Останнє оновлення :
27/04/2026
Антибіотик   Piperacillin sodium / tazobactam  
ін'єкція
Стійкість в розчинах Стійкість сумішей Фактори, що впливають на стабільність Сумісність Шлях введення Список літератури pdf
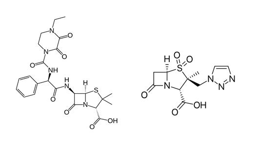
   Хімічна структура  

Торгова назва   Торгова назва     

Торгові назви є орієнтовними, а склад допоміжних речовин може бути різним залежно від країни та виробника

Bagotaz Аргентина
Betampil Еквадор
Bioval Чилі
Petezam Аргентина
Piperac Німеччина
Piperacillin tazobactam Бельгія, Канада, Німеччина
Piperazam Бразилія
Pipetazo Чилі
Pipitaz Австрія
Pixamol Колумбія
Tazobac Італія, Еквадор, Португалія, Швейцарія
Tazocel Іспанія
Tazocilline Франція
Tazocin Єгипет, Італія, Австралія, Аргентина, Бразилія, Великобританія, Греція, Данія, Колумбія, Люксембург, Мексика, Нідерланди, Нова Зеландія, Норвегія, Об'єднані Арабські Емірати, Південно-Африканська Республіка, Північна Ірландія, Перу, Польща, Туреччина, Угорщина, Фінляндія, Хорватія, Швеція
Tazonam Австрія, Чилі
Tazopip Австралія
Tazpen Колумбія, Мексика
Tazrobida Колумбія
Tigux Чилі
Tratac Чилі
Trital Еквадор
Zosyn Сполучені Штати Америки, Японія
Стійкість в розчинах   ін'єкція   Стійкість в розчинах : Piperacillin sodium / tazobactam     
Контейнер Розчинник Концентрація температура Зберігання Тривалість стабільності Список літератури
скло Вода для ін'єкцій 20/2,5 mg/ml 2-8°C Берегти від світла
2 День
4922
Рівень доказовості D

скло NaCl 0.9% + фенол 0.4% 20/2,5 mg/ml 2-8°C Берегти від світла
2 День
4922
Рівень доказовості D

Полівініл хлорид Натрію хлорид 0,9% 20 / 2.5 mg/ml 23°C
72 годину
2345
Рівень доказовості А

Полівініл хлорид Натрію хлорид 0,9% 20 / 2.5 mg/ml 5°C Берегти від світла
28 День
2345
Рівень доказовості А

Полівініл хлорид Натрію хлорид 0,9% 40 / 5 mg/ml 25°C світло
4 День
2026
Рівень доказовості B

Полівініл хлорид Натрію хлорид 0,9% 40 / 5 mg/ml 7°C Берегти від світла
5 День
2026
Рівень доказовості B

Полівініл хлорид Натрію хлорид 0,9% 80 / 10 mg/ml -15°C Берегти від світла
30 День
274
Рівень доказовості D

Полівініл хлорид Глюкоза 5% 33.3 / 4.1 mg/ml -20°C Берегти від світла
90 День
1946

Полівініл хлорид Глюкоза 5% 33.3 / 4.1 mg/ml 4°C Не визначено
35 День
1946

Полівініл хлорид Глюкоза 5% 80 / 10 mg/ml -15°C Берегти від світла
30 День
274
Рівень доказовості D

Полівініл хлорид Глюкоза 5% 80 / 10 mg/ml 23°C
72 годину
2345
Рівень доказовості А

Полівініл хлорид Глюкоза 5% 80 / 10 mg/ml 5°C Берегти від світла
28 День
2345
Рівень доказовості А

Поліолефін Натрію хлорид 0,9% 40 / 5 mg/ml 25°C світло
3 День
2026
Рівень доказовості B

Поліолефін Натрію хлорид 0,9% 40 / 5 mg/ml 7°C Берегти від світла
17 День
2026
Рівень доказовості B

