Poslední aktualizace :
27/04/2026
Antibiotikas   Piperacillin sodium / tazobactam  
Įpurškimas
Tirpalų stabilumas Mišinių stabilumas Stabilumą lemiantys veiksniai Suderinamumas Leidimo būdai Bibliografija pdf
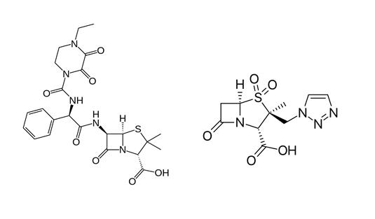
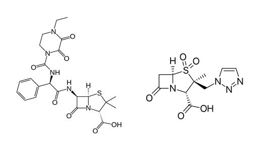
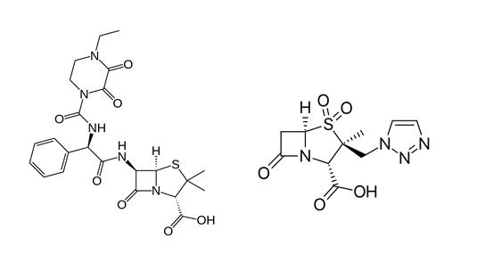
   Cheminė sandara  

Prekinis pavadinimas   Prekinis pavadinimas     

Trade names are indicative and excipients composition can be different depending on the country and manufacturers

Bagotaz Argentina
Betampil Ekvadoras
Bioval Čilė
Petezam Argentina
Piperac Vokietija
Piperacillin tazobactam Belgija, Kanada, Vokietija
Piperazam Brazilija
Pipetazo Čilė
Pipitaz Austrija
Pixamol Kolumbija
Tazobac Ekvadoras, Italija, Portugalija, Šveicarija
Tazocel Ispanija
Tazocilline Prancūzija
Tazocin Argentina, Australija, Brazilija, Danija, Didžioji Britanija, Egiptas, Graikija, Italija, Jungtiniai Arabų Emyratai, Kolumbija, Kroatija, Lenkija, Liuksemburgas, Meksikas, Naujojoje Zelandijoje, Norvegija, Olandija, Peru, Pietų Afrikos Respublika, Šiaurės Airijoje, Suomija, Švedija, Turkija, Vengrija
Tazonam Austrija, Čilė
Tazopip Australija
Tazpen Kolumbija, Meksikas
Tazrobida Kolumbija
Tigux Čilė
Tratac Čilė
Trital Ekvadoras
Zosyn Japonija, Jungtinės Amerikos Valstijos
Tirpalų stabilumas   Įpurškimas   Tirpalų stabilumas : Piperacillin sodium / tazobactam     
Pakuotė Tirpiklis Koncentracija Temperatūra Laikymas Stabilumo trukmė Nuorodos
Stiklas Vanduo injekcijoms 20/2,5 mg/ml 2-8°C Apsaugotas nuo šviesos
2 Diena
4922
Bandymo lygis D

Stiklas NaCl 0.9% + fenolis 0.4% 20/2,5 mg/ml 2-8°C Apsaugotas nuo šviesos
2 Diena
4922
Bandymo lygis D

Polivinilchloridas Natrio chloridas 0,9% 20 / 2.5 mg/ml 23°C
72 Valanda
2345
Bandymo lygis A

Polivinilchloridas Natrio chloridas 0,9% 20 / 2.5 mg/ml 5°C Apsaugotas nuo šviesos
28 Diena
2345
Bandymo lygis A

Polivinilchloridas Natrio chloridas 0,9% 40 / 5 mg/ml 25°C Šviesa
4 Diena
2026
Bandymo lygis B

Polivinilchloridas Natrio chloridas 0,9% 40 / 5 mg/ml 7°C Apsaugotas nuo šviesos
5 Diena
2026
Bandymo lygis B

Polivinilchloridas Natrio chloridas 0,9% 80 / 10 mg/ml -15°C Apsaugotas nuo šviesos
30 Diena
274
Bandymo lygis D

Polivinilchloridas Gliukozė 5% 33.3 / 4.1 mg/ml -20°C Apsaugotas nuo šviesos
90 Diena
1946

Polivinilchloridas Gliukozė 5% 33.3 / 4.1 mg/ml 4°C Nenurodyta
35 Diena
1946

Polivinilchloridas Gliukozė 5% 80 / 10 mg/ml -15°C Apsaugotas nuo šviesos
30 Diena
274
Bandymo lygis D

Polivinilchloridas Gliukozė 5% 80 / 10 mg/ml 23°C
72 Valanda
2345
Bandymo lygis A

