Poslední aktualizace :
27/04/2026
Antibiotikum   Piperacillin sodium / tazobactam  
injekce
Stabilita roztoků Stabilita směsí Faktory ovlivňující stabilitu Kompatibilita Způsoby aplikace Odkazy pdf
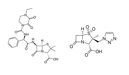
   Chemický vzorec  

Obchodní název   Obchodní název     

Trade names are indicative and excipients composition can be different depending on the country and manufacturers

Bagotaz Argentina
Betampil Ekvádor
Bioval Chile
Petezam Argentina
Piperac NÏmecko
Piperacillin tazobactam Belgie, Kanada, NÏmecko
Piperazam BrazÌlie
Pipetazo Chile
Pipitaz Rakousko
Pixamol Kolumbie
Tazobac Ekvádor, Itálie, Portugalsko, Švýcarsko
Tazocel äpanÏlsko
Tazocilline Francie
Tazocin Argentina, Austrálie, BrazÌlie, Chorvatsko, Dánsko, Egypt, Finsko, Itálie, Jihoafrická republika, Kolumbie, Lucembursko, MaÔarsko, Mexiko, Nizozemsko, Norsko, nový Zéland, Peru, Polsko, Severní Irsko, Spojené arabské emiráty, Švédsko, Turecko, Velká Británie, ÿecko
Tazonam Chile, Rakousko
Tazopip Austrálie
Tazpen Kolumbie, Mexiko
Tazrobida Kolumbie
Tigux Chile
Tratac Chile
Trital Ekvádor
Zosyn Japonsko, USA
Stabilita roztoků   injekce   Stabilita roztoků : Piperacillin sodium / tazobactam     
Obal RozpouötÏdlo Koncentrace Teplota Uchovávání Trvání stability Odkazy
Sklo Voda pro injekci 20/2,5 mg/ml 2-8°C Chráněno před světlem
2 Den
4922
Úroveň zkoušky D

Sklo NaCl 0.9% + fenol 0.4% 20/2,5 mg/ml 2-8°C Chráněno před světlem
2 Den
4922
Úroveň zkoušky D

Polyvinyl chlorid Chlorid sodný 0,9% 20 / 2.5 mg/ml 23°C
72 Hodina
2345
Úroveň zkoušky A

Polyvinyl chlorid Chlorid sodný 0,9% 20 / 2.5 mg/ml 5°C Chráněno před světlem
28 Den
2345
Úroveň zkoušky A

Polyvinyl chlorid Chlorid sodný 0,9% 40 / 5 mg/ml 25°C SvÏtlo
4 Den
2026
Úroveň zkoušky B

Polyvinyl chlorid Chlorid sodný 0,9% 40 / 5 mg/ml 7°C Chráněno před světlem
5 Den
2026
Úroveň zkoušky B

Polyvinyl chlorid Chlorid sodný 0,9% 80 / 10 mg/ml -15°C Chráněno před světlem
30 Den
274
Úroveň zkoušky D

Polyvinyl chlorid GlukÛza 5% 33.3 / 4.1 mg/ml -20°C Chráněno před světlem
90 Den
1946

Polyvinyl chlorid GlukÛza 5% 33.3 / 4.1 mg/ml 4°C Nespecifikováno
35 Den
1946

Polyvinyl chlorid GlukÛza 5% 80 / 10 mg/ml -15°C Chráněno před světlem
30 Den
274
Úroveň zkoušky D

Polyvinyl chlorid GlukÛza 5% 80 / 10 mg/ml 23°C
72 Hodina
2345
Úroveň zkoušky A

Polyvinyl chlorid GlukÛza 5% 80 / 10 mg/ml 5°C Chráněno před světlem
28 Den
2345
Úroveň zkoušky A

Polyoleofin Chlorid sodný 0,9% 40 / 5 mg/ml 25°C SvÏtlo
3 Den
2026
Úroveň zkoušky B

Polyoleofin Chlorid sodný 0,9% 40 / 5 mg/ml 7°C Chráněno před světlem
17 Den
2026
Úroveň zkoušky B

Polyoleofin Chlorid sodný 0,9% 50.6 / 6.3 mg/ml 2-8°C Nespecifikováno
17 Den
4620
Úroveň zkoušky A+

