Última actualização :
27/04/2026
antibiótico   Piperacillin sodium / tazobactam  
injetável
Estabilidade em soluções simples Estabilidade em misturas Factores que afectam a sua estabilidade Compatibilidade Método de administração Bibliografía pdf
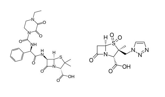
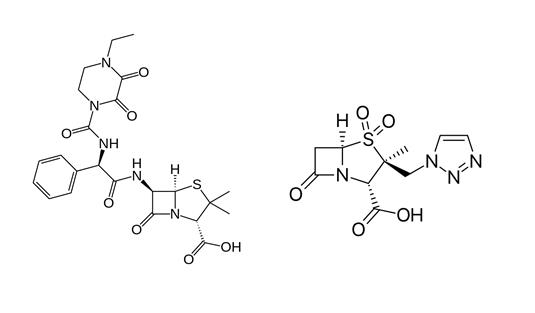
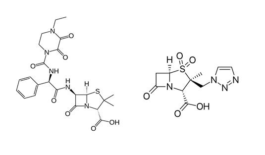
   estrutura química  

Nomes comerciais nos diversos países   Nomes comerciais nos diversos países     

OS NOMES COMERCIAIS SÃO INDICATIVOS E OS EXCIPIENTES DA FORMULAÇÃO PODEM SER DIFERENTES CONFORME O PAÍS E FABRICANTE.

Bagotaz Argentina
Betampil Equator
Bioval Chilli
Petezam Argentina
Piperac Alemanha
Piperacillin tazobactam Alemanha, Bélgica, Canadá
Piperazam Brasil
Pipetazo Chilli
Pipitaz Austria
Pixamol Colômbia
Tazobac Equator, Itália, Portugal, Suicia
Tazocel Espanha
Tazocilline França
Tazocin Africa do sul, Argentina, Australia, Brasil, Colômbia, Croácia, Dinamarca, Egipto, Emirados Árabes Unidos, Finlandia, Gran-bretanha, Grècia, Hungria, Irlanda do norte, Itália, Luxemburgo, México, Noruega, nova Zelândia, Países Baixos, Peru, Polonia, Suècia, Turquia
Tazonam Austria, Chilli
Tazopip Australia
Tazpen Colômbia, México
Tazrobida Colômbia
Tigux Chilli
Tratac Chilli
Trital Equator
Zosyn Estados Unidos de América, Japón
Estabilidade em soluções simples   injetável   Estabilidade em soluções simples : Piperacillin sodium / tazobactam     
Embalagem Solvente concentração temperatura conservação Duração da estabilidade Bibliografia
vidro Agua para injectaveis 20/2,5 mg/ml 2-8°C ao abrigo da luz
2 dia
4922
Nível de evidência D

vidro NaCl 0.9% + fenol 0.4% 20/2,5 mg/ml 2-8°C ao abrigo da luz
2 dia
4922
Nível de evidência D

Cloreto de polivinilo cloreto de sódio 0,9% 20 / 2.5 mg/ml 23°C
72 hora
2345
Nível de evidência A

Cloreto de polivinilo cloreto de sódio 0,9% 20 / 2.5 mg/ml 5°C ao abrigo da luz
28 dia
2345
Nível de evidência A

Cloreto de polivinilo cloreto de sódio 0,9% 40 / 5 mg/ml 25°C luz
4 dia
2026
Nível de evidência B

Cloreto de polivinilo cloreto de sódio 0,9% 40 / 5 mg/ml 7°C ao abrigo da luz
5 dia
2026
Nível de evidência B

Cloreto de polivinilo cloreto de sódio 0,9% 80 / 10 mg/ml -15°C ao abrigo da luz
30 dia
274
Nível de evidência D

Cloreto de polivinilo Glucose 5% 33.3 / 4.1 mg/ml -20°C ao abrigo da luz
90 dia
1946

Cloreto de polivinilo Glucose 5% 33.3 / 4.1 mg/ml 4°C no especificado
35 dia
1946

Cloreto de polivinilo Glucose 5% 80 / 10 mg/ml -15°C ao abrigo da luz
30 dia
274
Nível de evidência D