Поліолефін Натрію хлорид 0,9% 50.6 / 6.3 mg/ml 2-8°C Не визначено
17 День
4620
Рівень доказовості А+

Поліолефін Натрію хлорид 0,9% 50.6 / 6.3 mg/ml 25°C Не визначено
3 годину
4620
Рівень доказовості А+

Поліолефін Глюкоза 5% 33,3 / 4,1 mg/ml -20°C Берегти від світла
90 День
4148
Рівень доказовості D

Поліолефін Глюкоза 5% 33,3 / 4,1 mg/ml 2-8°C Не визначено
58 День
4148
Рівень доказовості D

Поліолефін Глюкоза 5% 50.6 / 6.3 mg/ml 2-8°C Не визначено
17 День
4621
Рівень доказовості А+

Поліолефін Глюкоза 5% 50.6 / 6.3 mg/ml 25°C Не визначено
3 годину
4621
Рівень доказовості А+

Поліпропіленовий шприц Вода для ін'єкцій 20/2,5 mg/ml 2-8°C Берегти від світла
2 День
4922
Рівень доказовості D

Поліпропіленовий шприц Натрію хлорид 0,9% 125/15,6 mg/ml 20-25°C світло
48 годину
4634
Рівень доказовості C+

Поліпропіленовий шприц Натрію хлорид 0,9% 150 / 18,75 mg/ml 4°C Берегти від світла
7 День
274
Рівень доказовості D

Поліпропіленовий шприц Натрію хлорид 0,9% 150 / 18.75 mg/ml -15°C Берегти від світла
30 День
274
Рівень доказовості D

Поліпропіленовий шприц Натрію хлорид 0,9% 150 / 18.75 mg/ml 25°C Не визначено
24 годину
274
Рівень доказовості D

Поліпропіленовий шприц Натрію хлорид 0,9% 200 / 25 mg/ml -15°C Берегти від світла
30 День
274
Рівень доказовості D

Поліпропіленовий шприц Натрію хлорид 0,9% 200 / 25 mg/ml 25°C Не визначено
24 годину
274
Рівень доказовості D

Поліпропіленовий шприц Натрію хлорид 0,9% 200 / 25 mg/ml 4°C Берегти від світла
7 День
274
Рівень доказовості D

Поліпропіленовий шприц Натрію хлорид 0,9% 80 / 10 mg/ml 25°C світло
12 годину
4326
Рівень доказовості B

Поліпропіленовий шприц Глюкоза 5% 125/15,6 mg/ml 20-25°C світло
48 годину
4634
Рівень доказовості C+

Поліпропіленовий шприц Глюкоза 5% 150 / 18,75 mg/ml 4°C Берегти від світла
7 День
274
Рівень доказовості D

Поліпропіленовий шприц Глюкоза 5% 150 / 18.75 mg/ml -15°C Берегти від світла
30 День
274
Рівень доказовості D

Поліпропіленовий шприц Глюкоза 5% 150 / 18.75 mg/ml 25°C Не визначено
24 годину
274
Рівень доказовості D

Поліпропіленовий шприц Глюкоза 5% 200 / 25 mg/ml -15°C Берегти від світла
30 День
274
Рівень доказовості D

Поліпропіленовий шприц Глюкоза 5% 200 / 25 mg/ml 25°C Не визначено
24 годину
274
Рівень доказовості D

Поліпропіленовий шприц Глюкоза 5% 200 / 25 mg/ml 4°C Берегти від світла
7 День
274
Рівень доказовості D

Поліпропіленовий шприц NaCl 0.9% + фенол 0.4% 20/2,5 mg/ml 2-8°C Берегти від світла
2 День
4922
Рівень доказовості D

Поліізопреновий еластомер Натрію хлорид 0,9% 50 / 6,25 mg/ml 32°C Берегти від світла
24 годину
4850
Рівень доказовості А+

Поліізопреновий еластомер Натрію хлорид 0,9% 66,7/8,3 mg/ml 37°C Берегти від світла
8 годину
4634
Рівень доказовості C+

