Ultimele actualizari :
27/01/2026
Antibiotic   Amikacin sulfate  
Injectabil
Stabilitatea in solutie Stabilitatea in amestec Factorii care influenteaza stabilitatea Compatibilitate Microunde Bibliografie pdf
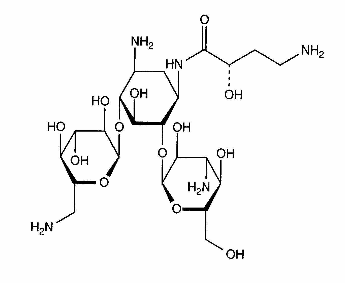
   Formula chimica  

Denumirea comerciala   Denumirea comerciala     

Trade names are indicative and excipients composition can be different depending on the country and manufacturers

Adnet India
Agnicin Mexic
Akamin Ecuador
Akim Ecuador
Amicacil Brazilia
Amicilon Brazilia
Amicin Malaezia
Amicip Venezuela
Amijeksin Turcia
Amikabiot Ecuador, Peru
Amikacin Arabia Saudita, Canada, Egipt, Germania, Iran, Malaezia, Marea Britanie, noua Zeelandă, SUA
Amikacina Argentina, Chilli, Columbia, Ecuador, Italia, Mexic, Peru, Spania, Venezuela
Amikacine Belgia, Franta, Maroc, Olanda
Amikafur Mexic
Amikagram Peru
Amikalem Mexic
Amikamed Peru
Amikamek Peru
Amikan Italia
Amikavax Venezuela
Amikaver Turcia
Amikayect Mexic
Amikem Peru
Amiketem Turcia
Amikin Arabia Saudita, Australia, Brazilia, Columbia, Ecuador, Egipt, Elvetia, Irlanda, Marea Britanie, Mexic, Peru, Polonia, SUA, Tunisia, Ungaria
Amiklin Franta, Turcia
Amikosit Romania, Tunisia, Turcia
Amikram Peru
Amukin Belgia, Luxemburg, Olanda
Apalin Malaezia
Baxi K Chilli, Mexic
Behcacin India, Venezuela
Belka India
Biclin Austria, Finlanda, Germania, Mexic, Portugalia, Spania, Suedia
Biodacyna Polonia
Biokacin Mexic
Briklin Grecia
Cadicin India
Chemacin Italia
Cikabit India
Cinamica India
Cinas India
Consumonit Grecia
Domak India
Doxocar Argentina
Elcin India
Elmik India
Emcin India
Emica India
Farcyclin Grecia
Flexelite Grecia
Greini Argentina
Ipacin Iran
Itukacin Peru
Kancin Grecia
Lanomycin Grecia
Lukadin Italia
Masmika India
Mediamik Italia
Micalpha Grecia
Micigen Mexic
Migracin Italia
Mikacin Arabia Saudita
Nekacin Italia
Novamin Brazilia
Orlobin Grecia
Remikin Grecia
Rovericlin Grecia
Uzix Grecia
Stabilitatea in amestec   Injectabil   Stabilitatea in amestec : Amikacin sulfate     
Continut Solvent Concentratie Molecula (substanta activa) Temperatura Conservare Durata stabilității Bibiografie
sticla clorura de sodiu 0,9% 5 mg/ml
Injectabil   Amikacin sulfate   
Injectabil   Cefpirome sulfate 50 mg/ml
23°C
8 Ora
Lumina 280
Nivel de evidență B+
sticla Glucoza 5% 5 mg/ml
Injectabil   Amikacin sulfate   
Injectabil   Cefpirome sulfate 50 mg/ml
23°C
8 Ora
Lumina 280
Nivel de evidență B+
sticla Glucoza 5% 10 mg/ml
Injectabil   Amikacin sulfate   
Injectabil   Filgrastim 40 µg/ml
25°C
4 Ora
Neprecizat 104
Nivel de evidență B
sticla Solutie Ringer lactat 5 mg/ml
Injectabil   Amikacin sulfate   
Injectabil   Cefpirome sulfate 50 mg/ml
23°C
8 Ora
Lumina 280
Nivel de evidență B+
sticla clorura de sodiu 0,45% 5 mg/ml
Injectabil   Amikacin sulfate   
Injectabil   Cefpirome sulfate 50 mg/ml
23°C
8 Ora
Lumina 280
Nivel de evidență B+
clorura de polivinil clorura de sodiu 0,9% 1,5 mg/ml
Injectabil   Amikacin sulfate   
Injectabil   Ciprofloxacin lactate 1,5 mg/ml
25°C
48 Ora
Lumina 434
clorura de polivinil clorura de sodiu 0,9% 4 mg/ml
Injectabil   Amikacin sulfate   
Injectabil   Clindamycin phosphate 9 mg/ml
25°C
48 Ora
Neprecizat 565
Nivel de evidență D
clorura de polivinil clorura de sodiu 0,9% 1,5 mg/ml
Injectabil   Amikacin sulfate   
Injectabil   Ciprofloxacin lactate 1,5 mg/ml
4°C
48 Ora
Ferit de lumina 434
clorura de polivinil Glucoza 5% 1,5 mg/ml
Injectabil   Amikacin sulfate   
Injectabil   Ciprofloxacin lactate 1,5 mg/ml
25°C
48 Ora
Lumina 434
clorura de polivinil Glucoza 5% 4 mg/ml
Injectabil   Amikacin sulfate   
Injectabil   Clindamycin phosphate 9 mg/ml
25°C
48 Ora
Neprecizat 565
Nivel de evidență D
seringă polipropileno clorura de sodiu 0,9% 190 mg/ml
Injectabil   Amikacin sulfate   
Injectabil   Clindamycin phosphate 90 mg/ml
22°C-23°C
48 Ora
Lumina 639
Nivel de evidență D

  Mentions Légales