Polivinilchloridas Gliukozė 5% 80 / 10 mg/ml 5°C Apsaugotas nuo šviesos
28 Diena
2345
Bandymo lygis A

Poliolefinas Natrio chloridas 0,9% 40 / 5 mg/ml 25°C Šviesa
3 Diena
2026
Bandymo lygis B

Poliolefinas Natrio chloridas 0,9% 40 / 5 mg/ml 7°C Apsaugotas nuo šviesos
17 Diena
2026
Bandymo lygis B

Poliolefinas Natrio chloridas 0,9% 50.6 / 6.3 mg/ml 2-8°C Nenurodyta
17 Diena
4620
Bandymo lygis A+

Poliolefinas Natrio chloridas 0,9% 50.6 / 6.3 mg/ml 25°C Nenurodyta
3 Valanda
4620
Bandymo lygis A+

Poliolefinas Gliukozė 5% 33,3 / 4,1 mg/ml -20°C Apsaugotas nuo šviesos
90 Diena
4148
Bandymo lygis D

Poliolefinas Gliukozė 5% 33,3 / 4,1 mg/ml 2-8°C Nenurodyta
58 Diena
4148
Bandymo lygis D

Poliolefinas Gliukozė 5% 50.6 / 6.3 mg/ml 2-8°C Nenurodyta
17 Diena
4621
Bandymo lygis A+

Poliolefinas Gliukozė 5% 50.6 / 6.3 mg/ml 25°C Nenurodyta
3 Valanda
4621
Bandymo lygis A+

Švirkštas polipropileno Vanduo injekcijoms 20/2,5 mg/ml 2-8°C Apsaugotas nuo šviesos
2 Diena
4922
Bandymo lygis D

Švirkštas polipropileno Natrio chloridas 0,9% 125/15,6 mg/ml 20-25°C Šviesa
48 Valanda
4634
Bandymo lygis C+

Švirkštas polipropileno Natrio chloridas 0,9% 150 / 18,75 mg/ml 4°C Apsaugotas nuo šviesos
7 Diena
274
Bandymo lygis D

Švirkštas polipropileno Natrio chloridas 0,9% 150 / 18.75 mg/ml -15°C Apsaugotas nuo šviesos
30 Diena
274
Bandymo lygis D

Švirkštas polipropileno Natrio chloridas 0,9% 150 / 18.75 mg/ml 25°C Nenurodyta
24 Valanda
274
Bandymo lygis D

Švirkštas polipropileno Natrio chloridas 0,9% 200 / 25 mg/ml -15°C Apsaugotas nuo šviesos
30 Diena
274
Bandymo lygis D

Švirkštas polipropileno Natrio chloridas 0,9% 200 / 25 mg/ml 25°C Nenurodyta
24 Valanda
274
Bandymo lygis D

Švirkštas polipropileno Natrio chloridas 0,9% 200 / 25 mg/ml 4°C Apsaugotas nuo šviesos
7 Diena
274
Bandymo lygis D

Švirkštas polipropileno Natrio chloridas 0,9% 80 / 10 mg/ml 25°C Šviesa
12 Valanda
4326
Bandymo lygis B

Švirkštas polipropileno Gliukozė 5% 125/15,6 mg/ml 20-25°C Šviesa
48 Valanda
4634
Bandymo lygis C+

Švirkštas polipropileno Gliukozė 5% 150 / 18,75 mg/ml 4°C Apsaugotas nuo šviesos
7 Diena
274
Bandymo lygis D

Švirkštas polipropileno Gliukozė 5% 150 / 18.75 mg/ml -15°C Apsaugotas nuo šviesos
30 Diena
274
Bandymo lygis D

Švirkštas polipropileno Gliukozė 5% 150 / 18.75 mg/ml 25°C Nenurodyta
24 Valanda
274
Bandymo lygis D

Švirkštas polipropileno Gliukozė 5% 200 / 25 mg/ml -15°C Apsaugotas nuo šviesos
30 Diena
274
Bandymo lygis D

Švirkštas polipropileno Gliukozė 5% 200 / 25 mg/ml 25°C Nenurodyta
24 Valanda
274
Bandymo lygis D

Švirkštas polipropileno Gliukozė 5% 200 / 25 mg/ml 4°C Apsaugotas nuo šviesos
7 Diena
274
Bandymo lygis D

Švirkštas polipropileno NaCl 0.9% + fenolis 0.4% 20/2,5 mg/ml 2-8°C Apsaugotas nuo šviesos
2 Diena
4922
Bandymo lygis D

Poliizopreno elastomeras Natrio chloridas 0,9% 50 / 6,25 mg/ml 32°C Apsaugotas nuo šviesos
24 Valanda
4850
Bandymo lygis A+