Поліізопреновий еластомер Натрію хлорид 0,9% 80 / 10 & 10 / 1.25 mg/ml 25°C Не визначено
24 годину
604
Дані виробника про стабільність

Поліізопреновий еластомер Натрію хлорид 0,9% 80 / 10 & 10 / 1.25 mg/ml 4°C Берегти від світла
7 День
604
Дані виробника про стабільність

Поліізопреновий еластомер Глюкоза 5% 66,7/8,3 mg/ml 37°C Берегти від світла
24 годину
4634
Рівень доказовості C+

Поліізопреновий еластомер Глюкоза 5% 80 / 10 & 10 / 1.25 mg/ml 25°C Не визначено
24 годину
604
Дані виробника про стабільність

Поліізопреновий еластомер Глюкоза 5% 80 / 10 & 10 / 1.25 mg/ml 4°C Берегти від світла
7 День
604
Дані виробника про стабільність

Поліізопреновий еластомер NaCl 0,9% цитратний буфер 0,3% pH7 22 / 3 mg/ml 2-8°C Не визначено
13 День
4512
Рівень доказовості А+

Поліізопреновий еластомер NaCl 0,9% цитратний буфер 0,3% pH7 22 / 3 mg/ml 32°C Не визначено
24 годину
4512
Рівень доказовості А+

Поліізопреновий еластомер NaCl 0,9% цитратний буфер 0,3% pH7 80 / 10 mg/ml 2-8°C Не визначено
13 День
4512
Рівень доказовості А+

Поліізопреновий еластомер NaCl 0,9% цитратний буфер 0,3% pH7 80 / 10 mg/ml 32°C Не визначено
24 годину
4512
Рівень доказовості А+

Силіконовий еластомер NaCl 0,9% цитратний буфер 0,3% pH7 22 / 3 mg/ml 2-8°C Не визначено
13 День
4512
Рівень доказовості А+

Силіконовий еластомер NaCl 0,9% цитратний буфер 0,3% pH7 22 / 3 mg/ml 32°C Не визначено
24 годину
4512
Рівень доказовості А+

Силіконовий еластомер NaCl 0,9% цитратний буфер 0,3% pH7 80 / 10 mg/ml 2-8°C Не визначено
13 День
4512
Рівень доказовості А+

Силіконовий еластомер NaCl 0,9% цитратний буфер 0,3% pH7 80 / 10 mg/ml 32°C Не визначено
24 годину
4512
Рівень доказовості А+

Еластомер (не вказано) Вода для ін'єкцій 128 / 16 mg/ml 25°C Не визначено
72 годину
2042
Рівень доказовості D

Еластомер (не вказано) Вода для ін'єкцій 128 / 16 mg/ml 37°C Не визначено
24 годину
2042
Рівень доказовості D

Не визначено Натрію хлорид 0,9% 40 / 5 mg/ml 22-23°C Берегти від світла
24 годину
4758
Рівень доказовості B

Не визначено Dianéal® PD2 4.25% glucose (Baxter) 0.2 / 0.025 mg/ml 23°C Не визначено
7 День
2451
Рівень доказовості А

Не визначено Dianéal® PD2 4.25% glucose (Baxter) 0.2 / 0.025 mg/ml 37°C Не визначено
24 годину
2451
Рівень доказовості А

Не визначено Dianéal® PD2 4.25% glucose (Baxter) 0.2 / 0.025 mg/ml 4°C Не визначено
14 День
2451
Рівень доказовості А

Не визначено Dianéal® PD2 1.5% glucose (Baxter) 0.2 / 0.025 mg/ml 23°C Не визначено
7 День
2451
Рівень доказовості А

Не визначено Dianéal® PD2 1.5% glucose (Baxter) 0.2 / 0.025 mg/ml 37°C Не визначено
24 годину
2451
Рівень доказовості А

Не визначено Dianéal® PD2 1.5% glucose (Baxter) 0.2 / 0.025 mg/ml 4°C Не визначено
14 День
2451
Рівень доказовості А


  Mentions Légales