Última actualización :
27/04/2026
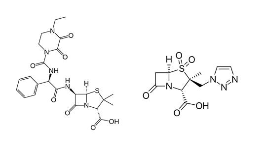
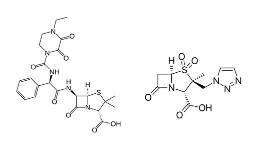
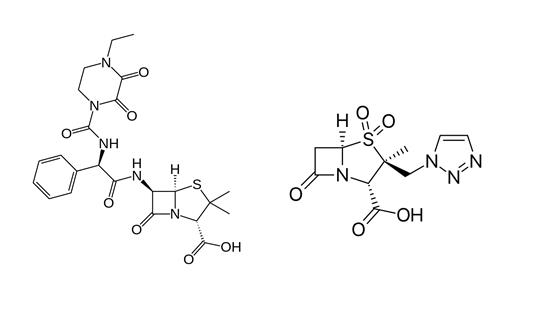
Antibiótico   Piperacillin sodium / tazobactam  
Inyectables
Estabilidad en solucion Estabilidad en mezcla Factores que influyen sobre la estabilidad Compatibilidades método de inyección Bibliografía pdf
   Estructura química  

Nombre comercial   Nombre comercial     

Los nombres comerciales son orientativos y los excipientes de la formulación pueden ser distintos dependiendo del país y del laboratorio fabricante.

Bagotaz Argentina
Betampil Ecuador
Bioval Chile
Petezam Argentina
Piperac Alemania
Piperacillin tazobactam Alemania, Bélgica, Canadá
Piperazam Brasil
Pipetazo Chile
Pipitaz Austria
Pixamol Colombia
Tazobac Ecuador, Italia, Portugal, Suiza
Tazocel España
Tazocilline Francia
Tazocin Argentina, Australia, Brasil, Colombia, Croacia, Dinamarca, Egipto, Emiratos Árabes Unidos, Finlandia, Gran Bretaña, Grecia, Hungría, Irlanda del norte, Italia, Luxemburgo, Marruecos, México, Noruega, Nueva Zelanda, Países Bajos, Polonia, Sudafrica, Suecia, Turquía
Tazonam Austria, Chile
Tazopip Australia
Tazpen Colombia, México
Tazrobida Colombia
Tigux Chile
Tratac Chile
Trital Ecuador
Zosyn Estados Unidos de América, Japón
Estabilidad en solucion   Inyectables   Estabilidad en solucion : Piperacillin sodium / tazobactam     
Envase Solvente Concentración Temperatura Conservación Duración de la estabilidad Bibliografía
Vidrio Agua para preparación inyectable 20/2,5 mg/ml 2-8°C A cubierto de la luz
2 Día
4922
Nivel de evidencia D

Vidrio NaCl 0.9% + fenol 0.4% 20/2,5 mg/ml 2-8°C A cubierto de la luz
2 Día
4922
Nivel de evidencia D

Cloruro de polivinilo Cloruro de sodio 0,9% 20 / 2.5 mg/ml 23°C
72 Hora
2345
Nivel de evidencia A

Cloruro de polivinilo Cloruro de sodio 0,9% 20 / 2.5 mg/ml 5°C A cubierto de la luz
28 Día
2345
Nivel de evidencia A

Cloruro de polivinilo Cloruro de sodio 0,9% 40 / 5 mg/ml 25°C Luz
4 Día
2026
Nivel de evidencia B

Cloruro de polivinilo Cloruro de sodio 0,9% 40 / 5 mg/ml 7°C A cubierto de la luz
5 Día
2026
Nivel de evidencia B

Cloruro de polivinilo Cloruro de sodio 0,9% 80 / 10 mg/ml -15°C A cubierto de la luz
30 Día
274
Nivel de evidencia D

Cloruro de polivinilo Glucosa 5% 33.3 / 4.1 mg/ml -20°C A cubierto de la luz
90 Día
1946

Cloruro de polivinilo Glucosa 5% 33.3 / 4.1 mg/ml 4°C No precisada
35 Día
1946

Cloruro de polivinilo Glucosa 5% 80 / 10 mg/ml -15°C A cubierto de la luz
30 Día
274
Nivel de evidencia D

Cloruro de polivinilo Glucosa 5% 80 / 10 mg/ml 23°C
72 Hora
2345
Nivel de evidencia A

