Senaste uppdateringen :
27/04/2026
Antibiotikum   Piperacillin sodium / tazobactam  
injektion
Lösningars stabilitet Stabilitet i blandningar Faktorer som påverkar stabiliteten Kompatibilitet Administreringssätt Hänvisningar pdf
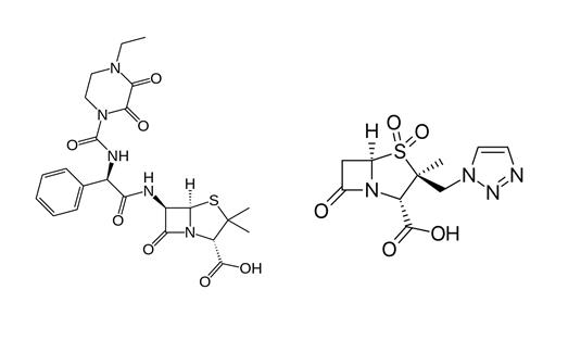
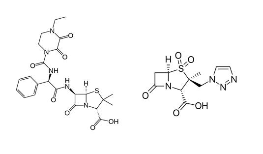
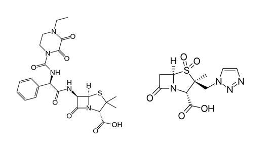
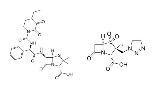
   Molekylstruktur  

Varunamn   Varunamn     

Angivna handelsnamn på läkemedel är enbart vägledande då formulering inklusive hjälpämnen kan variera mellan länder och tillverkare

Bagotaz Argentina
Betampil Ecuador
Bioval Chile
Petezam Argentina
Piperac Tyskland
Piperacillin tazobactam Belgien, Kanada, Tyskland
Piperazam Brasilien
Pipetazo Chile
Pipitaz Österrike
Pixamol Colombia
Tazobac Ecuador, Italien, Portugal, Schweiz
Tazocel Spanien
Tazocilline Frankrike
Tazocin Argentina, Australien, Brasilien, Colombia, Danmark, Egypten, Finland, Förenade Arabemiraten, Grekland, Italien, Kroatien, Luxemburg, Mexiko, Nederländerna, Nordirland, Norge, nya Zeeland, Peru, Polen, Storbritannien, Sverige, Sydafrikanska republiken, Turkiet, Ungern
Tazonam Chile, Österrike
Tazopip Australien
Tazpen Colombia, Mexiko
Tazrobida Colombia
Tigux Chile
Tratac Chile
Trital Ecuador
Zosyn Förenta Staterna, Japan
Lösningars stabilitet   injektion   Lösningars stabilitet : Piperacillin sodium / tazobactam     
Behållare Lösningsmedel Koncentration Temperatur Förvaring Stabilitets varaktighet Hänvisningar
Glas Vatten för injektion 20/2,5 mg/ml 2-8°C Skyddas från ljus
2 Dag
4922
Evidensnivå D

Glas NaCl 0.9% + fenol 0.4% 20/2,5 mg/ml 2-8°C Skyddas från ljus
2 Dag
4922
Evidensnivå D

Polyvinylklorid Natriumklorid 0,9 % 20 / 2.5 mg/ml 23°C
72 Timma
2345
Evidensnivå A

Polyvinylklorid Natriumklorid 0,9 % 20 / 2.5 mg/ml 5°C Skyddas från ljus
28 Dag
2345
Evidensnivå A

Polyvinylklorid Natriumklorid 0,9 % 40 / 5 mg/ml 25°C Ljus
4 Dag
2026
Evidensnivå B

Polyvinylklorid Natriumklorid 0,9 % 40 / 5 mg/ml 7°C Skyddas från ljus
5 Dag
2026
Evidensnivå B

Polyvinylklorid Natriumklorid 0,9 % 80 / 10 mg/ml -15°C Skyddas från ljus
30 Dag
274
Evidensnivå D

Polyvinylklorid Glukos 5 % 33.3 / 4.1 mg/ml -20°C Skyddas från ljus
90 Dag
1946

Polyvinylklorid Glukos 5 % 33.3 / 4.1 mg/ml 4°C Ej angiven
35 Dag
1946

Polyvinylklorid Glukos 5 % 80 / 10 mg/ml -15°C Skyddas från ljus
30 Dag
274
Evidensnivå D

