon Legemiddel Temperatur Oppbevaring Varighet av stabilitet Referanser
Glass Natriumklorid 0,9 % 5 mg/ml
Injeksjon   Amikacin sulfate   
Injeksjon   Cefpirome sulfate 50 mg/ml
23°C
8 Tid
Lys 280
Bevisgrad B+
Glass Glukose 5 % 5 mg/ml
Injeksjon   Amikacin sulfate   
Injeksjon   Cefpirome sulfate 50 mg/ml
23°C
8 Tid
Lys 280
Bevisgrad B+
Glass Glukose 5 % 10 mg/ml
Injeksjon   Amikacin sulfate   
Injeksjon   Filgrastim 40 µg/ml
25°C
4 Tid
Ikke angitt 104
Bevisgrad B
Glass Ringers laktatoppløsning 5 mg/ml
Injeksjon   Amikacin sulfate   
Injeksjon   Cefpirome sulfate 50 mg/ml
23°C
8 Tid
Lys 280
Bevisgrad B+
Glass Natriumklorid 0,45 % 5 mg/ml
Injeksjon   Amikacin sulfate   
Injeksjon   Cefpirome sulfate 50 mg/ml
23°C
8 Tid
Lys 280
Bevisgrad B+
Polyvinylklorid Natriumklorid 0,9 % 1,5 mg/ml
Injeksjon   Amikacin sulfate   
Injeksjon   Ciprofloxacin lactate 1,5 mg/ml
25°C
48 Tid
Lys 434
Polyvinylklorid Natriumklorid 0,9 % 4 mg/ml
Injeksjon   Amikacin sulfate   
Injeksjon   Clindamycin phosphate 9 mg/ml
25°C
48 Tid
Ikke angitt 565
Bevisgrad D
Polyvinylklorid Natriumklorid 0,9 % 1,5 mg/ml
Injeksjon   Amikacin sulfate   
Injeksjon   Ciprofloxacin lactate 1,5 mg/ml
4°C
48 Tid
Beskyttes mot lys 434
Polyvinylklorid Glukose 5 % 1,5 mg/ml
Injeksjon   Amikacin sulfate   
Injeksjon   Ciprofloxacin lactate 1,5 mg/ml
25°C
48 Tid
Lys 434
Polyvinylklorid Glukose 5 % 4 mg/ml
Injeksjon   Amikacin sulfate   
Injeksjon   Clindamycin phosphate 9 mg/ml
25°C
48 Tid
Ikke angitt 565
Bevisgrad D
Sprøyte polypropylen Natriumklorid 0,9 % 190 mg/ml
Injeksjon   Amikacin sulfate   
Injeksjon   Clindamycin phosphate 90 mg/ml
22°C-23°C
48 Tid
Lys 639
Bevisgrad D

  Mentions Légales