Seneste opdatering :
27/04/2026
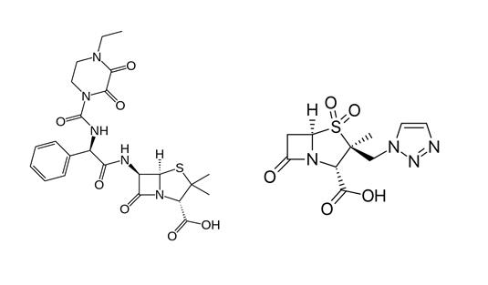
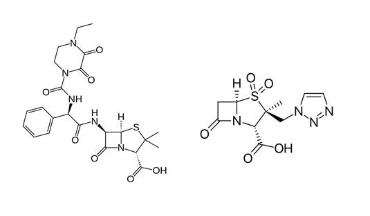
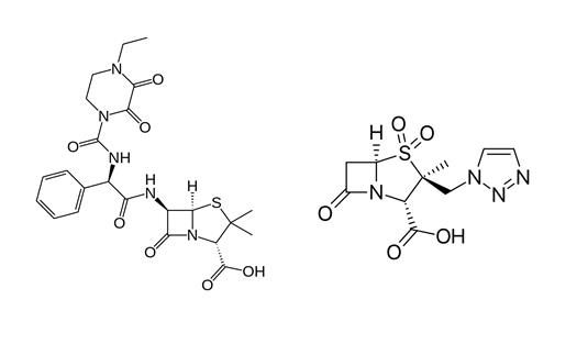
Antibiotisk   Piperacillin sodium / tazobactam  
Injektion
Stabilitet i (vandige) opløsninger Stabilitet i blandinger Faktorer der påvirker stabiliteten Kompatibilitet Administrationsvej Bibliografi pdf
   Kemisk struktur  

Handelsnavn   Handelsnavn     

Handel navne er vejledende og hjælpestoffer sammensætning kan være forskellig afhængigt af landet og laboratorier

Bagotaz Argentina
Betampil Ecuador
Bioval Chile
Petezam Argentina
Piperac Tyskland
Piperacillin tazobactam Belgien, Canada, Tyskland
Piperazam Brasilien
Pipetazo Chile
Pipitaz Østrig
Pixamol Colombia
Tazobac Ecuador, Italien, Portugal, Schweiz
Tazocel Spanien
Tazocilline Frankrig
Tazocin Argentina, Australien, Brasilien, Colombia, Danmark, Finland, Forenede Arabiske Emirater, Grækenland, Holland, Italien, Kroatien, Luxemborg, Marokko, Mexico, New Zealand, Nordirland, Norge, Polen, Storbritanien, Sverige, Sydafrika, Tyrkiet, Ungarn, Ægypten
Tazonam Chile, Østrig
Tazopip Australien
Tazpen Colombia, Mexico
Tazrobida Colombia
Tigux Chile
Tratac Chile
Trital Ecuador
Zosyn Japan, USA
Stabilitet i (vandige) opløsninger   Injektion   Stabilitet i (vandige) opløsninger : Piperacillin sodium / tazobactam     
Beholder Opløsningsmiddel Koncentration Temperatur Konservering Varighed af stabilitet Bibliografi
Glas Vand til injektion 20/2,5 mg/ml 2-8°C Beskyt mod lys
2 Dag
4922
Level af bevismateriale D

Glas NaCl 0.9% + phenol 0.4% 20/2,5 mg/ml 2-8°C Beskyt mod lys
2 Dag
4922
Level af bevismateriale D

Polyvinylklorid 0,9 % Natriumklorid 20 / 2.5 mg/ml 23°C
72 Time
2345
Level af bevismateriale A

Polyvinylklorid 0,9 % Natriumklorid 20 / 2.5 mg/ml 5°C Beskyt mod lys
28 Dag
2345
Level af bevismateriale A

Polyvinylklorid 0,9 % Natriumklorid 40 / 5 mg/ml 25°C Lys
4 Dag
2026
Level af bevismateriale B

Polyvinylklorid 0,9 % Natriumklorid 40 / 5 mg/ml 7°C Beskyt mod lys
5 Dag
2026
Level af bevismateriale B

Polyvinylklorid 0,9 % Natriumklorid 80 / 10 mg/ml -15°C Beskyt mod lys
30 Dag
274
Level af bevismateriale D

Polyvinylklorid 5 % Glukose 33.3 / 4.1 mg/ml -20°C Beskyt mod lys
90 Dag
1946

Polyvinylklorid 5 % Glukose 33.3 / 4.1 mg/ml 4°C Ikke nærmere angivet
35 Dag
1946