Polyvinylklorid Glukos 5 % 80 / 10 mg/ml 23°C
72 Timma
2345
Evidensnivå A

Polyvinylklorid Glukos 5 % 80 / 10 mg/ml 5°C Skyddas från ljus
28 Dag
2345
Evidensnivå A

Polyolefin Natriumklorid 0,9 % 40 / 5 mg/ml 25°C Ljus
3 Dag
2026
Evidensnivå B

Polyolefin Natriumklorid 0,9 % 40 / 5 mg/ml 7°C Skyddas från ljus
17 Dag
2026
Evidensnivå B

Polyolefin Natriumklorid 0,9 % 50.6 / 6.3 mg/ml 2-8°C Ej angiven
17 Dag
4620
Evidensnivå A+

Polyolefin Natriumklorid 0,9 % 50.6 / 6.3 mg/ml 25°C Ej angiven
3 Timma
4620
Evidensnivå A+

Polyolefin Glukos 5 % 33,3 / 4,1 mg/ml -20°C Skyddas från ljus
90 Dag
4148
Evidensnivå D

Polyolefin Glukos 5 % 33,3 / 4,1 mg/ml 2-8°C Ej angiven
58 Dag
4148
Evidensnivå D

Polyolefin Glukos 5 % 50.6 / 6.3 mg/ml 2-8°C Ej angiven
17 Dag
4621
Evidensnivå A+

Polyolefin Glukos 5 % 50.6 / 6.3 mg/ml 25°C Ej angiven
3 Timma
4621
Evidensnivå A+

Spruta polypropen Vatten för injektion 20/2,5 mg/ml 2-8°C Skyddas från ljus
2 Dag
4922
Evidensnivå D

Spruta polypropen Natriumklorid 0,9 % 125/15,6 mg/ml 20-25°C Ljus
48 Timma
4634
Evidensnivå C+

Spruta polypropen Natriumklorid 0,9 % 150 / 18,75 mg/ml 4°C Skyddas från ljus
7 Dag
274
Evidensnivå D

Spruta polypropen Natriumklorid 0,9 % 150 / 18.75 mg/ml -15°C Skyddas från ljus
30 Dag
274
Evidensnivå D

Spruta polypropen Natriumklorid 0,9 % 150 / 18.75 mg/ml 25°C Ej angiven
24 Timma
274
Evidensnivå D

Spruta polypropen Natriumklorid 0,9 % 200 / 25 mg/ml -15°C Skyddas från ljus
30 Dag
274
Evidensnivå D

Spruta polypropen Natriumklorid 0,9 % 200 / 25 mg/ml 25°C Ej angiven
24 Timma
274
Evidensnivå D

Spruta polypropen Natriumklorid 0,9 % 200 / 25 mg/ml 4°C Skyddas från ljus
7 Dag
274
Evidensnivå D

Spruta polypropen Natriumklorid 0,9 % 80 / 10 mg/ml 25°C Ljus
12 Timma
4326
Evidensnivå B

Spruta polypropen Glukos 5 % 125/15,6 mg/ml 20-25°C Ljus
48 Timma
4634
Evidensnivå C+

Spruta polypropen Glukos 5 % 150 / 18,75 mg/ml 4°C Skyddas från ljus
7 Dag
274
Evidensnivå D

Spruta polypropen Glukos 5 % 150 / 18.75 mg/ml -15°C Skyddas från ljus
30 Dag
274
Evidensnivå D

Spruta polypropen Glukos 5 % 150 / 18.75 mg/ml 25°C Ej angiven
24 Timma
274
Evidensnivå D

Spruta polypropen Glukos 5 % 200 / 25 mg/ml -15°C Skyddas från ljus
30 Dag
274
Evidensnivå D

Spruta polypropen Glukos 5 % 200 / 25 mg/ml 25°C Ej angiven
24 Timma
274
Evidensnivå D

Spruta polypropen Glukos 5 % 200 / 25 mg/ml 4°C Skyddas från ljus
7 Dag
274
Evidensnivå D

Spruta polypropen NaCl 0.9% + fenol 0.4% 20/2,5 mg/ml 2-8°C Skyddas från ljus
2 Dag
4922
Evidensnivå D

Polyisopren elastomer Natriumklorid 0,9 % 50 / 6,25 mg/ml 32°C Skyddas från ljus
24 Timma
4850
Evidensnivå A+