Polyoleofin Chlorid sodný 0,9% 50.6 / 6.3 mg/ml 25°C Nespecifikováno
3 Hodina
4620
Úroveň zkoušky A+

Polyoleofin GlukÛza 5% 33,3 / 4,1 mg/ml -20°C Chráněno před světlem
90 Den
4148
Úroveň zkoušky D

Polyoleofin GlukÛza 5% 33,3 / 4,1 mg/ml 2-8°C Nespecifikováno
58 Den
4148
Úroveň zkoušky D

Polyoleofin GlukÛza 5% 50.6 / 6.3 mg/ml 2-8°C Nespecifikováno
17 Den
4621
Úroveň zkoušky A+

Polyoleofin GlukÛza 5% 50.6 / 6.3 mg/ml 25°C Nespecifikováno
3 Hodina
4621
Úroveň zkoušky A+

stříkačka polypropylen Voda pro injekci 20/2,5 mg/ml 2-8°C Chráněno před světlem
2 Den
4922
Úroveň zkoušky D

stříkačka polypropylen Chlorid sodný 0,9% 125/15,6 mg/ml 20-25°C SvÏtlo
48 Hodina
4634
Úroveň zkoušky C+

stříkačka polypropylen Chlorid sodný 0,9% 150 / 18,75 mg/ml 4°C Chráněno před světlem
7 Den
274
Úroveň zkoušky D

stříkačka polypropylen Chlorid sodný 0,9% 150 / 18.75 mg/ml -15°C Chráněno před světlem
30 Den
274
Úroveň zkoušky D

stříkačka polypropylen Chlorid sodný 0,9% 150 / 18.75 mg/ml 25°C Nespecifikováno
24 Hodina
274
Úroveň zkoušky D

stříkačka polypropylen Chlorid sodný 0,9% 200 / 25 mg/ml -15°C Chráněno před světlem
30 Den
274
Úroveň zkoušky D

stříkačka polypropylen Chlorid sodný 0,9% 200 / 25 mg/ml 25°C Nespecifikováno
24 Hodina
274
Úroveň zkoušky D

stříkačka polypropylen Chlorid sodný 0,9% 200 / 25 mg/ml 4°C Chráněno před světlem
7 Den
274
Úroveň zkoušky D

stříkačka polypropylen Chlorid sodný 0,9% 80 / 10 mg/ml 25°C SvÏtlo
12 Hodina
4326
Úroveň zkoušky B

stříkačka polypropylen GlukÛza 5% 125/15,6 mg/ml 20-25°C SvÏtlo
48 Hodina
4634
Úroveň zkoušky C+

stříkačka polypropylen GlukÛza 5% 150 / 18,75 mg/ml 4°C Chráněno před světlem
7 Den
274
Úroveň zkoušky D

stříkačka polypropylen GlukÛza 5% 150 / 18.75 mg/ml -15°C Chráněno před světlem
30 Den
274
Úroveň zkoušky D

stříkačka polypropylen GlukÛza 5% 150 / 18.75 mg/ml 25°C Nespecifikováno
24 Hodina
274
Úroveň zkoušky D

stříkačka polypropylen GlukÛza 5% 200 / 25 mg/ml -15°C Chráněno před světlem
30 Den
274
Úroveň zkoušky D

stříkačka polypropylen GlukÛza 5% 200 / 25 mg/ml 25°C Nespecifikováno
24 Hodina
274
Úroveň zkoušky D

stříkačka polypropylen GlukÛza 5% 200 / 25 mg/ml 4°C Chráněno před světlem
7 Den
274
Úroveň zkoušky D

stříkačka polypropylen NaCl 0.9% + fenol 0.4% 20/2,5 mg/ml 2-8°C Chráněno před světlem
2 Den
4922
Úroveň zkoušky D

Polyisoprenový elastomer Chlorid sodný 0,9% 50 / 6,25 mg/ml 32°C Chráněno před světlem
24 Hodina
4850
Úroveň zkoušky A+

Polyisoprenový elastomer Chlorid sodný 0,9% 66,7/8,3 mg/ml 37°C Chráněno před světlem
8 Hodina
4634
Úroveň zkoušky C+

Polyisoprenový elastomer Chlorid sodný 0,9% 80 / 10 & 10 / 1.25 mg/ml 25°C Nespecifikováno
24 Hodina
604
Údaje o stabilitě od výrobce