Polyvinylklorid 5 % Glukose 80 / 10 mg/ml -15°C Beskyt mod lys
30 Dag
274
Level af bevismateriale D

Polyvinylklorid 5 % Glukose 80 / 10 mg/ml 23°C
72 Time
2345
Level af bevismateriale A

Polyvinylklorid 5 % Glukose 80 / 10 mg/ml 5°C Beskyt mod lys
28 Dag
2345
Level af bevismateriale A

Polyolefin 0,9 % Natriumklorid 40 / 5 mg/ml 25°C Lys
3 Dag
2026
Level af bevismateriale B

Polyolefin 0,9 % Natriumklorid 40 / 5 mg/ml 7°C Beskyt mod lys
17 Dag
2026
Level af bevismateriale B

Polyolefin 0,9 % Natriumklorid 50.6 / 6.3 mg/ml 2-8°C Ikke nærmere angivet
17 Dag
4620
Level af bevismateriale A+

Polyolefin 0,9 % Natriumklorid 50.6 / 6.3 mg/ml 25°C Ikke nærmere angivet
3 Time
4620
Level af bevismateriale A+

Polyolefin 5 % Glukose 33,3 / 4,1 mg/ml -20°C Beskyt mod lys
90 Dag
4148
Level af bevismateriale D

Polyolefin 5 % Glukose 33,3 / 4,1 mg/ml 2-8°C Ikke nærmere angivet
58 Dag
4148
Level af bevismateriale D

Polyolefin 5 % Glukose 50.6 / 6.3 mg/ml 2-8°C Ikke nærmere angivet
17 Dag
4621
Level af bevismateriale A+

Polyolefin 5 % Glukose 50.6 / 6.3 mg/ml 25°C Ikke nærmere angivet
3 Time
4621
Level af bevismateriale A+

sprøjte polypropylen Vand til injektion 20/2,5 mg/ml 2-8°C Beskyt mod lys
2 Dag
4922
Level af bevismateriale D

sprøjte polypropylen 0,9 % Natriumklorid 125/15,6 mg/ml 20-25°C Lys
48 Time
4634
Level af bevismateriale C+

sprøjte polypropylen 0,9 % Natriumklorid 150 / 18,75 mg/ml 4°C Beskyt mod lys
7 Dag
274
Level af bevismateriale D

sprøjte polypropylen 0,9 % Natriumklorid 150 / 18.75 mg/ml -15°C Beskyt mod lys
30 Dag
274
Level af bevismateriale D

sprøjte polypropylen 0,9 % Natriumklorid 150 / 18.75 mg/ml 25°C Ikke nærmere angivet
24 Time
274
Level af bevismateriale D

sprøjte polypropylen 0,9 % Natriumklorid 200 / 25 mg/ml -15°C Beskyt mod lys
30 Dag
274
Level af bevismateriale D

sprøjte polypropylen 0,9 % Natriumklorid 200 / 25 mg/ml 25°C Ikke nærmere angivet
24 Time
274
Level af bevismateriale D

sprøjte polypropylen 0,9 % Natriumklorid 200 / 25 mg/ml 4°C Beskyt mod lys
7 Dag
274
Level af bevismateriale D

sprøjte polypropylen 0,9 % Natriumklorid 80 / 10 mg/ml 25°C Lys
12 Time
4326
Level af bevismateriale B

sprøjte polypropylen 5 % Glukose 125/15,6 mg/ml 20-25°C Lys
48 Time
4634
Level af bevismateriale C+

sprøjte polypropylen 5 % Glukose 150 / 18,75 mg/ml 4°C Beskyt mod lys
7 Dag
274
Level af bevismateriale D

sprøjte polypropylen 5 % Glukose 150 / 18.75 mg/ml -15°C Beskyt mod lys
30 Dag
274
Level af bevismateriale D

sprøjte polypropylen 5 % Glukose 150 / 18.75 mg/ml 25°C Ikke nærmere angivet
24 Time
274
Level af bevismateriale D

sprøjte polypropylen 5 % Glukose 200 / 25 mg/ml -15°C Beskyt mod lys
30 Dag
274
Level af bevismateriale D

sprøjte polypropylen 5 % Glukose 200 / 25 mg/ml 25°C Ikke nærmere angivet
24 Time
274
Level af bevismateriale D

sprøjte polypropylen 5 % Glukose 200 / 25 mg/ml 4°C Beskyt mod lys
7 Dag
274
Level af bevismateriale D

sprøjte polypropylen NaCl 0.9% + phenol 0.4% 20/2,5 mg/ml 2-8°C Beskyt mod lys
2 Dag
4922
Level af bevismateriale D

Polyisopren elastomer 0,9 % Natriumklorid 50 / 6,25 mg/ml 32°C Beskyt mod lys
24 Time
4850
Level af bevismateriale A+