Cloruro de polivinilo Glucosa 5% 80 / 10 mg/ml 5°C A cubierto de la luz
28 Día
2345
Nivel de evidencia A

Poliolefina Cloruro de sodio 0,9% 40 / 5 mg/ml 25°C Luz
3 Día
2026
Nivel de evidencia B

Poliolefina Cloruro de sodio 0,9% 40 / 5 mg/ml 7°C A cubierto de la luz
17 Día
2026
Nivel de evidencia B

Poliolefina Cloruro de sodio 0,9% 50.6 / 6.3 mg/ml 2-8°C No precisada
17 Día
4620
Nivel de evidencia A+

Poliolefina Cloruro de sodio 0,9% 50.6 / 6.3 mg/ml 25°C No precisada
3 Hora
4620
Nivel de evidencia A+

Poliolefina Glucosa 5% 33,3 / 4,1 mg/ml -20°C A cubierto de la luz
90 Día
4148
Nivel de evidencia D

Poliolefina Glucosa 5% 33,3 / 4,1 mg/ml 2-8°C No precisada
58 Día
4148
Nivel de evidencia D

Poliolefina Glucosa 5% 50.6 / 6.3 mg/ml 2-8°C No precisada
17 Día
4621
Nivel de evidencia A+

Poliolefina Glucosa 5% 50.6 / 6.3 mg/ml 25°C No precisada
3 Hora
4621
Nivel de evidencia A+

jeringa polipropileno Agua para preparación inyectable 20/2,5 mg/ml 2-8°C A cubierto de la luz
2 Día
4922
Nivel de evidencia D

jeringa polipropileno Cloruro de sodio 0,9% 125/15,6 mg/ml 20-25°C Luz
48 Hora
4634
Nivel de evidencia C+

jeringa polipropileno Cloruro de sodio 0,9% 150 / 18,75 mg/ml 4°C A cubierto de la luz
7 Día
274
Nivel de evidencia D

jeringa polipropileno Cloruro de sodio 0,9% 150 / 18.75 mg/ml -15°C A cubierto de la luz
30 Día
274
Nivel de evidencia D

jeringa polipropileno Cloruro de sodio 0,9% 150 / 18.75 mg/ml 25°C No precisada
24 Hora
274
Nivel de evidencia D

jeringa polipropileno Cloruro de sodio 0,9% 200 / 25 mg/ml -15°C A cubierto de la luz
30 Día
274
Nivel de evidencia D

jeringa polipropileno Cloruro de sodio 0,9% 200 / 25 mg/ml 25°C No precisada
24 Hora
274
Nivel de evidencia D

jeringa polipropileno Cloruro de sodio 0,9% 200 / 25 mg/ml 4°C A cubierto de la luz
7 Día
274
Nivel de evidencia D

jeringa polipropileno Cloruro de sodio 0,9% 80 / 10 mg/ml 25°C Luz
12 Hora
4326
Nivel de evidencia B

jeringa polipropileno Glucosa 5% 125/15,6 mg/ml 20-25°C Luz
48 Hora
4634
Nivel de evidencia C+

jeringa polipropileno Glucosa 5% 150 / 18,75 mg/ml 4°C A cubierto de la luz
7 Día
274
Nivel de evidencia D

jeringa polipropileno Glucosa 5% 150 / 18.75 mg/ml -15°C A cubierto de la luz
30 Día
274
Nivel de evidencia D

jeringa polipropileno Glucosa 5% 150 / 18.75 mg/ml 25°C No precisada
24 Hora
274
Nivel de evidencia D

jeringa polipropileno Glucosa 5% 200 / 25 mg/ml -15°C A cubierto de la luz
30 Día
274
Nivel de evidencia D

jeringa polipropileno Glucosa 5% 200 / 25 mg/ml 25°C No precisada
24 Hora
274
Nivel de evidencia D

jeringa polipropileno Glucosa 5% 200 / 25 mg/ml 4°C A cubierto de la luz
7 Día
274
Nivel de evidencia D

jeringa polipropileno NaCl 0.9% + fenol 0.4% 20/2,5 mg/ml 2-8°C A cubierto de la luz
2 Día
4922
Nivel de evidencia D

Elastómero de poliisopreno Cloruro de sodio 0,9% 50 / 6,25 mg/ml 32°C A cubierto de la luz
24 Hora
4850
Nivel de evidencia A+