Cloreto de polivinilo Glucose 5% 80 / 10 mg/ml 23°C
72 hora
2345
Nível de evidência A

Cloreto de polivinilo Glucose 5% 80 / 10 mg/ml 5°C ao abrigo da luz
28 dia
2345
Nível de evidência A

Poliolefina cloreto de sódio 0,9% 40 / 5 mg/ml 25°C luz
3 dia
2026
Nível de evidência B

Poliolefina cloreto de sódio 0,9% 40 / 5 mg/ml 7°C ao abrigo da luz
17 dia
2026
Nível de evidência B

Poliolefina cloreto de sódio 0,9% 50.6 / 6.3 mg/ml 2-8°C no especificado
17 dia
4620
Nível de evidência A+

Poliolefina cloreto de sódio 0,9% 50.6 / 6.3 mg/ml 25°C no especificado
3 hora
4620
Nível de evidência A+

Poliolefina Glucose 5% 33,3 / 4,1 mg/ml -20°C ao abrigo da luz
90 dia
4148
Nível de evidência D

Poliolefina Glucose 5% 33,3 / 4,1 mg/ml 2-8°C no especificado
58 dia
4148
Nível de evidência D

Poliolefina Glucose 5% 50.6 / 6.3 mg/ml 2-8°C no especificado
17 dia
4621
Nível de evidência A+

Poliolefina Glucose 5% 50.6 / 6.3 mg/ml 25°C no especificado
3 hora
4621
Nível de evidência A+

seringa polipropylen Agua para injectaveis 20/2,5 mg/ml 2-8°C ao abrigo da luz
2 dia
4922
Nível de evidência D

seringa polipropylen cloreto de sódio 0,9% 125/15,6 mg/ml 20-25°C luz
48 hora
4634
Nível de evidência C+

seringa polipropylen cloreto de sódio 0,9% 150 / 18,75 mg/ml 4°C ao abrigo da luz
7 dia
274
Nível de evidência D

seringa polipropylen cloreto de sódio 0,9% 150 / 18.75 mg/ml -15°C ao abrigo da luz
30 dia
274
Nível de evidência D

seringa polipropylen cloreto de sódio 0,9% 150 / 18.75 mg/ml 25°C no especificado
24 hora
274
Nível de evidência D

seringa polipropylen cloreto de sódio 0,9% 200 / 25 mg/ml -15°C ao abrigo da luz
30 dia
274
Nível de evidência D

seringa polipropylen cloreto de sódio 0,9% 200 / 25 mg/ml 25°C no especificado
24 hora
274
Nível de evidência D

seringa polipropylen cloreto de sódio 0,9% 200 / 25 mg/ml 4°C ao abrigo da luz
7 dia
274
Nível de evidência D

seringa polipropylen cloreto de sódio 0,9% 80 / 10 mg/ml 25°C luz
12 hora
4326
Nível de evidência B

seringa polipropylen Glucose 5% 125/15,6 mg/ml 20-25°C luz
48 hora
4634
Nível de evidência C+

seringa polipropylen Glucose 5% 150 / 18,75 mg/ml 4°C ao abrigo da luz
7 dia
274
Nível de evidência D

seringa polipropylen Glucose 5% 150 / 18.75 mg/ml -15°C ao abrigo da luz
30 dia
274
Nível de evidência D

seringa polipropylen Glucose 5% 150 / 18.75 mg/ml 25°C no especificado
24 hora
274
Nível de evidência D

seringa polipropylen Glucose 5% 200 / 25 mg/ml -15°C ao abrigo da luz
30 dia
274
Nível de evidência D

seringa polipropylen Glucose 5% 200 / 25 mg/ml 25°C no especificado
24 hora
274
Nível de evidência D

seringa polipropylen Glucose 5% 200 / 25 mg/ml 4°C ao abrigo da luz
7 dia
274
Nível de evidência D

seringa polipropylen NaCl 0.9% + fenol 0.4% 20/2,5 mg/ml 2-8°C ao abrigo da luz
2 dia
4922
Nível de evidência D

Elastômero de poliisopreno cloreto de sódio 0,9% 50 / 6,25 mg/ml 32°C ao abrigo da luz
24 hora
4850
Nível de evidência A+