Polyisopren elastomer 0,9 % Natriumklorid 66,7/8,3 mg/ml 37°C Beskyt mod lys
8 Time
4634
Level af bevismateriale C+

Polyisopren elastomer 0,9 % Natriumklorid 80 / 10 & 10 / 1.25 mg/ml 25°C Ikke nærmere angivet
24 Time
604
Producentens stabilitet data

Polyisopren elastomer 0,9 % Natriumklorid 80 / 10 & 10 / 1.25 mg/ml 4°C Beskyt mod lys
7 Dag
604
Producentens stabilitet data

Polyisopren elastomer 5 % Glukose 66,7/8,3 mg/ml 37°C Beskyt mod lys
24 Time
4634
Level af bevismateriale C+

Polyisopren elastomer 5 % Glukose 80 / 10 & 10 / 1.25 mg/ml 25°C Ikke nærmere angivet
24 Time
604
Producentens stabilitet data

Polyisopren elastomer 5 % Glukose 80 / 10 & 10 / 1.25 mg/ml 4°C Beskyt mod lys
7 Dag
604
Producentens stabilitet data

Polyisopren elastomer NaCl 0,9% citratbuffer 0,3% pH 7 22 / 3 mg/ml 2-8°C Ikke nærmere angivet
13 Dag
4512
Level af bevismateriale A+

Polyisopren elastomer NaCl 0,9% citratbuffer 0,3% pH 7 22 / 3 mg/ml 32°C Ikke nærmere angivet
24 Time
4512
Level af bevismateriale A+

Polyisopren elastomer NaCl 0,9% citratbuffer 0,3% pH 7 80 / 10 mg/ml 2-8°C Ikke nærmere angivet
13 Dag
4512
Level af bevismateriale A+

Polyisopren elastomer NaCl 0,9% citratbuffer 0,3% pH 7 80 / 10 mg/ml 32°C Ikke nærmere angivet
24 Time
4512
Level af bevismateriale A+

Elastomer i silikone NaCl 0,9% citratbuffer 0,3% pH 7 22 / 3 mg/ml 2-8°C Ikke nærmere angivet
13 Dag
4512
Level af bevismateriale A+

Elastomer i silikone NaCl 0,9% citratbuffer 0,3% pH 7 22 / 3 mg/ml 32°C Ikke nærmere angivet
24 Time
4512
Level af bevismateriale A+

Elastomer i silikone NaCl 0,9% citratbuffer 0,3% pH 7 80 / 10 mg/ml 2-8°C Ikke nærmere angivet
13 Dag
4512
Level af bevismateriale A+

Elastomer i silikone NaCl 0,9% citratbuffer 0,3% pH 7 80 / 10 mg/ml 32°C Ikke nærmere angivet
24 Time
4512
Level af bevismateriale A+

Elastomer (uspecificeret) Vand til injektion 128 / 16 mg/ml 25°C Ikke nærmere angivet
72 Time
2042
Level af bevismateriale D

Elastomer (uspecificeret) Vand til injektion 128 / 16 mg/ml 37°C Ikke nærmere angivet
24 Time
2042
Level af bevismateriale D

Ikke angivet nærmere 0,9 % Natriumklorid 40 / 5 mg/ml 22-23°C Beskyt mod lys
24 Time
4758
Level af bevismateriale B

Ikke angivet nærmere Dianéal® PD2 4.25% Glukose (Baxter) 0.2 / 0.025 mg/ml 23°C Ikke nærmere angivet
7 Dag
2451
Level af bevismateriale A

Ikke angivet nærmere Dianéal® PD2 4.25% Glukose (Baxter) 0.2 / 0.025 mg/ml 37°C Ikke nærmere angivet
24 Time
2451
Level af bevismateriale A

Ikke angivet nærmere Dianéal® PD2 4.25% Glukose (Baxter) 0.2 / 0.025 mg/ml 4°C Ikke nærmere angivet
14 Dag
2451
Level af bevismateriale A

Ikke angivet nærmere Dianéal® PD2 1.5% Glukose (Baxter) 0.2 / 0.025 mg/ml 23°C Ikke nærmere angivet
7 Dag
2451
Level af bevismateriale A

Ikke angivet nærmere Dianéal® PD2 1.5% Glukose (Baxter) 0.2 / 0.025 mg/ml 37°C Ikke nærmere angivet
24 Time
2451
Level af bevismateriale A

Ikke angivet nærmere Dianéal® PD2 1.5% Glukose (Baxter) 0.2 / 0.025 mg/ml 4°C Ikke nærmere angivet
14 Dag
2451
Level af bevismateriale A


  Mentions Légales