Polyisopren elastomer Natriumklorid 0,9 % 66,7/8,3 mg/ml 37°C Skyddas från ljus
8 Timma
4634
Evidensnivå C+

Polyisopren elastomer Natriumklorid 0,9 % 80 / 10 & 10 / 1.25 mg/ml 25°C Ej angiven
24 Timma
604
Tillverkarens stabilitetsuppgifter

Polyisopren elastomer Natriumklorid 0,9 % 80 / 10 & 10 / 1.25 mg/ml 4°C Skyddas från ljus
7 Dag
604
Tillverkarens stabilitetsuppgifter

Polyisopren elastomer Glukos 5 % 66,7/8,3 mg/ml 37°C Skyddas från ljus
24 Timma
4634
Evidensnivå C+

Polyisopren elastomer Glukos 5 % 80 / 10 & 10 / 1.25 mg/ml 25°C Ej angiven
24 Timma
604
Tillverkarens stabilitetsuppgifter

Polyisopren elastomer Glukos 5 % 80 / 10 & 10 / 1.25 mg/ml 4°C Skyddas från ljus
7 Dag
604
Tillverkarens stabilitetsuppgifter

Polyisopren elastomer NaCl 0,9% tamponsitrat 0,3% pH 7 22 / 3 mg/ml 2-8°C Ej angiven
13 Dag
4512
Evidensnivå A+

Polyisopren elastomer NaCl 0,9% tamponsitrat 0,3% pH 7 22 / 3 mg/ml 32°C Ej angiven
24 Timma
4512
Evidensnivå A+

Polyisopren elastomer NaCl 0,9% tamponsitrat 0,3% pH 7 80 / 10 mg/ml 2-8°C Ej angiven
13 Dag
4512
Evidensnivå A+

Polyisopren elastomer NaCl 0,9% tamponsitrat 0,3% pH 7 80 / 10 mg/ml 32°C Ej angiven
24 Timma
4512
Evidensnivå A+

Silikonelastomer NaCl 0,9% tamponsitrat 0,3% pH 7 22 / 3 mg/ml 2-8°C Ej angiven
13 Dag
4512
Evidensnivå A+

Silikonelastomer NaCl 0,9% tamponsitrat 0,3% pH 7 22 / 3 mg/ml 32°C Ej angiven
24 Timma
4512
Evidensnivå A+

Silikonelastomer NaCl 0,9% tamponsitrat 0,3% pH 7 80 / 10 mg/ml 2-8°C Ej angiven
13 Dag
4512
Evidensnivå A+

Silikonelastomer NaCl 0,9% tamponsitrat 0,3% pH 7 80 / 10 mg/ml 32°C Ej angiven
24 Timma
4512
Evidensnivå A+

Elastomer (ospecificerad) Vatten för injektion 128 / 16 mg/ml 25°C Ej angiven
72 Timma
2042
Evidensnivå D

Elastomer (ospecificerad) Vatten för injektion 128 / 16 mg/ml 37°C Ej angiven
24 Timma
2042
Evidensnivå D

Ej angiven Natriumklorid 0,9 % 40 / 5 mg/ml 22-23°C Skyddas från ljus
24 Timma
4758
Evidensnivå B

Ej angiven Dianéal® PD2 4.25% Glukos (Baxter) 0.2 / 0.025 mg/ml 23°C Ej angiven
7 Dag
2451
Evidensnivå A

Ej angiven Dianéal® PD2 4.25% Glukos (Baxter) 0.2 / 0.025 mg/ml 37°C Ej angiven
24 Timma
2451
Evidensnivå A

Ej angiven Dianéal® PD2 4.25% Glukos (Baxter) 0.2 / 0.025 mg/ml 4°C Ej angiven
14 Dag
2451
Evidensnivå A

Ej angiven Dianéal® PD2 1.5% Glukos (Baxter) 0.2 / 0.025 mg/ml 23°C Ej angiven
7 Dag
2451
Evidensnivå A

Ej angiven Dianéal® PD2 1.5% Glukos (Baxter) 0.2 / 0.025 mg/ml 37°C Ej angiven
24 Timma
2451
Evidensnivå A

Ej angiven Dianéal® PD2 1.5% Glukos (Baxter) 0.2 / 0.025 mg/ml 4°C Ej angiven
14 Dag
2451
Evidensnivå A


  Mentions Légales