Polyisoprenový elastomer Chlorid sodný 0,9% 80 / 10 & 10 / 1.25 mg/ml 4°C Chráněno před světlem
7 Den
604
Údaje o stabilitě od výrobce

Polyisoprenový elastomer GlukÛza 5% 66,7/8,3 mg/ml 37°C Chráněno před světlem
24 Hodina
4634
Úroveň zkoušky C+

Polyisoprenový elastomer GlukÛza 5% 80 / 10 & 10 / 1.25 mg/ml 25°C Nespecifikováno
24 Hodina
604
Údaje o stabilitě od výrobce

Polyisoprenový elastomer GlukÛza 5% 80 / 10 & 10 / 1.25 mg/ml 4°C Chráněno před světlem
7 Den
604
Údaje o stabilitě od výrobce

Polyisoprenový elastomer NaCl 0,9% tampon citrát 0,3% pH7 22 / 3 mg/ml 2-8°C Nespecifikováno
13 Den
4512
Úroveň zkoušky A+

Polyisoprenový elastomer NaCl 0,9% tampon citrát 0,3% pH7 22 / 3 mg/ml 32°C Nespecifikováno
24 Hodina
4512
Úroveň zkoušky A+

Polyisoprenový elastomer NaCl 0,9% tampon citrát 0,3% pH7 80 / 10 mg/ml 2-8°C Nespecifikováno
13 Den
4512
Úroveň zkoušky A+

Polyisoprenový elastomer NaCl 0,9% tampon citrát 0,3% pH7 80 / 10 mg/ml 32°C Nespecifikováno
24 Hodina
4512
Úroveň zkoušky A+

Silikonový elastomer NaCl 0,9% tampon citrát 0,3% pH7 22 / 3 mg/ml 2-8°C Nespecifikováno
13 Den
4512
Úroveň zkoušky A+

Silikonový elastomer NaCl 0,9% tampon citrát 0,3% pH7 22 / 3 mg/ml 32°C Nespecifikováno
24 Hodina
4512
Úroveň zkoušky A+

Silikonový elastomer NaCl 0,9% tampon citrát 0,3% pH7 80 / 10 mg/ml 2-8°C Nespecifikováno
13 Den
4512
Úroveň zkoušky A+

Silikonový elastomer NaCl 0,9% tampon citrát 0,3% pH7 80 / 10 mg/ml 32°C Nespecifikováno
24 Hodina
4512
Úroveň zkoušky A+

Elastomer (nespecifikován) Voda pro injekci 128 / 16 mg/ml 25°C Nespecifikováno
72 Hodina
2042
Úroveň zkoušky D

Elastomer (nespecifikován) Voda pro injekci 128 / 16 mg/ml 37°C Nespecifikováno
24 Hodina
2042
Úroveň zkoušky D

Nespecifikováno Chlorid sodný 0,9% 40 / 5 mg/ml 22-23°C Chráněno před světlem
24 Hodina
4758
Úroveň zkoušky B

Nespecifikováno Dianéal® PD2 4.25% GlukÛza (Baxter) 0.2 / 0.025 mg/ml 23°C Nespecifikováno
7 Den
2451
Úroveň zkoušky A

Nespecifikováno Dianéal® PD2 4.25% GlukÛza (Baxter) 0.2 / 0.025 mg/ml 37°C Nespecifikováno
24 Hodina
2451
Úroveň zkoušky A

Nespecifikováno Dianéal® PD2 4.25% GlukÛza (Baxter) 0.2 / 0.025 mg/ml 4°C Nespecifikováno
14 Den
2451
Úroveň zkoušky A

Nespecifikováno Dianéal® PD2 1.5% GlukÛza (Baxter) 0.2 / 0.025 mg/ml 23°C Nespecifikováno
7 Den
2451
Úroveň zkoušky A

Nespecifikováno Dianéal® PD2 1.5% GlukÛza (Baxter) 0.2 / 0.025 mg/ml 37°C Nespecifikováno
24 Hodina
2451
Úroveň zkoušky A

Nespecifikováno Dianéal® PD2 1.5% GlukÛza (Baxter) 0.2 / 0.025 mg/ml 4°C Nespecifikováno
14 Den
2451
Úroveň zkoušky A


  Mentions Légales