Elastômero de poliisopreno cloreto de sódio 0,9% 66,7/8,3 mg/ml 37°C ao abrigo da luz
8 hora
4634
Nível de evidência C+

Elastômero de poliisopreno cloreto de sódio 0,9% 80 / 10 & 10 / 1.25 mg/ml 25°C no especificado
24 hora
604
Dados estabilidade do fabricante

Elastômero de poliisopreno cloreto de sódio 0,9% 80 / 10 & 10 / 1.25 mg/ml 4°C ao abrigo da luz
7 dia
604
Dados estabilidade do fabricante

Elastômero de poliisopreno Glucose 5% 66,7/8,3 mg/ml 37°C ao abrigo da luz
24 hora
4634
Nível de evidência C+

Elastômero de poliisopreno Glucose 5% 80 / 10 & 10 / 1.25 mg/ml 25°C no especificado
24 hora
604
Dados estabilidade do fabricante

Elastômero de poliisopreno Glucose 5% 80 / 10 & 10 / 1.25 mg/ml 4°C ao abrigo da luz
7 dia
604
Dados estabilidade do fabricante

Elastômero de poliisopreno NaCl 0,9% tampão citrato 0,3% pH7 22 / 3 mg/ml 2-8°C no especificado
13 dia
4512
Nível de evidência A+

Elastômero de poliisopreno NaCl 0,9% tampão citrato 0,3% pH7 22 / 3 mg/ml 32°C no especificado
24 hora
4512
Nível de evidência A+

Elastômero de poliisopreno NaCl 0,9% tampão citrato 0,3% pH7 80 / 10 mg/ml 2-8°C no especificado
13 dia
4512
Nível de evidência A+

Elastômero de poliisopreno NaCl 0,9% tampão citrato 0,3% pH7 80 / 10 mg/ml 32°C no especificado
24 hora
4512
Nível de evidência A+

Elastômero de silicone NaCl 0,9% tampão citrato 0,3% pH7 22 / 3 mg/ml 2-8°C no especificado
13 dia
4512
Nível de evidência A+

Elastômero de silicone NaCl 0,9% tampão citrato 0,3% pH7 22 / 3 mg/ml 32°C no especificado
24 hora
4512
Nível de evidência A+

Elastômero de silicone NaCl 0,9% tampão citrato 0,3% pH7 80 / 10 mg/ml 2-8°C no especificado
13 dia
4512
Nível de evidência A+

Elastômero de silicone NaCl 0,9% tampão citrato 0,3% pH7 80 / 10 mg/ml 32°C no especificado
24 hora
4512
Nível de evidência A+

Elastômero (não especificado) Agua para injectaveis 128 / 16 mg/ml 25°C no especificado
72 hora
2042
Nível de evidência D

Elastômero (não especificado) Agua para injectaveis 128 / 16 mg/ml 37°C no especificado
24 hora
2042
Nível de evidência D

no especificado cloreto de sódio 0,9% 40 / 5 mg/ml 22-23°C ao abrigo da luz
24 hora
4758
Nível de evidência B

no especificado Dianéal® PD2 4.25% Glucose (Baxter) 0.2 / 0.025 mg/ml 23°C no especificado
7 dia
2451
Nível de evidência A

no especificado Dianéal® PD2 4.25% Glucose (Baxter) 0.2 / 0.025 mg/ml 37°C no especificado
24 hora
2451
Nível de evidência A

no especificado Dianéal® PD2 4.25% Glucose (Baxter) 0.2 / 0.025 mg/ml 4°C no especificado
14 dia
2451
Nível de evidência A

no especificado Dianéal® PD2 1.5% Glucose (Baxter) 0.2 / 0.025 mg/ml 23°C no especificado
7 dia
2451
Nível de evidência A

no especificado Dianéal® PD2 1.5% Glucose (Baxter) 0.2 / 0.025 mg/ml 37°C no especificado
24 hora
2451
Nível de evidência A

no especificado Dianéal® PD2 1.5% Glucose (Baxter) 0.2 / 0.025 mg/ml 4°C no especificado
14 dia
2451
Nível de evidência A


  Mentions Légales