Elastómero de poliisopreno Cloruro de sodio 0,9% 66,7/8,3 mg/ml 37°C A cubierto de la luz
8 Hora
4634
Nivel de evidencia C+

Elastómero de poliisopreno Cloruro de sodio 0,9% 80 / 10 & 10 / 1.25 mg/ml 25°C No precisada
24 Hora
604
Datos de estabilidad del fabricante

Elastómero de poliisopreno Cloruro de sodio 0,9% 80 / 10 & 10 / 1.25 mg/ml 4°C A cubierto de la luz
7 Día
604
Datos de estabilidad del fabricante

Elastómero de poliisopreno Glucosa 5% 66,7/8,3 mg/ml 37°C A cubierto de la luz
24 Hora
4634
Nivel de evidencia C+

Elastómero de poliisopreno Glucosa 5% 80 / 10 & 10 / 1.25 mg/ml 25°C No precisada
24 Hora
604
Datos de estabilidad del fabricante

Elastómero de poliisopreno Glucosa 5% 80 / 10 & 10 / 1.25 mg/ml 4°C A cubierto de la luz
7 Día
604
Datos de estabilidad del fabricante

Elastómero de poliisopreno NaCl 0.9% citrato tampón 0.3% pH7 22 / 3 mg/ml 2-8°C No precisada
13 Día
4512
Nivel de evidencia A+

Elastómero de poliisopreno NaCl 0.9% citrato tampón 0.3% pH7 22 / 3 mg/ml 32°C No precisada
24 Hora
4512
Nivel de evidencia A+

Elastómero de poliisopreno NaCl 0.9% citrato tampón 0.3% pH7 80 / 10 mg/ml 2-8°C No precisada
13 Día
4512
Nivel de evidencia A+

Elastómero de poliisopreno NaCl 0.9% citrato tampón 0.3% pH7 80 / 10 mg/ml 32°C No precisada
24 Hora
4512
Nivel de evidencia A+

Elastómero de silicona NaCl 0.9% citrato tampón 0.3% pH7 22 / 3 mg/ml 2-8°C No precisada
13 Día
4512
Nivel de evidencia A+

Elastómero de silicona NaCl 0.9% citrato tampón 0.3% pH7 22 / 3 mg/ml 32°C No precisada
24 Hora
4512
Nivel de evidencia A+

Elastómero de silicona NaCl 0.9% citrato tampón 0.3% pH7 80 / 10 mg/ml 2-8°C No precisada
13 Día
4512
Nivel de evidencia A+

Elastómero de silicona NaCl 0.9% citrato tampón 0.3% pH7 80 / 10 mg/ml 32°C No precisada
24 Hora
4512
Nivel de evidencia A+

Elastómero (no especificado) Agua para preparación inyectable 128 / 16 mg/ml 25°C No precisada
72 Hora
2042
Nivel de evidencia D

Elastómero (no especificado) Agua para preparación inyectable 128 / 16 mg/ml 37°C No precisada
24 Hora
2042
Nivel de evidencia D

No precisado Cloruro de sodio 0,9% 40 / 5 mg/ml 22-23°C A cubierto de la luz
24 Hora
4758
Nivel de evidencia B

No precisado Dianéal® PD2 4.25% Glucosa (Baxter) 0.2 / 0.025 mg/ml 23°C No precisada
7 Día
2451
Nivel de evidencia A

No precisado Dianéal® PD2 4.25% Glucosa (Baxter) 0.2 / 0.025 mg/ml 37°C No precisada
24 Hora
2451
Nivel de evidencia A

No precisado Dianéal® PD2 4.25% Glucosa (Baxter) 0.2 / 0.025 mg/ml 4°C No precisada
14 Día
2451
Nivel de evidencia A

No precisado Dianéal® PD2 1.5% Glucosa (Baxter) 0.2 / 0.025 mg/ml 23°C No precisada
7 Día
2451
Nivel de evidencia A

No precisado Dianéal® PD2 1.5% Glucosa (Baxter) 0.2 / 0.025 mg/ml 37°C No precisada
24 Hora
2451
Nivel de evidencia A

No precisado Dianéal® PD2 1.5% Glucosa (Baxter) 0.2 / 0.025 mg/ml 4°C No precisada
14 Día
2451
Nivel de evidencia A


  Mentions Légales