Poliizopreno elastomeras Natrio chloridas 0,9% 66,7/8,3 mg/ml 37°C Apsaugotas nuo šviesos
8 Valanda
4634
Bandymo lygis C+

Poliizopreno elastomeras Natrio chloridas 0,9% 80 / 10 & 10 / 1.25 mg/ml 25°C Nenurodyta
24 Valanda
604
Gamintojo stabilumo duomenys

Poliizopreno elastomeras Natrio chloridas 0,9% 80 / 10 & 10 / 1.25 mg/ml 4°C Apsaugotas nuo šviesos
7 Diena
604
Gamintojo stabilumo duomenys

Poliizopreno elastomeras Gliukozė 5% 66,7/8,3 mg/ml 37°C Apsaugotas nuo šviesos
24 Valanda
4634
Bandymo lygis C+

Poliizopreno elastomeras Gliukozė 5% 80 / 10 & 10 / 1.25 mg/ml 25°C Nenurodyta
24 Valanda
604
Gamintojo stabilumo duomenys

Poliizopreno elastomeras Gliukozė 5% 80 / 10 & 10 / 1.25 mg/ml 4°C Apsaugotas nuo šviesos
7 Diena
604
Gamintojo stabilumo duomenys

Poliizopreno elastomeras NaCl 0,9% tampono citrato 0,3% pH7 22 / 3 mg/ml 2-8°C Nenurodyta
13 Diena
4512
Bandymo lygis A+

Poliizopreno elastomeras NaCl 0,9% tampono citrato 0,3% pH7 22 / 3 mg/ml 32°C Nenurodyta
24 Valanda
4512
Bandymo lygis A+

Poliizopreno elastomeras NaCl 0,9% tampono citrato 0,3% pH7 80 / 10 mg/ml 2-8°C Nenurodyta
13 Diena
4512
Bandymo lygis A+

Poliizopreno elastomeras NaCl 0,9% tampono citrato 0,3% pH7 80 / 10 mg/ml 32°C Nenurodyta
24 Valanda
4512
Bandymo lygis A+

Silikono elastomeras NaCl 0,9% tampono citrato 0,3% pH7 22 / 3 mg/ml 2-8°C Nenurodyta
13 Diena
4512
Bandymo lygis A+

Silikono elastomeras NaCl 0,9% tampono citrato 0,3% pH7 22 / 3 mg/ml 32°C Nenurodyta
24 Valanda
4512
Bandymo lygis A+

Silikono elastomeras NaCl 0,9% tampono citrato 0,3% pH7 80 / 10 mg/ml 2-8°C Nenurodyta
13 Diena
4512
Bandymo lygis A+

Silikono elastomeras NaCl 0,9% tampono citrato 0,3% pH7 80 / 10 mg/ml 32°C Nenurodyta
24 Valanda
4512
Bandymo lygis A+

Elastomeras (nepatikslintas) Vanduo injekcijoms 128 / 16 mg/ml 25°C Nenurodyta
72 Valanda
2042
Bandymo lygis D

Elastomeras (nepatikslintas) Vanduo injekcijoms 128 / 16 mg/ml 37°C Nenurodyta
24 Valanda
2042
Bandymo lygis D

Nenurodyta Natrio chloridas 0,9% 40 / 5 mg/ml 22-23°C Apsaugotas nuo šviesos
24 Valanda
4758
Bandymo lygis B

Nenurodyta Dianéal® PD2 4.25% Gliukozė (Baxter) 0.2 / 0.025 mg/ml 23°C Nenurodyta
7 Diena
2451
Bandymo lygis A

Nenurodyta Dianéal® PD2 4.25% Gliukozė (Baxter) 0.2 / 0.025 mg/ml 37°C Nenurodyta
24 Valanda
2451
Bandymo lygis A

Nenurodyta Dianéal® PD2 4.25% Gliukozė (Baxter) 0.2 / 0.025 mg/ml 4°C Nenurodyta
14 Diena
2451
Bandymo lygis A

Nenurodyta Dianéal® PD2 1.5% Gliukozė (Baxter) 0.2 / 0.025 mg/ml 23°C Nenurodyta
7 Diena
2451
Bandymo lygis A

Nenurodyta Dianéal® PD2 1.5% Gliukozė (Baxter) 0.2 / 0.025 mg/ml 37°C Nenurodyta
24 Valanda
2451
Bandymo lygis A

Nenurodyta Dianéal® PD2 1.5% Gliukozė (Baxter) 0.2 / 0.025 mg/ml 4°C Nenurodyta
14 Diena
2451
Bandymo lygis A


  Mentions Légales